Foram encontradas 337 questões.
Dessa forma, o volume deste cone, em cm³, é
Provas
O departamento de comunicação e marketing dessa empresa projetou um chaveiro em 3 dimensões para o brinde de Natal, mas o valor gasto seria diretamente proporcional à área da superfície, que receberia uma fina camada de tinta amarela brilhosa. Se a tinta custa R$ 0,04 o cm², calcule o gasto total com brindes, na confecção de 120 chaveiros. Considere a aresta dos cubos de medida 1,5 cm.
Provas
Uma escola organiza em uma planilha, os gastos com os salários dos funcionários de alguns segmentos.

Em abril, houve um reajuste salarial para esses funcionários, que receberam um aumento de 10% sobre os salários da tabela. Se com esse aumento, a média salarial passou para R$ 1650,00, calcule o valor, em reais, do novo salário do Diretor da escola.
Provas
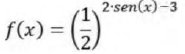
Considere uma função f , de domínio real, dada pela relação:

Dessa forma, calcule o máximo valor assumido pela imagem de f.
Provas
Calcule o valor do determinante.

Provas
João desejava fazer o desenho de uma
circunferência, cujo centro C é ponto do 2² quadrante
do Plano Cartesiano. Esta circunferência também
deverá ser tangente ao eixo das ordenadas e possuir
obrigatoriamente 2 pontos de intersecção (A e B)
com o eixo das abscissas, sendo
= 6 cm. Ao
iniciar o seu esboço percebeu que o centro C desta
circunferência poderia estar em inúmeros lugares
distintos deste Plano.
Desta forma, pode-se afirmar que o lugar geométrico de todos os pontos, onde C poderia estar localizado é uma:
Provas
Sabe-se que A é uma matriz quadrada e de ordem 3, dada por
. B é uma matriz coluna de elementos,
Se A.B=C, pode-se afirmar que a matriz B existe apenas se:
Provas
Considere duas funções representadas no Plano Cartesiano, na qual f é a função crescente e g é a função decrescente, ambas do tipo afim e de domínio Real.

Neste caso, pode-se afirmar que o conjunto solução
de
≥ o está corretamente representado pelo intervalo:
Provas
Apenas um desses alunos será escolhido aleatoriamente pelo sistema para representar formalmente o grupo de calouros deste curso. Neste caso, a probabilidade deste aluno ter 20 ou 21 anos é de
Provas
Provas
Caderno Container