Foram encontradas 337 questões.
Provas
Considere os conjuntos
,
e
então o conjunto (B∪C)-A é dado por:
Provas
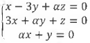
Considere o sistema linear abaixo, tal que α e ℝ.

O único valor tal que torna o sistema possível e determinado pertence ao intervalo:
Provas
Uma pessoa contratou um empréstimo de R$ 25000,00, à taxa de 3% a.m. O pagamento se dará em duas parcelas iguais, uma depois de 60 dias e a segunda após 90 dias da contratação.
Dessa forma, pode-se concluir que o valor de cada parcela será de aproximadamente igual a:
Provas
Texto para responder à questão.
Barbara
Tinha um medo terrível do mundo lá fora. Meu quarto era o único lugar seguro do mundo - e ainda assim não punha minha mão no fogo quanto ao interior dos armários. Dormir na casa de um amigo, para mim, equivalia a conhecer a Coréia do Norte. Acordava no meio da noite aos prantos e ligava pros meus pais virem me buscar. Durante anos tive pesadelos por causa da capa de um VHS de terror - sim, só vi a capa. Me afastei de um amigo por causa de um adesivo que ele tinha no caderno -um a caveira sangrando. Não podia ver esse amigo que o adesivo me vinha à mente e eu começava a tremer e chorar. Sim, eu tinha problemas sérios. E não vou dizer quantos anos eu tinha. Só vou dizer que era uma idade em que tudo isso já era bastante constrangedor.
Minha irmã Barbara tinha três anos de idade quando chegou em casa da escola e começou a fazer as malas. "Aonde você pensa que vai?" - minha mãe perguntou. "Vou passar o fim de semana com o Yannick na praça seca". Minha mãe, que nunca tinha ouvido falar no Yannick ou na praça seca, achou que a filha estivesse delirando até que, poucas horas depois, o próprio Yannick, um rapaz mais velho, de quatro anos de idade, toca a campainha, acompanhado dos pais: "Vim buscar a Barbara, a gente combinou de ir à Praça Seca". Lembro de observar a picape indo embora com minha irmã na caçamba como quem se despede para sempre. "O mundo lá fora vai te trucidar!" eu dizia com os olhos, "Ainda dá tempo de desistir!", mas ela nem sequer olhava pra trás. Apostei com a minha mãe: "Não dou meia hora pra ela ligar chorando". Barbara não ligou em meia hora, nem em 24, nem em 48. Só reapareceu no domingo, com a mochila cheia de goiabas que ela mesma tinha catado. Alguns arranhões, nada mais. Se hoje não tenho muito medo de sair de casa - só tenho um pouco - é porque vi a Barbara sobrevivendo.
Aos 17 anos, Barbara foi morar sozinha em outro continente. Achei que ela fosse ligar chorando na primeira noite. Não ligou. Aos 28, já se formou, escreveu peça, foi à China, fala cinco línguas e acorda às sete pra correr na praia com o namorado.
Nesse sábado, os dois vão se casar. Isso, casar. Tentei explicar que casar hoje em dia é tão obsoleto quanto abrir uma vídeo locadora. "Barbara, você sabe o que te espera? Você sabia que todo casamento acaba em divórcio ou em morte? Ainda dá tempo de desistir." Na caçamba da picape, ela não olha pra trás. Minha irmã mais nova me ensina diariamente a não ter medo do mundo.
DUVIVIER, Gregório. Barbara. Folha de S. Paulo, Folhapress, 27 jun. 2016.Disponível em http://www1.folha.uol.com.br./colunas/ gregorioduvivier/2016/06/1785988-barbara.shtml
Provas
I. Refere-se ao processo de apropriação do Sistema de Escrita Alfabética.
II. Relaciona-se à compreensão dos princípios alfabético e ortográfico que permitem o aluno a ler e escrever com autonomia.
III. Diz respeito à incorporação das práticas de leitura e escrita e ao desenvolvimento das competências necessárias para usar a leitura e a escrita no cotidiano.
IV. Faz-se pelo domínio de uma técnica: grafar e reconhecer letras, usar o papel, entender a direcionalidade da escrita, pegar no lápis, codificar, estabelecer relações entre sons e letras, de fonemas e grafemas; a criança perceber unidades menores que compõem o sistema de escrita (palavras, sílabas, letras), entre outros.
Está correto apenas o que se afirma em:
Provas
A formação de educadores e professores assenta nos seguintes princípios:
1. formação que, em referência à realidade social, estimule uma atitude simultaneamente crítica e atuante.
2. formação que favoreça e estimule a inovação e a investigação, nomeadamente em relação com a atividade educativa.
3. formação participada que conduza a prática reflexiva e continuada de informação e aprendizagem acadêmicas.
4. aquisição de competências relativas à especialização exigida pela diferenciação e permanência do sistema educativo.
Está correto apenas o que se indica em:
Provas
Caderno Container