Magna Concursos

Foram encontradas 310 questões.

1047025 Ano: 2012
Disciplina: Matemática
Banca: ENERGIAESSENCIAL
Orgão: Pref. Julio Castilhos-RS
Provas:

O valor de 5! - 1! é:

 

Provas

Questão presente nas seguintes provas
1047024 Ano: 2012
Disciplina: Matemática
Banca: ENERGIAESSENCIAL
Orgão: Pref. Julio Castilhos-RS
Provas:

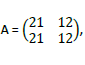
Seja a matrizEnunciado 2511549-1 o determinante de A vale:

 

Provas

Questão presente nas seguintes provas
1047022 Ano: 2012
Disciplina: Matemática
Banca: ENERGIAESSENCIAL
Orgão: Pref. Julio Castilhos-RS
Provas:

Uma estrada de 72 km foi asfaltada por 3 equipes, A, B e C, cada uma delas atuando, respectivamente, em um trecho proporcional a 1, 2 e 3. O trecho da estrada que coube a equipe C foi de:

 

Provas

Questão presente nas seguintes provas
1047021 Ano: 2012
Disciplina: Matemática
Banca: ENERGIAESSENCIAL
Orgão: Pref. Julio Castilhos-RS
Provas:

A razão entre duas grandezas é 12/60. A representação percentual dessa razão é:

 

Provas

Questão presente nas seguintes provas
1047018 Ano: 2012
Disciplina: Pedagogia
Banca: ENERGIAESSENCIAL
Orgão: Pref. Julio Castilhos-RS

Conforme o Art. 68 da Lei nº 9.394 de 20 de dezembro de 1996, serão recursos públicos destinados à educação os originários de:

I - receita de impostos próprios da União, dos Estados, do Distrito Federal e dos Municípios;

II - receita de transferências inconstitucionais;

III - receita de incentivos fiscais.

Quais as informações acima estão corretas?

 

Provas

Questão presente nas seguintes provas
1047017 Ano: 2012
Disciplina: Pedagogia
Banca: ENERGIAESSENCIAL
Orgão: Pref. Julio Castilhos-RS

Conforme o Decreto nº 72.846 de 1973 em seu Art. 2º, o exercício da profissão de Orientador Educacional é privativo:

I – Dos licenciados em pedagogia, habilitados em orientação educacional, possuidores de diplomas expedidos por estabelecimentos de ensino superior oficiais ou reconhecidos.

II – Dos portadores de diplomas ou certificados de orientador educacional obtidos em cursos de pós-graduação, ministrados por estabelecimentos oficiais ou reconhecidos, devidamente credenciados pelo Conselho Federal de Educação.

III – Dos diplomados em orientação educacional por escolas estrangeiras, cujos títulos sejam revalidados na forma da legislação em vigor.

Quais afirmativas acima estão corretas?

 

Provas

Questão presente nas seguintes provas
1047016 Ano: 2012
Disciplina: Medicina
Banca: ENERGIAESSENCIAL
Orgão: Pref. Julio Castilhos-RS

Segundo a Resolução CFM Nº 1931 de 2009, todas as alternativas citadas abaixo correspondem ao que é direito do médico, exceto:

 

Provas

Questão presente nas seguintes provas
1047015 Ano: 2012
Disciplina: Ética e Regulação Profissional
Banca: ENERGIAESSENCIAL
Orgão: Pref. Julio Castilhos-RS
Provas:

Conforme o Art. 2º da Lei Federal nº 6.316 de 1975, o Conselho Federal de Fisioterapia compor-se-á de efetivos e suplentes, respectivamente, eleitos pela forma estabelecida nesta Lei. Assinale a alternativa que preenche corretamente a lacuna acima:

 

Provas

Questão presente nas seguintes provas
1047013 Ano: 2012
Disciplina: Direito Ambiental
Banca: ENERGIAESSENCIAL
Orgão: Pref. Julio Castilhos-RS
Provas:

De acordo com a Resolução CONAMA nº 12, de 04 de maio de 1994, o conceito de “estrato” está presente na alternativa:

 

Provas

Questão presente nas seguintes provas
1047012 Ano: 2012
Disciplina: Direito Ambiental
Banca: ENERGIAESSENCIAL
Orgão: Pref. Julio Castilhos-RS
Provas:

Segundo o Art. 3º da Resolução CONAMA nº 303/2002, constitui Área de Preservação Permanente a área situada:

I – ao redor de nascente ou olho d’água, ainda que intermitente, com raio mínimo de oitenta metros de tal forma que proteja, em cada caso, a bacia hidrográfica contribuinte;

II – em vereda e em faixa marginal, em projeção horizontal, com largura mínima de oitenta metros, a partir do limite do espaço brejoso e encharcado;

III – no topo de morros e montanhas, em áreas delimitadas a partir da curva de nível correspondente a dois terços da altura mínima da elevação em relação a base.

Quais afirmativas acima estão corretas?

 

Provas

Questão presente nas seguintes provas