Foram encontradas 325 questões.
Beatriz, Maria, Rebeca, Vanessa e Carla
realizaram uma mesma prova. A maior nota entre elas
foi 18. Sabe-se que:
• Beatriz obteve exatamente metade da nota de Maria; • Rebeca obteve uma nota igual à média aritmética das notas de Carla e Maria; • Vanessa obteve a mesma nota que Carla, e o triplo da nota de Beatriz.
Considerando essas condições, é correto afirmar que a segunda maior nota entre todas as participantes foi 15, pois, sendo a nota de Rebeca uma média ponderada simétrica entre a maior e a menor nota distintas do conjunto, ela necessariamente ocuparia a segunda posição em um conjunto ordenado de forma estritamente decrescente.
• Beatriz obteve exatamente metade da nota de Maria; • Rebeca obteve uma nota igual à média aritmética das notas de Carla e Maria; • Vanessa obteve a mesma nota que Carla, e o triplo da nota de Beatriz.
Considerando essas condições, é correto afirmar que a segunda maior nota entre todas as participantes foi 15, pois, sendo a nota de Rebeca uma média ponderada simétrica entre a maior e a menor nota distintas do conjunto, ela necessariamente ocuparia a segunda posição em um conjunto ordenado de forma estritamente decrescente.
Provas
Questão presente nas seguintes provas
Considere um polígono regular convexo de seis
lados, cujos lados medem exatamente 10 cm.
Sabendo que a área total de um polígono regular é
dada pela multiplicação do perímetro pelo apótema dividida por dois, e que o apótema do hexágono
regular equivale à altura de um triângulo equilátero
formado por dois lados adjacentes e uma diagonal
menor, é correto afirmar que a área total do polígono
em questão é de 150√3 cm2
, já que a decomposição
em triângulos isósceles com ângulos centrais de 60°
permite a aplicação direta da fórmula de área para
polígonos irregulares simétricos.
Provas
Questão presente nas seguintes provas
Um cilindro maciço de ferro possui volume de
2dm³ e massa de 15kg.
Considerando que a densidade é dada pela razão entre a massa e o volume, e lembrando que:
• 1 kg = 1000 g • 1 dm³ = 1000 cm³
Podemos afirmar que a densidade do ferro, nesse caso, é de 7,5 g/cm³, valor compatível com a densidade do ferro em temperatura ambiente.
Considerando que a densidade é dada pela razão entre a massa e o volume, e lembrando que:
• 1 kg = 1000 g • 1 dm³ = 1000 cm³
Podemos afirmar que a densidade do ferro, nesse caso, é de 7,5 g/cm³, valor compatível com a densidade do ferro em temperatura ambiente.
Provas
Questão presente nas seguintes provas
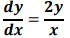
Seja uma equação diferencial ordinária de
primeira ordem e separável dada por:
A solução geral dessa EDO pode ser obtida por separação de variáveis, resultando na equação y= Cx2 onde C é uma constante real arbitrária. Portanto, podemos afirmar que essa EDO possui solução única para qualquer condição inicial, já que é separável e contínua em todo o domínio real.
A solução geral dessa EDO pode ser obtida por separação de variáveis, resultando na equação y= Cx2 onde C é uma constante real arbitrária. Portanto, podemos afirmar que essa EDO possui solução única para qualquer condição inicial, já que é separável e contínua em todo o domínio real.
Provas
Questão presente nas seguintes provas
4006267
Ano: 2025
Disciplina: Matemática Financeira
Banca: IBED
Orgão: Pref. São João Varjota-PI
Disciplina: Matemática Financeira
Banca: IBED
Orgão: Pref. São João Varjota-PI
Provas:
Uma bomba hidráulica esvazia uma piscina com
volume V, sob uma vazão inicial Q (em m³/h), e
esvazia completamente a piscina em 10 horas.
Suponha que, após uma alteração na configuração, a
bomba passe a operar com uma vazão variável dada
por: Q(t) = Q (0) ∙ ekt onde k>0 é uma constante de proporcionalidade e t é
o tempo em horas.
A resolução exata do tempo de esvaziamento exige a modelagem da situação com uma equação diferencial não linear do tipo separável, cuja solução depende de integrar a função vazão em relação ao tempo, considerando o volume total como:

A resolução exata do tempo de esvaziamento exige a modelagem da situação com uma equação diferencial não linear do tipo separável, cuja solução depende de integrar a função vazão em relação ao tempo, considerando o volume total como:

Provas
Questão presente nas seguintes provas
A Figura mostra dois terrenos quadrados, um ao
lado do outro, e ambos de frente à rua Alfa, que é reta
nesse trecho. O terreno maior tem lado medindo 15m,
e o menor, 11m. O proprietário do terreno maior
comprou o terreno menor e pretende destinar a região
sombreada à construção de um canil, para abrigar
cães abandonados.
Podemos afirmar que o canil terá área de 104m²,
considerando que os terrenos são perfeitamente
contíguos e que o espaço será delimitado em toda a
faixa de sobreposição possível.
Podemos afirmar que o canil terá área de 104m²,
considerando que os terrenos são perfeitamente
contíguos e que o espaço será delimitado em toda a
faixa de sobreposição possível.Provas
Questão presente nas seguintes provas
A estrada que liga o município de São João da
Varjota a Oeiras – PI, com extensão total de 34 km,
será asfaltada em duas etapas consecutivas. Segundo
o planejamento, a primeira etapa compreenderá um
trecho 6 km mais extenso que o da segunda. Sabendo
que a divisão será proporcional ao total a ser asfaltado
e não ao número de etapas, conclui-se que a primeira
etapa cobrirá exatamente 20 km da estrada.
Provas
Questão presente nas seguintes provas
Suponha que, em determinado instante, a razão
entre a altura de um objeto vertical e o comprimento
de sua sombra seja constante, devido à posição fixa
do Sol no céu. Modelando a variação do comprimento
da sombra de um obelisco ao longo do tempo por uma
equação diferencial do tipo
ds/dt = −ks, com k>0,
obtemos uma solução exponencial decrescente que
representa corretamente o encolhimento da sombra à
medida que o Sol se aproxima do zênite. No entanto,
como a altura do obelisco também influencia
diretamente a variação da sombra ao longo do tempo,
a constante K dependerá da altura do obelisco, sendo
necessário conhecê-la para resolver a equação.
Provas
Questão presente nas seguintes provas
Considere um tetraedro regular inscrito em uma
esfera de raio R, tal que todos os vértices do tetraedro
pertencem à superfície da esfera. Sabendo-se que a
aresta do tetraedro mede α, é correto afirmar que a
distância do centro da esfera ao centro de uma das
faces do tetraedro é dada por α√6/6 , e que o plano que
contém essa face forma com o vetor que une o centro
da esfera ao centro dessa face um ângulo de 90°, pois
esse vetor é ortogonal ao plano da face.
Provas
Questão presente nas seguintes provas
Um recipiente completamente esférico possui
volume de 288π cm3
. Considerando a fórmula do
volume da esfera, V=3/4 πr3
, e supondo que o valor de
π seja mantido simbólico, podemos afirmar que a
medida exata do raio da esfera é 6 cm, pois ao igualar
V=3/4πr3=288π, temos uma equação que, ao ser
resolvida, conduz diretamente a esse resultado.
Provas
Questão presente nas seguintes provas
Cadernos
Caderno Container