Foram encontradas 90 questões.
Use as propriedades do logaritmo para simplificar a expressão
!$ S = { \Large { 1 \over 2.log_22016}} + { \Large { 1 \over 5.log_32016}}+ { \Large { 1 \over 10.log_72016}} !$
O valor de S é
Provas
Questão presente nas seguintes provas
Uma moeda está no centro do fundo de uma caixa d’água cilíndrica de 0,87 m de altura e base circular com 1,0 m de diâmetro, totalmente preenchida com água, como esquematizado na figura.

Se um feixe de luz laser incidir em uma direção que passa pela borda da caixa, fazendo um ângulo !$ \theta !$ com a vertical, ele só poderá iluminar a moeda se
Provas
Questão presente nas seguintes provas
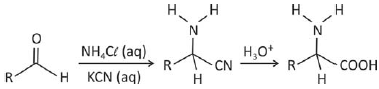
Um aldeído pode ser transformado em um aminoácido pela sequência de reações:
O aminoácido N-metil-fenilalanina pode ser obtido pela mesma sequência reacional, empregando-se, em lugar do cloreto de amônio (NH 4C !$ \ell !$), o reagente CH 3NH 3C !$ \ell !$.
Nessa transformação, o aldeído que deve ser empregado é
Provas
Questão presente nas seguintes provas
Há dois lados na divisão internacional do trabalho [DIT]: um em que alguns países especializam-se em ganhar, e outro em que se especializaram em perder. Nossa comarca do mundo, que hoje chamamos de América Latina, foi precoce: especializou-se em perder desde os remotos tempos em que os europeus do Renascimento se abalançaram pelo mar e fincaram os dentes em sua garganta. Passaram os séculos, e a América Latina aperfeiçoou suas funções. Este já não é o reino das maravilhas, onde a realidade derrotava a fábula e a imaginação era humilhada pelos troféus das conquistas, as jazidas de ouro e as montanhas de prata. Mas a região continua trabalhando como um serviçal. Continua existindo a serviço de necessidades alheias, como fonte e reserva de petróleo e ferro, cobre e carne, frutas e café, matérias- primas e alimentos, destinados aos países ricos que ganham, consumindo-os, muito mais do que a América Latina ganha produzindo-os.
Eduardo Galeano. As Veias Abertas da América Latina. Rio de Janeiro: Paz e Terra, 1981. Adaptado.
Sobre a atual Divisão Internacional do Trabalho (DIT), no que diz respeito à mineração na América Latina, é correto afirmar:
Provas
Questão presente nas seguintes provas

No heredograma ao lado, a menina II1 tem uma doença determinada pela homozigose quanto a um alelo mutante de gene localizado num autossomo.
A probabilidade de que seu irmão II2, clinicamente normal, possua esse alelo mutante é
Provas
Questão presente nas seguintes provas
TEXTO PARA A QUESTÃO
Seria ingenuidade procurar nos provérbios de qualquer povo uma filosofia coerente, uma arte de viver. É coisa sabida que a cada provérbio, por assim dizer, responde outro, de sentido oposto. A quem preconiza o sábio limite das despesas, porque “vintém poupado, vintém ganhado”, replicará o vizinho farrista, com razão igual: “Da vida nada se leva”. (...)
Mais aconselhável procurarmos nos anexins não a sabedoria de um povo, mas sim o espelho de seus costumes peculiares, os sinais de seu ambiente físico e de sua história. As diferenças na expressão de uma sentença observáveis de uma terra para outra podem divertir o curioso e, às vezes, até instruir o etnógrafo.
Povo marítimo, o português assinala semelhança grande entre pai e filho, lembrando que “filho de peixe, peixinho é”. Já os húngaros, ao formularem a mesma verdade, não pensavam nem em peixe, nem em mar; ao olhar para o seu quintal, notaram que a “maçã não cai longe da árvore”.
Paulo Rónai, Como aprendi o português e outras aventuras.
