Magna Concursos

Foram encontradas 1.128 questões.

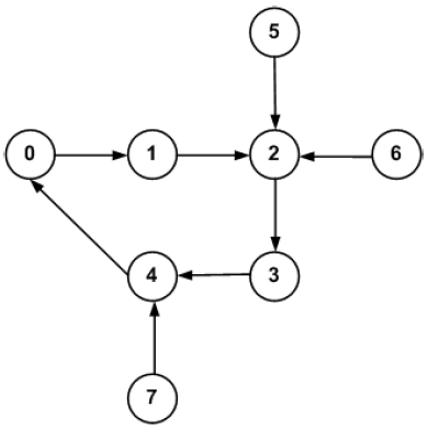
1571793 Ano: 2018
Disciplina: Engenharia Eletrônica
Banca: UFRPE
Orgão: UFRPE
Para o diagrama de estados mostrado na figura abaixo, assinale a alternativa correta.
Enunciado 1571793-1
 

Provas

Questão presente nas seguintes provas
1571704 Ano: 2018
Disciplina: Zootecnia
Banca: UFRPE
Orgão: UFRPE
Provas:
O controle leiteiro é uma ferramenta de aferição da capacidade de produção de leite de uma matriz leiteira. Somente por meio dele é que se pode ter uma estimativa segura da produtividade. Com relação ao controle leiteiro, é incorreto afirmar que:
 

Provas

Questão presente nas seguintes provas
1571042 Ano: 2018
Disciplina: Medicina
Banca: UFRPE
Orgão: UFRPE
Provas:
O fenômeno de Raynaud é uma alteração da coloração desencadeada pelo frio ou por contato com água fria, caracterizado por palidez, seguida de cianose e, posteriormente, por rubor, nessa sequência, embora nem sempre as três fases sejam detectáveis. Geralmente acomete os dedos das mãos, mas pode acometer também os dedos dos pés, o nariz e as orelhas. Em qual das patologias relacionadas abaixo a penetração do fenômeno ocorre em 100% dos pacientes?
 

Provas

Questão presente nas seguintes provas
1570460 Ano: 2018
Disciplina: Agronomia (Engenharia Agronômica)
Banca: UFRPE
Orgão: UFRPE
Provas:
No que se refere ao movimento de água do solo e sua disponibilidade para as plantas, ou sobre a relação entre a umidade volumétrica na capacidade de campo !$ (θ_{CC}) !$ e a umidade volumétrica no ponto de murcha permanente !$ (θ_{PMP}) !$, é correto afirmar que:
 

Provas

Questão presente nas seguintes provas
1569646 Ano: 2018
Disciplina: Segurança Privada e Transportes
Banca: UFRPE
Orgão: UFRPE
Provas:
“Filosofia de Segurança” é a orientação geral que a alta direção de uma empresa pretende imprimir à questão da segurança de um empreendimento. É geralmente expressa por recursos, cultura e apoio efetivo. Assinale a alternativa que apresenta um exemplo dessa orientação.
 

Provas

Questão presente nas seguintes provas
1569167 Ano: 2018
Disciplina: Agronomia (Engenharia Agronômica)
Banca: UFRPE
Orgão: UFRPE
Provas:
Em plantas frutíferas, as podas são de extrema importância na formação de um pomar. Elas podem ser de três tipos: de formação, de frutificação e de limpeza. Um dos benefícios da poda em plantas frutíferas é:
 

Provas

Questão presente nas seguintes provas
1569141 Ano: 2018
Disciplina: Agronomia (Engenharia Agronômica)
Banca: UFRPE
Orgão: UFRPE
Provas:
Na tabela a seguir, pode-se observar a descrição morfológica de um solo.
Enunciado 1569141-1
Considerando que a denominação dos horizontes e seus sufixos já foram adequadamente ajustados pelas análises físicas e químicas, é correto afirmar que o solo em questão pertence à classe:
 

Provas

Questão presente nas seguintes provas
1568937 Ano: 2018
Disciplina: Engenharia Química
Banca: UFRPE
Orgão: UFRPE
Provas:
Recentemente, propuseram o uso da termogravimetria na determinação da curva de equilíbrio sólido-solução entre alguns sais inorgânicos e a água. A respeito da termogravimetria, assinale a alternativa correta.
 

Provas

Questão presente nas seguintes provas
1568918 Ano: 2018
Disciplina: Informática
Banca: UFRPE
Orgão: UFRPE
Em relação a intranet e internet, assinale a alternativa correta.
 

Provas

Questão presente nas seguintes provas
1568883 Ano: 2018
Disciplina: Informática
Banca: UFRPE
Orgão: UFRPE
Em relação ao texto abaixo, criado com o auxílio do editor de texto Microsoft Word 2010, assinale a alternativa correta.
Instalação, configuração e utilização de sistemas operacionais
- Linux
- Windows 7,8.1 e 10
Instalação, configuração e utilização de aplicativos
- Microsoft Office XP, 2003 e 2010 (Word, Excel, Powerpoint e Access)
- LibreOffice 6.0
 

Provas

Questão presente nas seguintes provas