Foram encontradas 337 questões.
- Gramática - Língua InglesaVerbos | VerbsPresente progressivo | Present continuous
- Gramática - Língua InglesaPreposições | Prepositions
News trom China
Outcry as Chinese school makes iPads compulsory
Apple produets are incredibly popular in China, but not everyone can afford them A school in northern China has been criticised for enforcing iPad learning as part of its new curriculum, it's reported.
According to China Economic Daily, the Danfeng High School in Shaanxi province recently issued a notice saying that, “as part of a teaching requirement, students are required to bring their own iPad” when they start the new school year in September. Stafftold the paper that using an iPad would “improve classroom efficiency”, and that the school would manage an internet firewall, so that parents would not have to worry about students using the device for other means.
However, China Economic Daily says that after criticism from parents, who felt that it would be an “unnecessary financial burden”, headmaster Yao Hushan said that having an iPad was no longer a mandatory requirement. Mr Yao added that children who don't have a device could still enrol, but that he recommended students bring an iPad as part of a “process of promoting the digital classroom”.
The incident led to lively discussion on the Sina Weibo social media platform. “Those parents that can't afford one will have to sell a kidney!” one user quipped.
Others expressed concerns about the health implications of long-term electronic device use. “I worry about their Vision,” one user said, and another said they would all become “short-sighted and have to wear glasses.”
But others felt that it was a good move in line with new modem ways of teaching. “They are affordable for the average family,” one said, “they don't necessarily need to buy the latest model.”
Reporting by KerryAllen
Taken from: www.bbc.com/news/blogs-news-from-elsewhere
Choose the option that completes the sentence below correctly.
The parents would like:
Provas
- Gramática - Língua InglesaSubstantivos e compostos | Nouns and compoundsPlural dos substantivos | Plural of nouns
Read the text below and answer the question that follow:
Text 1 - News from Japan
Japanese tsunami dog and owner reunited
A dog that was rescued after spending three weeks floating at sea after a huge earthquake and tsunami has been reunited with its owner, who recognized the dog when she saw a TV news report on the rescue on Friday.
The dog was found by a Japan Coast Guard crew on a roof drifting some 1.8km off the coast of one of the worst-hit areas along Japan's north-east coast. The roof that the dog was found on is believed to have broken off the house and been washed out to sea by the retreating waters of the devastating tsunami.
The two-year-old dog called Ban had an emotional reunion with its owner at an animal care center where it had been taken to be looked after. Local media reported that Ban immediately jumped up and was very excited when the owner appeared. “We'll never let go of her,” said the owner, who wished to remain anonymous.
Taken from: https://www.usingenglish.com/comprehension/
The Japanese care center looks after dogs and cats.
Choose the alternative in which all the nouns are written correctly in the plural.
Provas
News trom China
Outcry as Chinese school makes iPads compulsory
Apple produets are incredibly popular in China, but not everyone can afford them A school in northern China has been criticised for enforcing iPad learning as part of its new curriculum, it's reported.
According to China Economic Daily, the Danfeng High School in Shaanxi province recently issued a notice saying that, “as part of a teaching requirement, students are required to bring their own iPad” when they start the new school year in September. Stafftold the paper that using an iPad would “improve classroom efficiency”, and that the school would manage an internet firewall, so that parents would not have to worry about students using the device for other means.
However, China Economic Daily says that after criticism from parents, who felt that it would be an “unnecessary financial burden”, headmaster Yao Hushan said that having an iPad was no longer a mandatory requirement. Mr Yao added that children who don't have a device could still enrol, but that he recommended students bring an iPad as part of a “process of promoting the digital classroom”.
The incident led to lively discussion on the Sina Weibo social media platform. “Those parents that can't afford one will have to sell a kidney!” one user quipped.
Others expressed concerns about the health implications of long-term electronic device use. “I worry about their Vision,” one user said, and another said they would all become “short-sighted and have to wear glasses.”
But others felt that it was a good move in line with new modem ways of teaching. “They are affordable for the average family,” one said, “they don't necessarily need to buy the latest model.”
Reporting by KerryAllen
Taken from: www.bbc.com/news/blogs-news-from-elsewhere
Provas
News trom China
Outcry as Chinese school makes iPads compulsory
Apple produets are incredibly popular in China, but not everyone can afford them A school in northern China has been criticised for enforcing iPad learning as part of its new curriculum, it's reported.
According to China Economic Daily, the Danfeng High School in Shaanxi province recently issued a notice saying that, “as part of a teaching requirement, students are required to bring their own iPad” when they start the new school year in September. Stafftold the paper that using an iPad would “improve classroom efficiency”, and that the school would manage an internet firewall, so that parents would not have to worry about students using the device for other means.
However, China Economic Daily says that after criticism from parents, who felt that it would be an “unnecessary financial burden”, headmaster Yao Hushan said that having an iPad was no longer a mandatory requirement. Mr Yao added that children who don't have a device could still enrol, but that he recommended students bring an iPad as part of a “process of promoting the digital classroom”.
The incident led to lively discussion on the Sina Weibo social media platform. “Those parents that can't afford one will have to sell a kidney!” one user quipped.
Others expressed concerns about the health implications of long-term electronic device use. “I worry about their Vision,” one user said, and another said they would all become “short-sighted and have to wear glasses.”
But others felt that it was a good move in line with new modem ways of teaching. “They are affordable for the average family,” one said, “they don't necessarily need to buy the latest model.”
Reporting by KerryAllen
Taken from: www.bbc.com/news/blogs-news-from-elsewhere
Provas
Provas
De acordo com a tabela, o valor total economizado por ela foi:
Provas
Uma rede de supermercados fez a seguinte promoção para o Natal:

Vitor comprou uma dúzia de refrigerantes da promoção, o maior valor economizado por ele, em relação ao preço normal, foi:
Provas
Dessa forma, a quantidade de nutriente 3 que estão presentes em um quilograma da porção é de
Provas
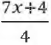
Considere as funções f(x - 4) =
e g{3x + 1) =
6x + 5, definidas de
. Dessa forma, pode-se
afirmar que g (f(f(x ))) é igual a:
Provas
Na figura a seguir, tem-se um triângulo isósceles PQR de perímetro 2x{1+ √2), na qual
=x√2. Sabe-se também que R é o ponto de intersecção de PQR com o eixo t.

Mantendo-se
paralelo ao eixo t e R e t, na
rotação completa (360°) desse triângulo, em torno
do eixo t, obtem-se um sólido de volume
congruente ao volume de um(a):
Provas
Caderno Container