Magna Concursos

Foram encontradas 1.899 questões.

426957 Ano: 2011
Disciplina: Direito Administrativo
Banca: CESPE / CEBRASPE
Orgão: TJ-ES
Com referência a contratos administrativos e licitações, julgue os
itens que se seguem.
Qualquer pessoa pode exercer a fiscalização da lisura do procedimento licitatório, mesmo que não esteja participando do certame.
Questão Anulada

Provas

Questão presente nas seguintes provas
426946 Ano: 2011
Disciplina: Direito Administrativo
Banca: CESPE / CEBRASPE
Orgão: TJ-ES
Acerca da gestão de contratos e processos licitatórios, julgue os
itens de 12 a 17.
Os comportamentos culposos da administração pública afetam o equilíbrio econômico do contrato, devendo, assim, haver total engajamento dos atores envolvidos na realização do objeto contratado.
Questão Anulada

Provas

Questão presente nas seguintes provas
426920 Ano: 2011
Disciplina: Direito Administrativo
Banca: CESPE / CEBRASPE
Orgão: TJ-ES
Acerca da gestão de contratos e processos licitatórios, julgue os
itens de 12 a 17.
Quando a administração pública identificar vício no procedimento licitatório, haverá o dever de a mesma indenizar o contratado.
Questão Anulada

Provas

Questão presente nas seguintes provas
426882 Ano: 2011
Disciplina: Estatística
Banca: CESPE / CEBRASPE
Orgão: TJ-ES
Enunciado 426882-1

O gráfico acima mostra a função de densidade de uma distribuição
normal e de duas outras distribuições A e B. No que se refere a esse
gráfico, julgue os itens que se seguem.
Uma distribuição leptocúrtica tem coeficiente de curtose maior que uma distribuição platicúrtica.
Questão Anulada

Provas

Questão presente nas seguintes provas
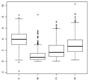
426881 Ano: 2011
Disciplina: Estatística
Banca: CESPE / CEBRASPE
Orgão: TJ-ES
Enunciado 426881-1

Considerando o gráfico acima e o fato de os pontos indicarem uma
única observação, julgue os itens que se seguem, referentes ao
coeficiente de assimetria.
Os coeficientes de assimetria dos grupos B, C e D são positivos (assimetria à esquerda).
Questão Anulada

Provas

Questão presente nas seguintes provas
426725 Ano: 2011
Disciplina: Legislação Estadual e Distrital
Banca: CESPE / CEBRASPE
Orgão: TJ-ES
Com relação ao plano de carreiras e de vencimentos dos servidores
efetivos do Poder Judiciário do estado do Espírito Santo, julgue os
próximos itens.
O processo de promoção deve ser realizado a cada biênio, exceto para os servidores em estágio probatório, que só podem participar desse processo depois de decorridos três anos de experiência no referido estágio.
Questão Anulada

Provas

Questão presente nas seguintes provas
2641940 Ano: 2011
Disciplina: Direito Processual Penal
Banca: CESPE / CEBRASPE
Orgão: TJ-ES
Julgue o item subsequente, referente a prisões, liberdade provisória e procedimentos processuais penais.
Caberá liberdade provisória sem fiança e sem vinculação ao réu que praticar infrações cuja pena de multa seja a única cominada e cujo máximo de pena privativa de liberdade — isolada, cumulada ou alternada — não ultrapasse três meses.
Questão Desatualizada

Provas

Questão presente nas seguintes provas
A língua escrita, como a falada, compreende diferentes níveis, de acordo com o uso que dela se faça. Por exemplo, em uma carta a um amigo, podemos nos valer de determinado padrão de linguagem que incorpore expressões extremamente pessoais ou coloquiais; em um parecer jurídico, não se há de estranhar a presença do vocabulário técnico correspondente. Nos dois casos, há um padrão de linguagem que atende ao uso que fazemos da língua, a finalidade com que a empregamos.
Manual de Redação da Presidência
da República. 2.a ed., 2002, p. 5.Internet: <www.planalto.gov.br> (com adaptações) .
Tendo o texto acima como referência inicial, julgue o item subsecutivo, referente à linguagem empregada na correspondência oficial.
Em ofícios e memorandos, independentemente da urgência dos assuntos tratados, mantêm-se as exigências de concisão e clareza da linguagem e de revisão cuidadosa do texto do expediente.
Questão Desatualizada

Provas

Questão presente nas seguintes provas
Acerca de conceitos e aplicativos dos ambientes Microsoft Office e BrOffice, julgue o item a seguir.
No Microsoft Word, o recurso de verificação de ortografia e gramática é útil para o usuário corrigir termos ou trechos que são marcados conforme determinada convenção. Por exemplo, quando a marcação aparece como uma linha vermelha ondulada abaixo do termo, significa que esse termo apresenta grafia incorreta; se a marcação aparece como uma linha verde ondulada abaixo do segmento marcado, há indícios de potenciais erros gramaticais nesse segmento.
Questão Desatualizada

Provas

Questão presente nas seguintes provas