Foram encontradas 405 questões.
Nas planilhas eletrônicas, um recurso disponível é a consolidação de dados em várias planilhas, no intuito de resumir e relatar os resultados de planilhas separadas, em uma planilha principal. As planilhas podem estar na mesma pasta de trabalho que a planilha principal ou em outras pastas de trabalho. Por exemplo, se tiver uma planilha de valores de despesa de cada um dos escritórios regionais, poderá usar uma consolidação para combinar esses valores em uma planilha de despesas corporativas. Essa planilha principal pode conter totais e médias de venda e os produtos mais vendidos em toda a empresa. Nesse contexto, a necessidade de organizar os dados, em todas as planilhas, em ordem e local idênticos, é apresentada pela consolidação por
Provas
Questão presente nas seguintes provas
ENVELHECER É UMA ARTE?
Nas palavras de Cícero, envelhecer é coisa boa. Dois mil anos depois, com fartura de números, o tema reaparece nas pesquisas iniciadas por R. Easterlin. Detecta-se uma “curva da fossa”: entre 40 e 50 anos, bate um pessimismo, uma insegurança difusa. Mas daí para a frente voltamos a ficar de bem com a vida, cada vez mais felizes – óbvio –, só até o corpo fracassar. Será?
Esse lado emocional-filosófico é nebuloso. Amadurecemos com a idade, como sugerem as pesquisas? Ou acumulamos azedumes e rabugices? Ficamos cada vez mais impacientes com a burrice humana? Ou mais bem blindados contra ela? Cada um é cada um. Exploremos alguns temas em que o terreno parece menos pantanoso(a).
O psicólogo A. Maslow documentou o que significava para ele ir ficando velho(b). Percebia uma perda progressiva da motivação para fazer as coisas e lidar com desafios. Mais e mais empreitadas deixavam de valer a pena. É o meu caso: já trabalhei no governo, mas hoje nenhum cargo me tentaria. Sinto engulho só de vislumbrar o pesadelo da burocracia pública.
Em sua última entrevista, Paulo Freire segue caminho paralelo a Maslow, afirmando que envelhecer é perder a curiosidade. Se ele tem razão, no meu caso, permaneço jovem, pois minha curiosidade sobrevive, onívora. O ocaso das faculdades mentais é bem documentado pela pesquisa. Degrada-se a memória, sobretudo a de curto prazo e a dos nomes e datas. O raciocínio matemático começa a derrapar já a partir dos 30(d). De fato, todos os avanços na área foram feitos por jovens.
A boa notícia é que a capacidade de julgamento, a sabedoria, o "espirit de finesse", mencionado por Pascal, não apenas sobrevivem, mas progridem. Comprovou-se que os velhos precisam ler menos para decidir sobre algum assunto, com igual competência. E, nas humanidades, amadurecemos com os anos, e muito. Romancistas e historiadores? Prefiram os velhos. Aleluia! Com o passar dos anos, políticos entendem melhor a natureza humana, por isso sobrevivem na carreira.
Sabemos também que a inteligência reage como um músculo. A qualquer idade, é fortalecida com exercícios e evapora com a inação(c). Daí a importância de exercitar a ambos. Se encolhem os desafios mentais na aposentadoria, risco à vida! Não é o contracheque que salva vidas; mas a letargia intelectual mata. Se ficarmos esperando pela morte, ela virá mais célere. Com medo de morrer, continuo trabalhando, freneticamente.
Na minha incauta opinião, conversa de doença não faz bem à saúde. Tampouco é uma boa receita para a longevidade voltar aos lugares em que se viveu ou trabalhou, não encontrar mais conhecidos e ser tratado como um estranho.
Caminhando pelas ruas, vemos logo quem tem jeito de aposentado. Falta chispa nos olhos e o andar sugere que não quer chegar a parte alguma. Quem lê obituário, para ficar sabendo dos amigos que morreram, mostra na cara sua vocação para a morte. Cruz-credo! Aliás, a solidão é fatal! Por isso, vale o conselho de Samuel Johnson: enquanto jovem, é preciso cultivar os amigos, pois com a idade vai ficando difícil renovar o plantel.
A decadência do corpo é inexorável. Mais dias de indisposição, dói aqui, dói acolá, mais enguiços e reparos, remedinhos para isso ou para aquilo. Contudo, avanços na medicina e melhores estilos de vida freiam espetacularmente a degradação do corpo. Mantêm serelepe muitos velhos que, faz poucas décadas, estariam derrubados. Vejam nas ilustrações antigas a imagem dos avós, circunspectos e encarquilhados. Gente nas mesmas idades está hoje malhando nas academias, subindo montanhas e gabando-se de suas proezas, em todos os azimutes. Obviamente, isso dá trabalho: há que buscar remédios miraculosos, próteses, mandar recauchutar o coração, fazer dietas e exercícios árduos para manter a massa muscular. No meu modesto julgamento, compensa.
