Foram encontradas 426 questões.
O Morro da Igreja é um dos principais marcos
geográficos e turísticos de Urubici.
Assinale a alternativa correta sobre esse acidente geográfico.
Assinale a alternativa correta sobre esse acidente geográfico.
Provas
Questão presente nas seguintes provas
A população de Urubici, segundo dados do Censo 2022, apresenta características demográficas específicas.
O contingente populacional atual do município é de aproximadamente:
Provas
Questão presente nas seguintes provas
O relevo de Santa Catarina é caracterizado por
diversidades geográficas significativas.
Assinale a alternativa correta sobre as características do relevo catarinense.
Assinale a alternativa correta sobre as características do relevo catarinense.
Provas
Questão presente nas seguintes provas
Urubici possui denominação que reflete sua principal atividade econômica.
Assinale a alternativa que indica corretamente a denominação oficial do município.
Provas
Questão presente nas seguintes provas
4052520
Ano: 2026
Disciplina: Atualidades e Conhecimentos Gerais
Banca: FEPESE
Orgão: Pref. Urubici-SC
Disciplina: Atualidades e Conhecimentos Gerais
Banca: FEPESE
Orgão: Pref. Urubici-SC
Provas:
Os deslocamentos forçados de pessoas (refugiados, solicitantes de refúgio e deslocados internos) vêm
crescendo nos últimos anos.
Assinale a alternativa correta à luz de relatórios recentes da agência da ONU para Refugiados (ACNUR).
Assinale a alternativa correta à luz de relatórios recentes da agência da ONU para Refugiados (ACNUR).
Provas
Questão presente nas seguintes provas
A Organização Mundial da Saúde (OMS) desempenha papel fundamental na coordenação global de
políticas de saúde pública.
Considerando sua atuação, assinale a alternativa que indica corretamente suas principais atribuições.
Considerando sua atuação, assinale a alternativa que indica corretamente suas principais atribuições.
Provas
Questão presente nas seguintes provas
Um setor de tecnologia de uma secretaria esta
dual está implantando um módulo de simulação
financeira. Em parte dos cálculos, o sistema usa a
constante π (um número irracional) para rotinas de
modelagem, enquanto os valores lançados no orça
mento são registrados em reais com duas casas decimais (números racionais).
Analise as afirmativas abaixo sobre as propriedades de números racionais e irracionais.
1. Ao multiplicar um número racional não nulo por π, o resultado é um número irracional.
2. Existem dois números irracionais x e y tais que x − y é um número racional.
3. Para quaisquer dois números racionais distintos a e b, com a < b, existem infinitos números irracionais x tais que a < x < b.
Assinale a alternativa que indica todas as afirmativas corretas.
Analise as afirmativas abaixo sobre as propriedades de números racionais e irracionais.
1. Ao multiplicar um número racional não nulo por π, o resultado é um número irracional.
2. Existem dois números irracionais x e y tais que x − y é um número racional.
3. Para quaisquer dois números racionais distintos a e b, com a < b, existem infinitos números irracionais x tais que a < x < b.
Assinale a alternativa que indica todas as afirmativas corretas.
Provas
Questão presente nas seguintes provas
Um setor registrou o número de atendimentos
concluídos por dia em uma semana útil (5 dias):
Considerando esses dados, assinale a alternativa que apresenta a soma da mediana com a moda.
Considerando esses dados, assinale a alternativa que apresenta a soma da mediana com a moda.
Provas
Questão presente nas seguintes provas
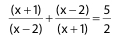
Em um indicador interno (sem unidade), um setor
modelou uma relação algébrica que levou à equação,
para x > 0 e x ≠ 2:
O valor de x é:
O valor de x é:
Provas
Questão presente nas seguintes provas
O tempo médio de resposta (em minutos) de um
sistema de chamados foi modelado por uma função
logarítmica:
□ T(n) = a·log10(n) + b
onde: n é o número de chamados no dia (n ≥ 1) e log10 é o logaritmo na base 10.
Sabendo que T(100) = 3 e T(10.000) = 7, qual deve ser o número n para que T(n) = 5?
□ T(n) = a·log10(n) + b
onde: n é o número de chamados no dia (n ≥ 1) e log10 é o logaritmo na base 10.
Sabendo que T(100) = 3 e T(10.000) = 7, qual deve ser o número n para que T(n) = 5?
Provas
Questão presente nas seguintes provas
Cadernos
Caderno Container