Magna Concursos

Foram encontradas 1.020 questões.

3798822 Ano: 2025
Disciplina: Física
Banca: VUNESP
Orgão: SEDUC-SP

Observe a situação, em que o suco está inicialmente na temperatura ambiente de 29 ºC.

Enunciado 4678220-1

(https://pt.pngtree.com/freepng/two-ice-cubes_13022316.html https://www.virtualsaude.com.br/replica-de-suco-de-laranja- -no-copo-200-ml-unidade-p440 l. Adaptado)

Supondo que o suco tem o mesmo calor específico e densidade que a água, a temperatura final, em graus Celsius, após o derretimento de dois cubos de gelo, será de aproximadamente

 

Provas

Questão presente nas seguintes provas
3798821 Ano: 2025
Disciplina: Física
Banca: VUNESP
Orgão: SEDUC-SP

Observe a notícia.

Enunciado 4678219-1

(https://revistapesquisa.fapesp.br/ cerveja-gelada-por-mais-tempo/. Adaptado)

Um estudo recente analisou como o formato de copos influencia a manutenção da temperatura da cerveja. Considerando os princípios da termodinâmica, copos com base estreita e boca larga ajudam a manter a cerveja gelada por mais tempo, pois

 

Provas

Questão presente nas seguintes provas
3798820 Ano: 2025
Disciplina: Física
Banca: VUNESP
Orgão: SEDUC-SP
Um gás perfeito está contido em um recipiente com êmbolo móvel. Ao receber calor de uma fonte externa, o gás sofre uma expansão isobárica, com pressão de 105 Pa. No decorrer desse processo, o volume do gás passa de 0,02 m3 para 0,05 m3 . O trabalho, em joules, realizado pelo gás durante a expansão é de
 

Provas

Questão presente nas seguintes provas
3798819 Ano: 2025
Disciplina: Física
Banca: VUNESP
Orgão: SEDUC-SP

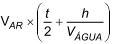
A figura ilustra a instalação de um sonar na proa de um navio.

Enunciado 4678217-1

(https://images.app.goo.gl/w28e6JD4GWSAjWm7A. Adaptado)

O ultrassom percorre, no ar, a distância h e, na água, a distância H, gastando, para ir do sonar ao fundo do mar e retornar a ele, um tempo t. Dado que Var e Vágua representam, respectivamente, a velocidade do som no ar e na água, a profundidade do mar H é corretamente determinada pela expressão

 

Provas

Questão presente nas seguintes provas
3798818 Ano: 2025
Disciplina: Física
Banca: VUNESP
Orgão: SEDUC-SP
Uma folha de soja com área foliar de 20 cm2  recebe uma radiação eletromagnética uniforme, que oscila 1 bilhão de vezes por segundo. Considere que a energia total dessa radiação é de 2,0 × 10–19J, e que a Energia é dada por ∆E = nhν, onde v é a frequência da radiação, n é o número de fótons e h é a constante de Planck que corresponde a 6,0 × 10–34J.s.

A quantidade de fótons por cm2 que a folha recebe é de aproximadamente:
 

Provas

Questão presente nas seguintes provas
3798817 Ano: 2025
Disciplina: Física
Banca: VUNESP
Orgão: SEDUC-SP
A ultrassonografia é um método diagnóstico, recorrente da medicina moderna, que utiliza o eco gerado através de ondas ultrassônicas de alta frequência para visualizar, em tempo real, as estruturas internas do organismo. A propriedade física dos tecidos que possibilita a formação de imagens de ultrassonografia é a impedância acústica, que está relacionada com a resistência de um meio à passagem do som.

Nesse sentido, quanto maior a diferença de impedância entre duas estruturas, maior será a
 

Provas

Questão presente nas seguintes provas
3798816 Ano: 2025
Disciplina: Física
Banca: VUNESP
Orgão: SEDUC-SP

Observe as dimensões olímpicas de uma piscina de polo aquático.

Enunciado 4678214-1

(https://www.dlgsc.wa.gov.au/sport-and-recreation/ sports-dimensions-guide/water-polo. Adaptado)

Um padrão de ondas estacionárias é gerado após um jogo, a distância entre os ventres dessa onda é igual a 20 centímetros, o número de ventres que surgem na piscina ao longo de seu comprimento é de

 

Provas

Questão presente nas seguintes provas
3798815 Ano: 2025
Disciplina: Física
Banca: VUNESP
Orgão: SEDUC-SP
Fótons são partículas elementares, entidades fundamentais no estudo da radiação eletromagnética. De acordo com a mecânica quântica, os fótons podem atuar como uma partícula ou como uma onda, segundo a teoria da dualidade partícula-onda. Em seu comportamento ondulatório, pode-se analisar a energia e a frequência dos fótons.

Com relação às propriedades do fóton, é correto afirmar que
 

Provas

Questão presente nas seguintes provas
3798814 Ano: 2025
Disciplina: Física
Banca: VUNESP
Orgão: SEDUC-SP
Morcegos são dotados de uma sofisticada capacidade biológica de detectar a posição de presas e obstáculos, por meio de ondas ultrassônicas, que refletem no alvo e retornam a eles sob a forma de eco.

Enunciado 4678212-1

(https://pt.dreamstime.com/ecolocaliza. Adaptado)

O morcego da figura recebe as ondas refletidas meio segundo depois de sua emissão. Dado que a velocidade do som no ar é de 340 m/s, a distância entre ele e a presa é, em metros, de
 

Provas

Questão presente nas seguintes provas
3798813 Ano: 2025
Disciplina: Física
Banca: VUNESP
Orgão: SEDUC-SP
A primeira usina na América Latina, que utiliza o movimento das ondas do mar para produção de energia elétrica, fica no Porto de Pecém, no Ceará. No dimensionamento da usina, os engenheiros do projeto sabiam que a velocidade média das ondas era de 5,0 km/h e que elas tinham o período de 12 segundos. Com base nessas informações, os projetistas foram capazes de dimensionar os braços mecânicos e as boias de flutuação, a partir do comprimento de onda que, em metros, equivale a aproximadamente
 

Provas

Questão presente nas seguintes provas