Foram encontradas 440 questões.
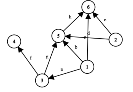
Observe a estrutura do dataset ilustrado a seguir

Para armazenar o dataset ilustrado, é necessário utilizar o banco de dados NoSQL:
Provas
Questão presente nas seguintes provas
O modelo de banco de dados em que a associação entre dois registros é feita por meio do relacionamento entre um registro-pai e vários registros-filhos com cardinalidade 1:N, e a navegação é feita da raiz para as folhas, é o:
Provas
Questão presente nas seguintes provas
Uma entidade adquiriu a prazo um equipamento em 01/07 de um
dado exercício; o equipamento foi entregue em 01/09 e, após a
devida instalação, foi colocado em operação no dia 01/10 do
mesmo exercício. Foi estimada uma vida útil de dez anos para o
equipamento. Os valores relativos à aquisição do equipamento
estão descritos no quadro a seguir.
Valor de aquisição do equipamento à vista R$ 236.000,00 Custo adicional de aquisição a prazo (juros) R$ 22.000,00 Custo de transporte e instalação R$ 12.000,00 Valor residual R$ 8.000,00
Ao final do referido exercício, a despesa de depreciação pelo método da linha reta a ser registrada como variação patrimonial diminutiva é de:
Valor de aquisição do equipamento à vista R$ 236.000,00 Custo adicional de aquisição a prazo (juros) R$ 22.000,00 Custo de transporte e instalação R$ 12.000,00 Valor residual R$ 8.000,00
Ao final do referido exercício, a despesa de depreciação pelo método da linha reta a ser registrada como variação patrimonial diminutiva é de:
Provas
Questão presente nas seguintes provas
Uma empresa adquiriu em janeiro de X1 um ativo a custo de R$ 1.000
que será depreciado contabilmente em 4 anos e, para fins fiscais, será
depreciado em 10 anos. Assume-se que as receitas tributáveis são de R$
1.200 e as despesas dedutíveis de R$ 400 (os R$ 400 não consideram a
depreciação contábil e fiscal) no primeiro ano (X1).
Considerando-se somente as informações apresentadas e uma alíquota de 34% de imposto de renda, ao fim do primeiro ano (X1):
Considerando-se somente as informações apresentadas e uma alíquota de 34% de imposto de renda, ao fim do primeiro ano (X1):
Provas
Questão presente nas seguintes provas
Uma empreiteira foi contratada para construir uma fábrica para
um terceiro. O preço do contrato é de R$ 250 milhões mais um
bônus de R$ 25 milhões se a instalação for concluída em uma data
específica. A expectativa é de que o contrato leve três anos para
ser concluído. A empreiteira tem um longo histórico de construção
de instalações semelhantes. O prêmio do bônus é binário (ou seja,
há apenas dois resultados possíveis) e deve ser pago integralmente
após a conclusão da instalação. O empreiteiro não receberá os R$
25 milhões se a instalação não for concluída na data especificada.
A contratada acredita, com base em sua experiência, que tem 95%
de chance que o contrato seja concluído com sucesso e antes da
data prevista.
Nesse caso, considerando-se as informações apresentadas, o método a ser utilizado e o preço da transação são, respectivamente:
Nesse caso, considerando-se as informações apresentadas, o método a ser utilizado e o preço da transação são, respectivamente:
Provas
Questão presente nas seguintes provas
- Normas ContábeisCPCsCPC 00: Estrutura Conceitual Básica
- Normas ContábeisCPCsCPC 26: Elaboração e Apresentação das Demonstrações Contábeis
A comunicação efetiva de informações nas demonstrações
contábeis as torna mais relevantes e contribui para uma
representação fidedigna de ativos, passivos, patrimônio líquido,
receitas e despesas da entidade.
Em se tratando dos preceitos das normas CPC 00 e CPC 26, é correto afirmar que:
Em se tratando dos preceitos das normas CPC 00 e CPC 26, é correto afirmar que:
Provas
Questão presente nas seguintes provas
- Lei 10.216/2001: Direitos e Proteção das Pessoas Portadoras de Transtorno Mental
- Direitos Humanos no Ordenamento Nacional
Catarina tem 56 anos e está internada em uma instituição
psiquiátrica desde os 15 anos. Recentemente foi avaliada pelo
médico da instituição como apta para retornar ao convívio social
fora da instituição. Como Catarina possui uma sobrinha, esta foi
chamada para levar a tia para casa.
Nessa situação, de acordo com a Lei nº 10.216/2001, a conduta da instituição está:
Nessa situação, de acordo com a Lei nº 10.216/2001, a conduta da instituição está:
Provas
Questão presente nas seguintes provas
O planejamento da ação pública que implique geração de despesa
ou assunção de obrigação deve considerar as disposições legais
para assegurar a sua regularidade.
Uma análise da geração de despesa, à luz da Lei de Responsabilidade Fiscal, deve concluir que a despesa é considerada adequada à lei orçamentária anual quando:
Uma análise da geração de despesa, à luz da Lei de Responsabilidade Fiscal, deve concluir que a despesa é considerada adequada à lei orçamentária anual quando:
Provas
Questão presente nas seguintes provas
Um novo servidor foi designado para trabalhar no setor
responsável pela execução orçamentária da despesa,
especificamente na seção de liquidação da despesa. Pela ausência
de fluxo padronizado de procedimentos, ele tinha dúvidas
recorrentes que eram consultadas a colegas mais experientes. Ao
examinar um processo de despesa para verificar a regularidade do
direito adquirido pelo credor, ele foi orientado pelos colegas a
analisar:
I. o contrato, se houver, e a nota de empenho; II. a fonte de custeio da despesa; III. os comprovantes da prestação do serviço;
IV. a compatibilidade da despesa com a programação financeira.
De acordo com a Lei nº 4.320/1964, são considerados títulos e documentos comprobatórios, para fins de liquidação, somente os itens:
I. o contrato, se houver, e a nota de empenho; II. a fonte de custeio da despesa; III. os comprovantes da prestação do serviço;
IV. a compatibilidade da despesa com a programação financeira.
De acordo com a Lei nº 4.320/1964, são considerados títulos e documentos comprobatórios, para fins de liquidação, somente os itens:
Provas
Questão presente nas seguintes provas
A estrutura da Lei de Diretrizes Orçamentárias (LDO) deve
apresentar uma série de conteúdos para subsidiar o
acompanhamento da gestão fiscal e a elaboração do orçamento
anual.
No que tange ao Anexo de Metas Fiscais, a Lei de Responsabilidade Fiscal dispõe que deve conter:
No que tange ao Anexo de Metas Fiscais, a Lei de Responsabilidade Fiscal dispõe que deve conter:
Provas
Questão presente nas seguintes provas
Cadernos
Caderno Container