Foram encontradas 118 questões.

Com base nessas informações, julgue os itens seguintes.
A estatística oficial para o índice de envelhecimento, calculado pelo IBGE, é o resultado da razão entre a população de 65 anos de idade ou mais e a população de 0 a 14 anos de idade, medindo-se o número de pessoas idosas em uma população, para cada grupo de 100 pessoas jovens.
Provas

Com base nessas informações, julgue os itens seguintes.
A maioria do contingente de técnicos e auxiliares em enfermagem em 2004 era do sexo masculino.
Provas

Com base nessas informações, julgue os itens seguintes.
Em 2004, o percentual de técnicos e auxiliares em enfermagem que trabalham em hospitais do Estado era superior a 30% e inferior a 55% do total desses profissionais que trabalham no DF.
Provas

Com base nessas informações, julgue os itens seguintes.
A razão de sexo aumentou mais de 12% de 1992 a 2004.
Provas

Com base nessas informações, julgue os itens seguintes.
Com base nos dados de 2002 e 2004 e considerando-se o método da progressão aritmética, a projeção é que haja mais de 10 mil auxiliares em enfermagem no DF em 2008.
Provas

Com base nessas informações, julgue os itens seguintes.
A taxa média geométrica de crescimento anual do contingente de técnicos e auxiliares em enfermagem no período de 1992 a 2002 foi superior a 40%.
Provas

Com base nessas informações, julgue os itens seguintes.
Em 1992, o percentual de negros entre o contingente de técnicos e auxiliares em enfermagem era superior a 40% e inferior a 45%.
Provas

Com base nessas informações, julgue os itens seguintes.
Para o IBGE, cor ou raça é uma característica declarada pelas pessoas de acordo com as seguintes opções: branca, preta, amarela, parda ou indígena.
Provas

Com base nessas informações, julgue os itens seguintes.
De acordo com o IBGE, espera-se que em 2050 o número de brasileiros com menos de 40 anos de idade seja igual ao número dos brasileiros com mais de 40 anos de idade.
Provas
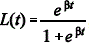
Um relatório divulgado pela Comissão de Relações
Exteriores do Senado americano em 2003 aumentou a paranóia
dos Estados Unidos da América e a preocupação de todo o
mundo com o terrorismo. Mais de 80 especialistas em segurança
nacional e não-proliferação de arsenais concluíram que a chance
de o planeta assistir a um atentado com armas de destruição em
massa (químicas, biológicas ou nucleares) segue a curva logística
, em que L(t) representa a probabilidade de o planeta
assistir a um atentado com armas de destruição em massa para um
dado instante t, em anos, sendo t ≥ 0, e β é uma constante. Nesse
modelo, t = 0 corresponde ao ano 2003, t = 1, ao ano 2004, e
t = k ≥ 0, ao ano 2003 + k. De acordo com os especialistas, a
probabilidade de o mundo assistir a um atentado com armas de
destruição em massa em 2013 — t = 10 — será igual a 0,80 —
L(10) = 0,8.
Correio Braziliense, 23/5/2005 (com adaptações).
Considere-se que cinco anos depois do instante inicial t = 0, o mundo não tenha presenciado atentado terrorista com armas de destruição em massa. Nesse caso, a probabilidade de o mundo assistir a um atentado com armas de destruição em massa em 2013 é inferior a 0,80.
Provas
Caderno Container