Foram encontradas 489 questões.
Relacone corretamente os músculos predominantemente utilizados na flexão e extensão dos cúbitos (cotovelos) em uma suspensão livre na barra-fixa.

Provas
Efetuando-se !$ \dfrac{18-\left(-6\right):\left(0,5\right)}{\left(-0,6\right)\times\left(-5\right)+\left(-7\right)} !$ obtém-se:
Provas
Corelacione as duas olunas corretamente.

Provas
Uma aldeia foi delimitada seguindo as coordenadas descritas no plano abaixo:

Provas
A tabela abaixo apresenta cinco vertebrados e as temperaturas de seus corpos em um dia de verão e em um dia de inverno.

Provas
- GeometriaGeometria PlanaTriângulosMediana, Mediatriz, Bissetriz e Altura de Triângulos
- GeometriaGeometria PlanaQuadriláteros
A área do retângulo ABCD é 48 cm2. O valor da área do paralelogramo BIDU, em cm2, é igual a

Provas
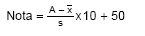
No edital do concurso para provimento de vagas no cargo de professor de educação básica do estado de Sergipe, encontra-se a seguinte descrição acerca da nota do candidato na prova do concurso:
A nota do candidato resultará da diferença entre seu escore bruto e a média do grupo, dividida pelo desvio padrão da distribuição, multiplicada por 10 (dez) e acrescida de 50 (cinqüenta).Supondo que
x = média do grupo
A = número de acertos do candidato
s = desvio padrão
qual das alternativas seguintes contém a fórmula descrita?
Provas
Observe o gráfico.

Provas


Provas
Uma das possibilidades para elaboração de um planejamento de trabalho com a Matemática do ensino médio leva em conta a distribuição dos conteúdos em três grande temas estruturadores, a saber:
1. Álgebra: números e funções
2. Geometria e medidas
3. Análise de dados
Identifique corretamente os conteúdos correlacionados a cada um desses temas.
Provas
Caderno Container