Foram encontradas 90 questões.
No para-choque de um caminhão, estava escrita a frase:

Atrás do caminhão vinha um ônibus escolar e os alunos, além de se divertirem com a frase, fizeram os seguintes comentários:
Pedrinho: – A frase está errada, pois o cavalo-marinho não se faz passar por peixe. Ele é um peixe.
Marcos: – Sim, mas nem tudo está tão errado assim. Afinal, sendo cordados, cavalos e peixes possuem fendas branquiais em alguma etapa de seu desenvolvimento.
João: – É verdade. Porém só nisso se assemelham, pois os cavalos, como os demais mamíferos, têm sistema nervoso dorsal, enquanto que no peixe é lateral.
Flávia: – Vocês todos estão errados, pois os cavalos-marinhos não são peixes, mas sim crustáceos, como o camarão, a lagosta e o caranguejo.
Rafael: – É isso mesmo! Crustáceos, com todas as características típicas desse grupo de artrópodes, incluindo cauda articulada e exoesqueleto.
Paulo: – O Rafael só errou em uma coisa: os crustáceos não são artrópodes. Os insetos é que o são.
Gilmar: – Nem peixes, nem crustáceos. São mamíferos aquáticos, ou não se chamariam cavalos-marinhos.
Pode-se dizer que estão corretos
Provas
Questão presente nas seguintes provas

Nunca se viram tantos gêmeos e trigêmeos. As estatísticas confirmam a multiplicação dos bebês, que resulta da corrida das mamães às clínicas de reprodução.
O motivo pelo qual a reprodução assistida favorece a gestação de mais de uma criança é a própria natureza do processo. Primeiro, a mulher toma medicamentos que aumentam a fertilidade e, em consequência, ela libera diversos óvulos em vez de apenas um. Os óvulos são fertilizados em laboratório e introduzidos no útero. Hoje, no Brasil, permite-se que apenas quatro embriões sejam implantados – justamente para diminuir os índices de gravidez múltipla.
(Veja, 30 de março de 2011.)
Suponha que uma mulher tenha se submetido ao tratamento descrito na notícia, e que os quatro embriões implantados em seu útero tenham se desenvolvido, ou seja, a mulher dará à luz quadrigêmeos.
Considerando-se um mesmo pai para todas as crianças, pode-se afirmar que
Provas
Questão presente nas seguintes provas
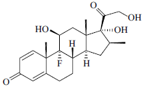
Observe a estrutura do corticoide betametasona.

