Magna Concursos

Foram encontradas 60 questões.

Acerca do conceito de Gestão por Competências, considere:

I. Objetiva mapear as competências necessárias para a organização, identificar as competências já disponíveis e gerenciar, com vistas a eliminar, as lacunas ou gaps identificados.
II. Possui foco no aprendizado e aprimoramento constante do empregado, realizando, como etapa vinculada à remuneração por resultados, o mapeamento das competências adquiridas.
III. Aplica-se, também, às ações de recrutamento e seleção de pessoal, como forma de minimizar as lacunas de competência identificadas na organização.

Está correto o que consta APENAS em
 

Provas

Questão presente nas seguintes provas
A gestão de projetos pode ser entendida como uma área especializada da Administração, definida por Ricardo Vargas (2002) como “um conjunto de ferramentas gerenciais que permitem que a empresa desenvolva um conjunto de habilidades, incluindo conhecimento e capacidades individuais, destinados ao controle de eventos não repetitivos, únicos e complexos, dentro de um cenário de tempo, custo e qualidade predeterminada”. Existem diversas metodologias para gerenciamento de projetos, entre as mais difundidas:
 

Provas

Questão presente nas seguintes provas
659623 Ano: 2014
Disciplina: Estatística
Banca: FCC
Orgão: TRT-19

Em 3 empresas M, N, e P são extraídas, independentemente, amostras aleatórias entre seus empregados de tamanho 50 em M, 200 em N e 250 em P. Foi perguntado a todos qual, entre 3 planos de carreira propostos, eles preferem e cada um deu somente uma resposta. O resultado pode ser observado pela tabela abaixo.

enunciado 659623-1
Deseja-se saber se a preferência pelo plano de carreira depende da empresa, utilizando o teste qui-quadrado, a um determinado nível de significância α, desconsiderando a correção de Yates e obtendo as respectivas frequências esperadas pela tabela sem que tenha de estimar quaisquer parâmetros populacionais por meio de estatísticas amostrais.

Dados: valores críticos da distribuição qui-quadrado [P(qui-quadrado com n graus de liberdade < valor tabelado) = (1-α)]

enunciado 659623-2


É correto afirmar que

 

Provas

Questão presente nas seguintes provas
659622 Ano: 2014
Disciplina: Estatística
Banca: FCC
Orgão: TRT-19
O objetivo de um estudo consistia em deduzir a relação entre uma variável X e uma outra variável Y por meio de um modelo linear simples Yi = α + ßXi + ei , em que i é a i-ésima observação, α e ß são parâmetros desconhecidos e ei é o erro aleatório com as respectivas hipóteses consideradas para a regressão linear simples. As estimativas de α e ß foram obtidas pelo método dos mínimos quadrados com base em 20 observações (Xi , Yi ), notando que

enunciado 659622-1

Utilizando o teste t de Student para testar a existência da regressão a um determinado nível de significância, em que foram formuladas as hipóteses H0: ß = 0 (hipótese nula) e H1: ß ≠ 0 (hipótese alternativa), obtém-se que o valor do t calculado para ser comparado com o t tabelado, levando em conta os respectivos graus de liberdade, é
 

Provas

Questão presente nas seguintes provas
659621 Ano: 2014
Disciplina: Matemática
Banca: FCC
Orgão: TRT-19
A equação da regressão estimada enunciado 659621-1 = 0,25 + 0,04t, em que enunciado 659621-2 , permite estimar a probabilidade (p) do acontecimento de um evento em um determinado dia em função do tempo (t) diário, em minutos, em que este evento é divulgado no dia. Se o evento é divulgado em um dia durante 10 minutos, então a probabilidade estimada de seu acontecimento neste dia é

Observação: ln é o logaritmo neperiano, tal que ln (e) = 1, e os parâmetros da equação foram obtidos pelo método dos mínimos quadrados com base em informações passadas.
 

