Magna Concursos

Foram encontradas 325 questões.

4006261 Ano: 2025
Disciplina: Matemática
Banca: IBED
Orgão: Pref. São João Varjota-PI
Provas:
O professor de geometria com o objetivo de melhorar a compreensão dos alunos a respeito do conteúdo ministrado, propôs um desafio para a sua turma. Para alcançar o objetivo os alunos precisaram calcular a altura do edifício no centro da cidade, e na aula seguinte apresentar como chegaram ao resultado. Um aluno colocou-se a 20m de um prédio e vê um edifício sob certo ângulo. Afastando-se em linha reta mais 60m, nota que o ângulo de visualização é metade do anterior. A altura desse edifício é 48√2.
 

Provas

Questão presente nas seguintes provas
4006260 Ano: 2025
Disciplina: Matemática
Banca: IBED
Orgão: Pref. São João Varjota-PI
Provas:
Um contêiner metálico, comumente usados para transporte de cargas intermodais, tem a forma aproximada de um paralelepípedo retângulo com dimensões internas de 6,0 metros de comprimento, 2,4 metros de largura e 2,5 metros de altura. Por questões logísticas, a manutenção será feita apenas na superfície externa lateral e superior, desconsiderando a base inferior que se encontra permanentemente acoplada ao vagão. Se for considerado que todas as faces lixadas e pintadas correspondem a áreas planas retangulares, é correto afirmar que a área total a ser considerada no orçamento da manutenção será inferior a 80 m².
 

Provas

Questão presente nas seguintes provas
4006259 Ano: 2025
Disciplina: Matemática
Banca: IBED
Orgão: Pref. São João Varjota-PI
Provas:
Um tanque subterrâneo, que tem a forma de um cilindro circular reto na posição vertical, está completamente cheio com 30m3 de água e 42m3 de petróleo Enunciado 4494692-1

Se a altura do tanque é 12 metros, a altura, em metros, da camada de petróleo é 7.
 

Provas

Questão presente nas seguintes provas
4006258 Ano: 2025
Disciplina: Matemática
Banca: IBED
Orgão: Pref. São João Varjota-PI
Provas:
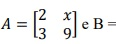
Dadas as matrizesEnunciado 4494691-1 Enunciado 4494691-2 então o valor de x para que se tenha Det A = Det B é 13/2 :
 

Provas

Questão presente nas seguintes provas
4006257 Ano: 2025
Disciplina: Matemática
Banca: IBED
Orgão: Pref. São João Varjota-PI
Provas:
O valor do quociente de 8 + i /2 – i corresponde a 2 + 2i:
 

Provas

Questão presente nas seguintes provas
4006256 Ano: 2025
Disciplina: Matemática
Banca: IBED
Orgão: Pref. São João Varjota-PI
Provas:
A fim de solucionar o problema de abastecimento de água, decidiu-se, em assembleia condominial, construir uma nova cisterna cilíndrica de mesma altura que a antiga, cujo volume deveria comportar exatamente 81 m³. Sabendo que a cisterna atual possui 3 metros de altura e 2 metros de diâmetro, e adotando-se π ≈ 3,14, pode-se afirmar que o acréscimo necessário no diâmetro da nova cisterna, em metros, é inferior a 2√3.
 

Provas

Questão presente nas seguintes provas
4006255 Ano: 2025
Disciplina: Matemática
Banca: IBED
Orgão: Pref. São João Varjota-PI
Provas:
Considere a equação exponencial real dada por:
3x−2+3x+1=84
Sobre a solução dessa equação no conjunto dos números reais ℝ, é correto afirmar que o valor de x pertence ao conjunto dos racionais e equivale a uma potência fracionária cujo numerador é a soma dos expoentes da equação original e cujo denominador é o número de parcelas da equação.
 

Provas

Questão presente nas seguintes provas
4006254 Ano: 2025
Disciplina: Matemática
Banca: IBED
Orgão: Pref. São João Varjota-PI
Provas:
Se  Enunciado 4494687-1 e f(x) = -x2 – x – 1, então a valor de f (− 1/ det A) é igual a 3/4
 

Provas

Questão presente nas seguintes provas
4006253 Ano: 2025
Disciplina: Matemática
Banca: IBED
Orgão: Pref. São João Varjota-PI
Provas:
Seja a matriz quadrada de ordem 3 definida por A=(aij)3×3, com elementos dados pela lei de formação aij=2i−6j. Suponha que o número total de vagas para o cargo de Assistente de Planejamento em um concurso público corresponde ao cofator C22 dessa matriz. Considerando as propriedades de determinantes e cofatores, e admitindo que a matriz A seja invertível, é correto afirmar que a quantidade de vagas ofertadas para o cargo é igual a 48.
 

Provas

Questão presente nas seguintes provas
4006252 Ano: 2025
Disciplina: Pedagogia
Banca: IBED
Orgão: Pref. São João Varjota-PI
Provas:
Segundo a LDB, um dos princípios da educação nacional é a gestão democrática do ensino público, consagrando a participação de todos os segmentos da comunidade escolar na elaboração do Projeto Político-Pedagógico, o que inclui pais, professores, alunos e funcionários. Entretanto, no caso da Educação Infantil, tal participação é facultativa, podendo o PPP ser elaborado exclusivamente pela equipe técnica e pedagógica da instituição, dada a tenra idade das crianças atendidas.
 

Provas

Questão presente nas seguintes provas