betametasona
Com relação à estrutura representada, pode-se afirmar que
Provas
Questão presente nas seguintes provas
A Coluna Prestes, que percorreu cerca de 25 mil quilômetros no interior do Brasil entre 1924 e 1927, associa-se
Provas
Questão presente nas seguintes provas
Sustainable flight
TAM was the first airline in South America to carry out an experimental flight using biofuel on November 22, 2010.
Produced from the oil of 100% domestic nettlespurge, known in Portuguese as pinhão-manso, it reduces carbon emissions by between 65% and 80% compared with petroleum-derived kerosene, according to research. Besides, the plant does not threatens the food chain, as it is not edible for humans nor animals. “Compared with other biofuels, the fuel from this plant is very promising for the Brazilian scenario,” says Paulus Figueiredo, TAM’s fuel manager. The next step in the project is to implement a farming unit, in reduced scale, at TAM’s Technological Center in São Carlos (SP), exclusively to conduct studies and make better cultivation techniques viable.
“The objective is to carry out studies concerning technical and economic viability to build a biofuel Brazilian platform based on nettlespurge,” explains TAM’s CEO, Líbano Barroso. The experimental flight was a joint effort between TAM, Airbus, CFM International (joint venture between U.S.’s GE and the French Safran Group) and Air BP. The trip was authorized by Brazil’s National Civil Aviation Agency (ANAC) and by the European Aviation Safety Agency (EASA).
(TAM News, January 2011. Adaptado.)
De acordo com o texto,
Provas
Questão presente nas seguintes provas
O fim do marketing
A empresa vende ao consumidor com a web não é mais assim
Com a internet se tornando onipresente, os Quatro Ps do marketing — produto, praça, preço e promoção — não funcionam mais. O paradigma era simples e unidirecional: as empresas vendem aos consumidores. Nós criamos produtos; fixamos preços; definimos os locais onde vendê los; e fazemos anúncios. Nós controlamos a mensagem. A internet transforma todas essas atividades.
(...)
Os produtos agora são customizados em massa, envolvem serviços e são marcados pelo conhecimento e os gostos dos consumidores. Por meio de comunidades online, os consumidores hoje participam do desenvolvimento do produto. Produtos estão se tornando experiências. Estão mortas as velhas concepções industriais na definição e marketing de produtos.
(...)
Graças às vendas online e à nova dinâmica do mercado, os preços fixados pelo fornecedor estão sendo cada vez mais desafiados. Hoje questionamos até o conceito de “preço”, à medida que os consumidores ganham acesso a ferramentas que lhes permitem determinar quanto querem pagar. Os consumidores vão oferecer vários preços por um produto, dependendo de condições específicas. Compradores e vendedores trocam mais informações e o preço se torna fluido. Os mercados, e não as empresas, decidem sobre os preços de produtos e serviços.
(...)
A empresa moderna compete em dois mundos: um físico (a praça, ou marketplace) e um mundo digital de informação (o espaço mercadológico, ou marketspace). As empresas não devem preocupar-se com a criação de um web site vistoso, mas sim de uma grande comunidade online e com o capital de relacionamento. Corações, e não olhos, são o que conta. Dentro de uma década, a maioria dos produtos será vendida no espaço mercadológico. Uma nova fronteira de comércio é a marketface — a interface entre o marketplace e o marketspace.
(...)
Publicidade, promoção, relações públicas etc. exploram “mensagens” unidirecionais, de um-para-muitos e de tamanho único, dirigidas a consumidores sem rosto e sem poder.
As comunidades online perturbam drasticamente esse modelo.
Os consumidores com frequência têm acesso a informações sobre os produtos, e o poder passa para o lado deles. São eles que controlam as regras do mercado, não você. Eles escolhem o meio e a mensagem. Em vez de receber mensagens enviadas por profissionais de relações públicas, eles criam a “opinião pública” online.
Os marqueteiros estão perdendo o controle, e isso é muito bom.
(Don Tapscott. O fim do marketing. INFO, São Paulo,
Editora Abril, janeiro 2011, p. 22.)
Os marqueteiros estão perdendo o controle, e isso é muito bom.
O termo marqueteiro, presente nesta frase, foi formado em português por influência do inglês e tem como uma de suas acepções usuais:
Provas
Questão presente nas seguintes provas
A situação de harmonia no Congresso entraria em crise nas eleições de 1974, marco importante do avanço pela retomada do Estado de Direito.
(Edgard Leite Ferreira Neto. Os partidos políticos no Brasil, 1988.)
O texto menciona as eleições parlamentares de 1974, ocorridas durante o regime militar. Pode-se dizer que essas eleições
Provas
Questão presente nas seguintes provas
Why use biofuels for aviation?
The aviation industry has seen huge growth since its beginning. Today, more than two billion people enjoy the social and economical benefits of flight each year. The ability to fly conveniently and efficiently between nations has been a catalyst for the global economy and has shrunk cultural barriers like no other transport sector. But this progress comes at a cost.
In 2008, the commercial aviation industry produced 677 million tones of carbon dioxide (CO2). This is around 2% of the total man-made CO2 emissions of more than 34 billion tones.
While this amount is smaller compared with other industry sectors, such as power generation and ground transport, these industries have viable alternative energy sources currently available. For example, the power generation industry can look to wind, hydro, nuclear and solar technologies to make electricity without producing much CO2. Cars and buses can run on hybrid, flexible fuel engines or electricity.
Electric-powered trains can replace diesel locomotives.
The aviation industry has identified the development of biofuels as one of the major ways it can reduce its greenhouse gas emissions. Biofuels provide aviation with the capability to partially, and perhaps one day fully, replace carbon-intensive petroleum fuels. They will, over time, enable the industry to reduce its carbon footprint significantly.
Global CO2 emissions

(Beginner’s Guide to Aviation Biofuels, May 2009. Adaptado.)
Duas das razões apontadas para o desenvolvimento de biocombustíveis e sua utilização em aviões são
Provas
Questão presente nas seguintes provas
Uma pessoa, com 80 kg de massa, gasta para realizar determinada atividade física a mesma quantidade de energia que gastaria se subisse diversos degraus de uma escada, equivalente a uma distância de 450 m na vertical, com velocidade constante, num local onde g = 10 m/s2.
A tabela a seguir mostra a quantidade de energia, em joules, contida em porções de massas iguais de alguns alimentos.
| Alimento |
Energia por porção
(kJ)
|
| espaguete | 360 |
| pizza de mussarela | 960 |
| chocolate | 2 160 |
| batata frita | 1 000 |
| castanha de caju | 2 400 |
Considerando que o rendimento mecânico do corpo humano seja da ordem de 25%, ou seja, que um quarto da energia química ingerida na forma de alimentos seja utilizada para realizar um trabalho mecânico externo por meio da contração e expansão de músculos, para repor exatamente a quantidade de energia gasta por essa pessoa em sua atividade física, ela deverá ingerir 4 porções de
Provas
Questão presente nas seguintes provas
A figura mostra um paralelepípedo reto-retângulo ABCDEFGH, com base quadrada ABCD de aresta a e altura 2a, em centímetros.

A distância, em centímetros, do vértice A à diagonal BH vale:
Provas
Questão presente nas seguintes provas
Cadernos
Caderno Container