Foram encontradas 1.077 questões.
1281115
Ano: 2014
Disciplina: Direito da Criança e do Adolescente
Banca: FGV
Orgão: SEDUC-AM
Disciplina: Direito da Criança e do Adolescente
Banca: FGV
Orgão: SEDUC-AM
Provas:
O ECA normatiza uma série de medidas para o acompanhamento de crianças e adolescentes. A esse respeito assinale a opção correta.
Provas
Questão presente nas seguintes provas
O Artigo 23 da Lei Federal nº 8.666/93, modificado pela
Lei nº 9.648/98, estabelece que as modalidades de licitação serão
determinadas em função dos limites dos valores (estimados) da
contratação.
Para obras e serviços de engenharia, deve-se empregar
Provas
Questão presente nas seguintes provas
Alguns tipos de cobra-coral encontrados na rica fauna amazônica estão citados na lista a seguir:
Micrurus filiformis filiformis; Micrurus filiformis subtilis; Micrurus langsdorffi langsdorffi; Micrurus langsdorffi belleri; Micrurus spixi spixi; Micrurus spix martiusi; Micrurus spix nattereri.
Do ponto de vista da taxionomia, as nomenclaturas acima indicam que as serpentes citadas estão distribuídas em
Provas
Questão presente nas seguintes provas
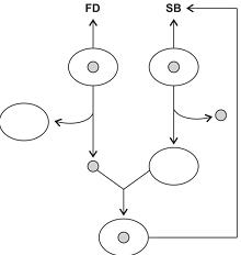
O óvulo desnucleado de uma ovelha, da raça “Scottish Blackface” (SB), recebeu o núcleo de uma célula mamária de outra ovelha, da raça “Finn Dorset” (SB). O embrião resultante dessa união foi implantado na ovelha SB, conforme mostrado na figura.

O embrião implantado na ovelha SB resultou no clone Dolly. 
Com relação à origem dos genes nucleares e mitocondriais da ovelha Dolly, assinale a opção correta.
Provas
Questão presente nas seguintes provas
A figura a seguir mostra alguns eventos químicos que ocorrem em células musculares de mamíferos.

A importância do estágio 4 é
Provas
Questão presente nas seguintes provas
No que diz respeito ao regime disciplinar, segundo o Estatuto dos Funcionários Públicos Civis do Estado do Amazonas, Lei nº 1.762/86, assinale a afirmativa correta.
Provas
Questão presente nas seguintes provas
Considerando-se os vocábulos a seguir, assinale a opção em que as três palavras recebem acento gráfico obrigatoriamente.
Provas
Questão presente nas seguintes provas
Cadernos
Caderno Container