Foram encontradas 50 questões.
Uma equipe de treinamento olímpico feminino
será composta por 8 jogadoras, com exigência de que
a média aritmética simples das idades seja exatamente
17 anos. Já estão definidas as idades de 7 jogadoras,
conforme a distribuição abaixo:
• 2 jogadoras com 16 anos • 2 jogadoras com 17 anos • 2 jogadoras com 18 anos • 1 jogadora com 15 anos
É correto afirmar que, para atender ao critério da média, a oitava jogadora deverá ter 22 anos, pois a média aritmética, nesse caso, é sensível à presença de outliers e, como a distribuição atual possui uma leve assimetria negativa, a compensação por excesso deve ocorrer no extremo superior da amostra, conforme determina o princípio de equilíbrio centrado da média ponderada.
• 2 jogadoras com 16 anos • 2 jogadoras com 17 anos • 2 jogadoras com 18 anos • 1 jogadora com 15 anos
É correto afirmar que, para atender ao critério da média, a oitava jogadora deverá ter 22 anos, pois a média aritmética, nesse caso, é sensível à presença de outliers e, como a distribuição atual possui uma leve assimetria negativa, a compensação por excesso deve ocorrer no extremo superior da amostra, conforme determina o princípio de equilíbrio centrado da média ponderada.
Provas
Questão presente nas seguintes provas
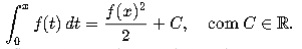
Seja f:R→R uma função contínua e diferenciável
tal que, para todo x ∈ R, verifica-se a equação
funcional:
Afirma-se que todas as soluções dessa equação são dadas exclusivamente por funções da forma:

Afirma-se que todas as soluções dessa equação são dadas exclusivamente por funções da forma:
Provas
Questão presente nas seguintes provas
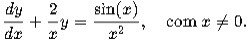
Considere a equação diferencial:
É correto afirmar que sua solução geral pode ser expressa por:
uma vez que o fator integrante
torna a
equação diretamente integrável, e a primitiva de sin
(x) é – cos (x) o que justifica a forma apresentada da
solução.
É correto afirmar que sua solução geral pode ser expressa por:
Provas
Questão presente nas seguintes provas
Durante uma expedição científica em campo,
registrou-se que em determinados dias houve
ocorrência de chuva exclusivamente no turno da
manhã ou da tarde, nunca durante o dia inteiro. Ao
final da viagem, observou-se que houve 5 chuvas, e
que ocorreram 6 manhãs sem chuva e 3 tardes sem
chuva. Com base nesses dados, é correto afirmar que
a viagem durou 7 dias, pois, sendo cada dia composto
de um par (manhã, tarde), e considerando a exclusividade da ocorrência das chuvas por turno,
basta calcular o número total de pares (dias) cuja
soma de manhãs e tardes completas seja compatível
com as 5 ocorrências de chuva registradas.
Provas
Questão presente nas seguintes provas
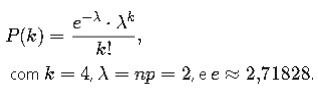
Em uma determinada comunidade, sabe-se que a
probabilidade de um indivíduo contrair uma doença
rara é de 1 em cada 1.000 pessoas. Supondo que os
casos sejam independentes entre si e a população total
da comunidade seja de 2.000 pessoas, é correto
afirmar que a probabilidade aproximada de
exatamente 4 pessoas contraírem a doença é de
aproximadamente 0,1800, pois, neste caso, admite-se
a aproximação da distribuição binomial por uma
distribuição de Poisson de parâmetro λ=2, sendo a
fórmula geral:


Provas
Questão presente nas seguintes provas
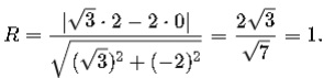
Considere a reta
tangente a
uma circunferência de centro P= (2) e seja R o raio da
circunferência. Sabendo que uma reta tangente a uma
circunferência possui distância igual ao raio entre seu
ponto mais próximo e o centro da circunferência, é
correto afirmar que o raio R é igual a 1, pois a equação
geral da reta permite a aplicação direta da fórmula da
distância ponto-reta:
e, ao reescrever a equação da reta em sua forma geral, obtém-se √3x – 2y = 0, de modo que, aplicando o centro P = (2,0) na fórmula, resulta:

e, ao reescrever a equação da reta em sua forma geral, obtém-se √3x – 2y = 0, de modo que, aplicando o centro P = (2,0) na fórmula, resulta:

Provas
Questão presente nas seguintes provas
A integral imprópria ∫1∞ 1/xp dx diverge para todo
valor real de p ≥ 1, incluindo o caso, p = 1, cuja
integral resulta em ∞; já para p > 1, a integral
converge pois o decaimento da função x
−p
são suficientemente rápido para gerar uma área limitada
no intervalo impróprio.
Provas
Questão presente nas seguintes provas
Considere um processo autorregressivo de
primeira ordem, AR (1), definido por:
Zt=−3+ϕZt−1+αt, t=1,2,…, onde αt é um ruído branco
com média zero e variância σ
2
α
= 16. Sabendo que a
variância de Zt no estado estacionário é σ2/z = 25, e que
a função de autocorrelação do processo apresenta
decaimento exponencial com alternância de sinais
entre lags sucessivos, é correto afirmar que o
coeficiente autorregressivo ϕ é igual a – 0,6, pois, em
modelos AR(1), a oscilação alternada da função de
autocorrelação indica negatividade de ϕ, enquanto sua
magnitude pode ser obtida pela equação de variância:
Provas
Questão presente nas seguintes provas
Em uma pesquisa sobre o consumo de três
produtos — A, B e C — foram entrevistadas pessoas
de uma comunidade, com os seguintes resultados
percentuais:
• 68% consomem o produto A; • 56% consomem o produto B; • 66% consomem o produto C; • 15% não consomem nenhum dos três produtos.
Sabendo que a soma dos percentuais individuais pode superar 100% devido às interseções entre os conjuntos, é correto afirmar que a porcentagem mínima de entrevistados que consomem simultaneamente A, B e C é igual a 10%, pois ao aplicar o Princípio da Inclusão e Exclusão para três conjuntos e assumir a sobreposição máxima possível, o valor mínimo da interseção tripla corresponde ao excesso total da soma dos percentuais, subtraído do complemento dos que não consomem nenhum produto.
• 68% consomem o produto A; • 56% consomem o produto B; • 66% consomem o produto C; • 15% não consomem nenhum dos três produtos.
Sabendo que a soma dos percentuais individuais pode superar 100% devido às interseções entre os conjuntos, é correto afirmar que a porcentagem mínima de entrevistados que consomem simultaneamente A, B e C é igual a 10%, pois ao aplicar o Princípio da Inclusão e Exclusão para três conjuntos e assumir a sobreposição máxima possível, o valor mínimo da interseção tripla corresponde ao excesso total da soma dos percentuais, subtraído do complemento dos que não consomem nenhum produto.
Provas
Questão presente nas seguintes provas
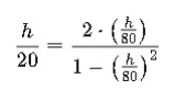
Durante uma aula de geometria aplicada, um
professor propôs aos alunos a análise de uma situação
real com base em funções trigonométricas. Um
estudante observa o topo de um edifício a partir de um
ponto situado a 20 metros de sua base, percebendo-o
sob um ângulo de elevação θ. Ao deslocar-se, em
linha reta, 60 metros para trás na mesma direção,
passa a enxergar o topo sob um ângulo de elevação θ/2 considerando a modelagem da situação com base na
função tangente e a aplicação correta das identidades
de ângulo duplo, é correto afirmar que a altura do
edifício corresponde a 40√2 metros, valor obtido por
meio da solução de uma equação transcendente do
tipo:


Provas
Questão presente nas seguintes provas
Cadernos
Caderno Container