No texto, a função argumentativa do provérbio “Da vida nada se leva” é expressar uma filosofia de vida contrária à que está presente em “vintém poupado, vintém ganhado”. Também é contrário a esse último provérbio o ensinamento expresso em:
Provas
Questão presente nas seguintes provas
Os impérios do mundo antigo tinham ampla abrangência territorial e estruturas politicamente complexas, o que implicava custos crescentes de administração. No caso do Império Romano da Antiguidade, são exemplos desses custos:
Provas
Questão presente nas seguintes provas
De 1869 até hoje, ocorreram as seguintes mudanças de moeda no Brasil: (1) em 1942, foi criado o cruzeiro, cada cruzeiro valendo mil réis; (2) em 1967, foi criado o cruzeiro novo, cada cruzeiro novo valendo mil cruzeiros; em 1970, o cruzeiro novo voltou a se chamar apenas cruzeiro; (3) em 1986, foi criado o cruzado, cada cruzado valendo mil cruzeiros; (4) em 1989, foi criado o cruzado novo, cada um valendo mil cruzados; em1990, o cruzado novo passou a se chamar novamente cruzeiro; (5) em 1993, foi criado o cruzeiro real, cada um valendo mil cruzeiros; (6) em 1994, foi criado o real, cada um valendo 2.750 cruzeiros reais.
Quando morreu, em 1869, Brás Cubas possuía 300 contos. Se esse valor tivesse ficado até hoje em uma conta bancária, sem receber juros e sem pagar taxas, e se, a cada mudança de moeda, o depósito tivesse sido normalmente convertido para a nova moeda, o saldo hipotético dessa conta seria, aproximadamente, de um décimo de
Dados:
Um conto equivalia a um milhão de réis.
Um bilhão é igual a 109 e um trilhão é igual a 1012.
Um conto equivalia a um milhão de réis.
Um bilhão é igual a 109 e um trilhão é igual a 1012.
Provas
Questão presente nas seguintes provas
TEXTO PARA A QUESTÃO
Omolu espalhara a bexiga na cidade. Era uma vingança contra a cidade dos ricos. Mas os ricos tinham a vacina, que sabia Omolu de vacinas? Era um pobre deus das florestas d’África. Um deus dos negros pobres. Que podia saber de vacinas? Então a bexiga desceu e assolou o povo de Omolu. Tudo que Omolu pôde fazer foi transformar a bexiga de negra em alastrim, bexiga branca e tola. Assim mesmo morrera negro, morrera pobre. Mas Omolu dizia que não fora o alastrim que matara. Fora o lazareto*. Omolu só queria com o alastrim marcar seus filhinhos negros. O lazareto é que os matava. Mas as macumbas pediam que ele levasse a bexiga da cidade, levasse para os ricos latifundiários do sertão. Eles tinham dinheiro, léguas e léguas de terra, mas não sabiam tampouco da vacina. O Omolu diz que vai pro sertão. E os negros, os ogãs, as filhas e pais de santo cantam:
Ele é mesmo nosso pai
e é quem pode nos ajudar...
e é quem pode nos ajudar...
Omolu promete ir. Mas para que seus filhos negros não o esqueçam avisa no seu cântico de despedida:
Ora, adeus, ó meus filhinhos,
Qu’eu vou e torno a vortá...
Qu’eu vou e torno a vortá...
E numa noite que os atabaques batiam nas macumbas, numa noite de mistério da Bahia, Omolu pulou na máquina da Leste Brasileira e foi para o sertão de Juazeiro. A bexiga foi com ele.
Jorge Amado, Capitães da Areia.
*lazareto: estabelecimento para isolamento sanitário de pessoas atingidas por determinadas doenças.
As informações contidas no texto permitem concluir corretamente que a doença de que nele se fala caracteriza- se como
Provas
Questão presente nas seguintes provas
A pele humana atua na manutenção da temperatura corporal.
Analise as afirmações abaixo:
I. Em dias frios, vasos sanguíneos na pele se contraem, o que diminui a perda de calor, mantendo o corpo aquecido.
II. Em dias quentes, vasos sanguíneos na pele se dilatam, o que diminui a irradiação de calor para o meio, esfriando o corpo.
III. Em dias quentes, o suor produzido pelas glândulas sudoríparas, ao evaporar, absorve calor da superfície do corpo, resfriandoo.
II. Em dias quentes, vasos sanguíneos na pele se dilatam, o que diminui a irradiação de calor para o meio, esfriando o corpo.
III. Em dias quentes, o suor produzido pelas glândulas sudoríparas, ao evaporar, absorve calor da superfície do corpo, resfriandoo.
Está correto apenas o que se afirma em
Provas
Questão presente nas seguintes provas
Cadernos
Caderno Container