Foram encontradas 588 questões.
Provas
Provas
No ciclo da água, quando ela alcança uma determinada altitude, passa do estado de vapor para o líquido, essa mudança no estado físico da água é denominada de:
Provas
Disciplina: Astronomia
Banca: Funatec
Orgão: Pref. Santo Amaro Maranhão-MA
Assinale a assertiva que apresenta de forma correta o maior planeta do sistema solar.
Provas
Na história econômica do Brasil, houve períodos de prosperidade e dificuldades. Após enfrentar uma longa crise financeira, o país implementou o Plano Real, que continua em vigor e exerce influência na economia nacional até os dias atuais. Nesse contexto, assinale a assertiva que apresenta corretamente o ano em que o plano real entrou em vigor.
Provas
Assinale a assertiva que apresenta umas das utilidades da cartografia.
Provas
No século XVII, os ingleses optaram por estender sua presença na América do Norte após a partida dos espanhóis, que reivindicavam a terra de acordo com o Tratado de Tordesilhas. Para estabelecer suas colônias na América, a Inglaterra concebeu:
Provas
Levando em consideração a expansão marítima e colonização da América, sabe-se que a conquista de Ceuta (Marrocos) marcou o início da expansão portuguesa, em:
Provas
Disciplina: Matemática
Banca: Funatec
Orgão: Pref. Santo Amaro Maranhão-MA
Sabe-se que o número n2 possui como resultado 2025. Sendo assim, assinale a assertiva que apresenta corretamente a raiz quadrada do quíntuplo de n.
Provas
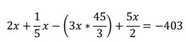
Disciplina: Matemática
Banca: Funatec
Orgão: Pref. Santo Amaro Maranhão-MA
Observe a seguinte expressão matemática e assinale a assertiva que apresenta corretamente o valor de X.

Provas
Caderno Container