Provas

Questão presente nas seguintes provas
659620 Ano: 2014
Disciplina: Estatística
Banca: FCC
Orgão: TRT-19
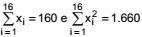
Uma população normal com média µ, considerada de tamanho infinito, apresenta uma variância desconhecida. Uma amostra aleatória de tamanho 16 é extraída desta população e obteve-se os seguintes resultados:

enunciado 659620-1

Observação: Xi é o i-ésimo elemento da amostra.

Dados:
n 14 15 16 17 18
t0,025 2,14 2,13 2,12 2,11 2,10

Considerando t0,025 o quantil da distribuição t de Student para o teste unicaudal tal que a probabilidade P(t > t0,025) = 0,025 com n graus de liberdade, tem-se, com base na amostra, um intervalo de confiança de 95% para µ igual a
 

Provas

Questão presente nas seguintes provas
659619 Ano: 2014
Disciplina: Estatística
Banca: FCC
Orgão: TRT-19
Para comparar os salários dos empregados de duas empresas X e Y, considerou-se o desenho esquemático abaixo com os valores dos salários em R$ 1.000,00.

enunciado 659619-1

De acordo com o desenho esquemático apresentado, é correto afirmar que
 

Provas

Questão presente nas seguintes provas
659618 Ano: 2014
Disciplina: Estatística
Banca: FCC
Orgão: TRT-19
Considere a tabela de frequências absolutas abaixo, correspondente aos salários dos 80 funcionários lotados em um órgão público.

CLASSE DE SALÁRIOS (R$) FREQUÊNCIAS ABSOLUTAS
2.000 enunciado 659618-1 4.000 f1
4.000 enunciado 659618-6 6.000 f2
6.000 enunciado 659618-3 8.000 f3
8.000 enunciado 659618-4 10.000 f 4
10.000 enunciado 659618-5 12.000 f 5
12.000 enunciado 659618-2 14.000 f6
TOTAL 80


Observação: 60f1 = 15f2 = 12f3 = 20f4 = 30f5 = 60f6
O valor da média aritmética dos salários foi obtido considerando que todos os valores incluídos em um certo intervalo de classe são coincidentes com o ponto médio deste intervalo. O valor da mediana foi obtido pelo método da interpolação linear. A porcentagem que o valor da mediana representa do valor da média aritmética dos salários é, em %, igual a
 

Provas

Questão presente nas seguintes provas
659617 Ano: 2014
Disciplina: Estatística
Banca: FCC
Orgão: TRT-19
Suponha que uma instituição financeira criou um fundo de investimento onde o ativo é aplicado em uma combinação de Letras de Câmbio do Agronegócio - LCA com Letras de Câmbio Imobiliárias - LCI. Supondo-se que a variável L que representa o lucro mensal do fundo, em milhares de reais (MR), seja dada por: L = AX, sendo A o vetor de constantes dado por A = (2 1) e enunciado 659617-1 o vetor de variáveis aleatórias, onde LA e LI representam, respectivamente, os lucros mensais das letras LCA e LCI.

Suponha que LA tem distribuição normal com média 80MR e desvio padrão 3MR; que LI tem distribuição normal com média 70MR e desvio padrão de 8MR e que essas duas variáveis são independentes. Nessas condições, a probabilidade do lucro mensal de tal investimento ser um valor no intervalo (233MR ; 242MR) é igual a
 

Provas

Questão presente nas seguintes provas
659616 Ano: 2014
Disciplina: Estatística
Banca: FCC
Orgão: TRT-19
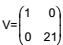
Sabe-se que o vetor aleatório enunciado 659616-1 tem distribuição normal bivariada com vetor de médias enunciado 659616-2 e matriz de covariâncias enunciado 659616-3 . Uma amostra aleatória [( X1 , Y1 , ....( Xn , Yn )], simples, com reposição de tamanho n é selecionada da distribuição de P.

Considere a variável aleatória enunciado 659616-4 , onde enunciado 659616-5 ,são as respectivas médias amostrais de X e Y.
Nessas condições se enunciado 659616-6 , o valor de n é
 

Provas

Questão presente nas seguintes provas