Foram encontradas 541 questões.
A Cia. Industrial Rio Branco, empresa estatal dependente, adquiriu uma máquina para utilização em suas atividades operacionais no primeiro dia útil do mês de janeiro de 2001 pelo valor de R$ 3.750.000,00, que foram pagas em três (3) parcelas iguais e sucessivas de R$ 1.250.000,00 nos meses de fevereiro, março e abril do mesmo ano-calendário. A vida útil da máquina foi estimada em 10 anos e não houve previsão de valor residual. A companhia começou a utilizar a máquina em suas atividades operacionais imediatamente após a aquisição e utiliza o método linear para a depreciação de seus ativos. Ao examinar os registros contábeis da depreciação da referida máquina, o auditor terceirizado verificou que, no ano calendário de 2011, haviam sido lançado despesas de depreciação no valor de R$ 125.000,00. Tendo em vista esse fato, em relação ao exercício de 2011, o auditor, agindo corretamente,
Provas
Questão presente nas seguintes provas
A técnica de amostragem que consiste em dividir uma população em subpopulações, cada uma sendo um grupo de unidades de amostragem com características semelhantes é denominada amostragem
Provas
Questão presente nas seguintes provas
Um estudo tem como objetivo deduzir um modelo que permite encontrar uma relação linear, sem intercepto, entre duas variáveis X e Y com base em 20 observações. O modelo foi definido como
em que:
I.
é uma variável aleatória e representa o valor da variável dependente na i-ésima observação.
II.
é o valor da variável explicativa na i-ésima observação.
III.
é o erro aleatório com as respectivas hipóteses consideradas para a regressão linear simples.
IV. ß é o parâmetro do modelo, cuja estimativa foi obtida pelo método dos mínimos quadrados.

Utilizando a equação da reta encontrada pelo método dos mínimos quadrados, obtém-se que o valor de Y, quando X for igual a 50, é
em que: I.
é uma variável aleatória e representa o valor da variável dependente na i-ésima observação. II.
é o valor da variável explicativa na i-ésima observação. III.
é o erro aleatório com as respectivas hipóteses consideradas para a regressão linear simples. IV. ß é o parâmetro do modelo, cuja estimativa foi obtida pelo método dos mínimos quadrados.

Utilizando a equação da reta encontrada pelo método dos mínimos quadrados, obtém-se que o valor de Y, quando X for igual a 50, é
Provas
Questão presente nas seguintes provas
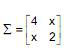
Seja
um vetor de variáveis aleatórias e seja
sua matriz de covariâncias. Seja λ a primeira componente principal da matriz ∑ . Sabendo que a proporção da variância total de X que é explicada por λ é
o valor de x é
um vetor de variáveis aleatórias e seja
sua matriz de covariâncias. Seja λ a primeira componente principal da matriz ∑ . Sabendo que a proporção da variância total de X que é explicada por λ é
o valor de x é Provas
Questão presente nas seguintes provas
Atenção: A questão seguinte refere-se ao texto abaixo.

Uma síntese da arte modernista brasileira, tal como caracterizada no texto, pode ser formulada a partir dos seguintes elementos: 
Provas
Questão presente nas seguintes provas
Atenção: As questões de números 18 a 21 baseiam-se no texto abaixo.

Fica evidente no texto que 
Provas
Questão presente nas seguintes provas

O sentido do segmento grifado acima está respeitado em linhas gerais, com outras palavras e de modo correto, em:
Provas
Questão presente nas seguintes provas
Atenção: As questões de números 18 a 21 baseiam-se no texto abaixo.

A chegada do teatro de mamulengos ao Brasil data da época colonial.
Durante o período colonial esse teatro de bonecos se expandiu.
O teatro de mamulengos é bastante popular ainda hoje no Brasil.
As frases acima estão reunidas em um único período, com clareza e correção, sem as repetições desnecessárias, em:
Provas
Questão presente nas seguintes provas

Provas
Questão presente nas seguintes provas
Atenção: As questões de números 9 a 15 referem-se ao texto abaixo.


Atente para as seguintes afirmações: 

I. A argumentação do ministro, referida no primeiro parágrafo, é rebatida pelo autor do texto por ser falaciosa e escamotear os reais interesses de quem a formula.
II. O autor do texto manifesta-se francamente favorá-vel à razão do mérito, a menos que uma situação de real impasse imponha a resolução pelo voto.
III. A conotação pejorativa que o uso de aspas confere ao termo "assembleísmo" expressa o ponto de vista dos que desconsideram a qualificação técnica.
Em relação ao texto, está correto SOMENTE o que se afirma em
Provas
Questão presente nas seguintes provas
Cadernos
Caderno Container