Foram encontradas 270 questões.
Provas
Num jantar entre amigas, Carla, Priscila e Joana estão tomando, cada uma, um único tipo de vinho. Sabemos apenas que uma delas toma somente vinho tinto, outra só toma vinho branco e a outra toma apenas vinho rosé.
Dentre as três afirmações a seguir, apenas uma é correta:
I – Carla toma vinho branco
II – Priscila não toma vinho rosé
III – O vinho branco não é bebido por Joana
De acordo com o contexto acima:
Provas
Disciplina: Administração Financeira e Orçamentária
Banca: UFAL
Orgão: UFAL
Conforme disposto no Manual de Contabilidade Aplicada ao Setor Público - MCASP, o PCASP possui regras “a fim de garantir a integridade dos procedimentos contábeis, assim como a qualidade, consistência e transparência das informações geradas (...):”
Diante das alternativas abaixo, assinale aquela que relaciona as regras de integridade relativas ao PCASP que estão contidas no MCASCP.
Provas
- UniãoExecutivoDecreto 1.171/1994: Código de Ética do Servidor Público Civil do Poder Executivo Federal
Todos os órgãos e entidades da Administração Pública Federal direta e indireta devem dispor de Código e Comissão de Ética, no intuito de consubstanciar o conceito de ética e as ações dos servidores.
É dever fundamental do servidor público:
Provas
Classifique as contas abaixo relacionadas, quanto à natureza e quanto ao saldo, e assinale a opção a opção correspondente.
1. Compras de mercadorias;
2. Descontos Incondicionais Concedidos;
3. Vendas;
4. Ações em Tesouraria;
5. Alugueis;
6. Nota Promissória de sua emissão;
7. Duplicata de seu aceite;
8. Rendimento de aplicação financeira.
Provas
Provas

Provas

Provas
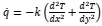
Considere o gradiente de temperatura em uma placa plana quadrada. O sistema evolui no tempo. A distribuição inicial é apresentada na figura a seguir e o gradiente de temperatura é proporcional ao gradiente de intensidade de cor.

A respeito deste processo, pode-se afirmar que:
I. A transferência de calor ao longo da placa se dá por condução.
II. A lei de transferência de calor que caracteriza o processo é chamada de lei de resfriamento de Newton.
III. Para este processo, a lei de transferência de calor pode
ser matematicamente escrita como
, k
sendo o coeficiente de condução de calor, T a
temperatura em algum ponto e
a taxa de fluxo de calor.
Avaliando o sistema, é correto o que se afirma em:
Provas
O movimento de rotação em torno de um eixo fixo é caracterizado pelo deslocamento de todas as partículas de um corpo rígido em trajetórias circulares, com exceção das que se encontram sobre o eixo de rotação. Considere então uma corda enrolada em torno de uma roda, como mostrado na figura:

Considera-se a posição inicial quando a corda é puxada com aceleração a, provocando uma aceleração angular (α) na roda de (20t) rad/s2 , onde t é dado em segundos. A roda possui raio de 0,1 m.
Identifique a alternativa que apresenta a velocidade angular da roda e a aceleração da corda em função do tempo.
Provas
Caderno Container