Isso são teorias.
O único ganho indisputável é não ter de entrar em filas. Outro dia, estava no banco e, como a fila dos velhos não andava, um jovem me ofereceu seu lugar na outra. Relutei, mas acabei aceitando. Feita a transação, saí correndo, para que ele não me visse partir na minha moto BMW 650 GS.
(CASTRO, Cláudio de Moura. Envelhecer é uma arte? Revista Veja. 14 de abril de 2015.)
Em todas as alternativas, verifica-se o uso da linguagem metafórica como recurso de expressão, EXCETO
Provas
Questão presente nas seguintes provas
A Lei 9.394/96, LDBEN, estabelece determinadas incumbências para os docentes, entre as quais NÃO se encontra:
Provas
Questão presente nas seguintes provas
2485042
Ano: 2014
Disciplina: Direito da Criança e do Adolescente
Banca: COTEC
Orgão: Pref. Unaí-MG
Disciplina: Direito da Criança e do Adolescente
Banca: COTEC
Orgão: Pref. Unaí-MG
Provas:
- ECAGeralDireitos Fundamentais (art. 7º ao 69)Do Direito à Educação, à Cultura, ao Esporte e ao Lazer (Art. 53 a 59)
Conforme os preceitos estabelecidos pela Lei 8.069/90 – Estatuto da Criança e do Adolescente – é INCORRETO afirmar que os dirigentes de estabelecimentos de ensino fundamental comunicarão ao Conselho Tutelar os casos de
Provas
Questão presente nas seguintes provas
A escola é um lugar de construção de conhecimento e de ajuda na socialização dos educandos, então, o conhecimento religioso deve estar disponível para todos que desejam aprender, porque, afinal, ele é um conhecimento humano. Nessa perspectiva, podemos afirmar:
Provas
Questão presente nas seguintes provas
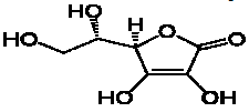
A vitamina C encontra-se representada pela estrutura abaixo.

A molécula de vitamina C apresenta
Provas
Questão presente nas seguintes provas
Quando várias pessoas de uma organização trabalham juntas em arquivos, às vezes, as versões, os comentários e as mensagens de e-mail ficam espalhadas em diferentes lugares. Pode-se ajudar as pessoas a trabalharem com mais eficiência usando um site de Espaço de Trabalho de Documento. Para criá-lo, é necessário ter permissão para criar sites de espaço de trabalho no site do Microsoft Windows SharePoint Services, onde ele está localizado. A criação de um site de Espaço de Trabalho de Documento ocorre das seguintes maneiras:
I - No painel de tarefas Gerenciamento de Documentos.
II - Enviando e-mail.
III - A partir de um documento que já esteja em uma biblioteca do SharePoint.
IV - A partir de um site.
Está(ão) CORRETA(S) a(s) afirmativa(s)
Provas
Questão presente nas seguintes provas
2484731
Ano: 2014
Disciplina: TI - Desenvolvimento de Sistemas
Banca: COTEC
Orgão: Pref. Unaí-MG
Disciplina: TI - Desenvolvimento de Sistemas
Banca: COTEC
Orgão: Pref. Unaí-MG
Provas:
A figura abaixo representa uma árvore SBB.

As características existentes nesse tipo de árvore são:
Provas
Questão presente nas seguintes provas
As DRIs são valores de referência para ingestão de nutrientes, quantitativamente estimados, para serem usados no planejamento e na avaliação de dietas individuais ou para grupos de pessoas saudáveis. Englobam quatro valores de referência para consumo de nutrientes, são eles: ingestão adequada (AI), necessidade média estimada (EAR), nível de ingestão dietética recomendada (RDA) e os níveis superiores de ingestão toleráveis (UL). O objetivo dessas divisões é atender a casos específicos. Sobre esse assunto, é CORRETO afirmar:
Provas
Questão presente nas seguintes provas
A questão abaixo se refere à Lei de Diretrizes e Bases da Educação Nacional, Lei 9.394/96, incluindo a redação dada pela Lei 12.796, de 2013.
Conforme a LDBEN, o atendimento ao educando, em todas as etapas da educação básica, por meio de programas suplementares de material didático-escolar, transporte, alimentação e assistência à saúde será oferecido:
Provas
Questão presente nas seguintes provas
Cadernos
Caderno Container