Magna Concursos

Foram encontradas 135 questões.

2757485 Ano: 2023
Disciplina: Legislação Municipal
Banca: FCM
Orgão: Pref. Contagem-MG
Provas:
Considere o artigo 71-A, do código tributário do Município de Contagem.
Art. 71-A “O Imposto sobre a Transmissão de Bens Imóveis e de Direitos a eles relativos por Ato Oneroso ‘Inter Vivos’ – ITBI tem como fato gerador:
I - a transmissão onerosa, a qualquer título, da propriedade ou domínio útil de bens imóveis, por natureza ou acessão física, situados no território do Município;
II - a transmissão onerosa, a qualquer título, de direitos reais, exceto os de garantia, sobre imóveis situados no território do Município;
III - a cessão onerosa de direitos relativos à aquisição dos bens referidos nos incisos anteriores.”
Avalie as afirmações a seguir.
I - O ITBI não incide sobre vendas condicionais, as quais são abrangidas pelo ITCD, por expressa determinação legal.
II - O ITBI incide sobre a permuta de bens imóveis e de direitos a eles relativos, figurando como contribuintes cada um dos permutantes.
III - Os escrivães, tabeliães, oficiais de notas de registro de imóveis e de registro de títulos e documentos ficam obrigados a fornecer, quando solicitados, certidões de atos que forem lavrados, transcritos, averbados ou inscritos.


É correto apenas o que se afirma em
 

Provas

Questão presente nas seguintes provas
2757484 Ano: 2023
Disciplina: Legislação Municipal
Banca: FCM
Orgão: Pref. Contagem-MG
Provas:
O Imposto sobre a Propriedade Predial e Territorial Urbana (IPTU) é um importante imposto em termos de arrecadação municipal, tem como fato gerador a propriedade, o domínio útil ou a posse de bem imóvel por natureza ou por acessão física, como definido na lei civil, construído ou não, localizado na zona urbana do Município.
Sobre o IPTU é correto afirmar que
 

Provas

Questão presente nas seguintes provas
2757483 Ano: 2023
Disciplina: Legislação Municipal
Banca: FCM
Orgão: Pref. Contagem-MG
Provas:
Sobre o Código Tributário do Município de Contagem está correto o que se afirma em
 

Provas

Questão presente nas seguintes provas
2757482 Ano: 2023
Disciplina: Matemática
Banca: FCM
Orgão: Pref. Contagem-MG
Provas:
De um pedaço quadrado de uma lâmina de metal será cortado um pedaço circular de área máxima e deste será cortado um quadrado HJKL também de área máxima, conforme ilustra a figura.
Enunciado 3175767-1

O quadrado HJKL será usado para um determinado revestimento e os demais pedaços serão descartados. Nesse sentido, é correto afirmar que a área total do metal descartado corresponde a
 

Provas

Questão presente nas seguintes provas
2757481 Ano: 2023
Disciplina: Matemática
Banca: FCM
Orgão: Pref. Contagem-MG
Provas:
Uma pessoa comprou uma mercadoria no valor de R$ 1.600,00 em um site de compras. Ao selecionar a forma de pagamento escolheu a opção de duas prestações (com vencimento em 30 e 60 dias, a contar da data da compra), a uma taxa mensal de juros de 9%.
Sabendo-se que o valor da primeira prestação foi de R$ 872,00, esta pessoa pagará na segunda prestação o valor de R$
 

Provas

Questão presente nas seguintes provas
2757480 Ano: 2023
Disciplina: Matemática
Banca: FCM
Orgão: Pref. Contagem-MG
Provas:
Considere que, em uma pesquisa eleitoral, a margem de erro seja inversamente proporcional à raiz quadrada do tamanho da amostra da população em estudo.
Assim, supondo que a margem de erro seja de 3% quando são entrevistados 1 600 eleitores, para que a margem de erro seja de 2% a quantidade de eleitores entrevistados deve ser igual a
 

Provas

Questão presente nas seguintes provas
2757479 Ano: 2023
Disciplina: Matemática
Banca: FCM
Orgão: Pref. Contagem-MG
Provas:

Observe a figura a seguir.

Enunciado 3175762-1

A figura representa um sistema de caminhos, onde uma bola é solta no ponto A e desce até uma das saídas B, C, D ou E. Em cada bifurcação a bola desce em qualquer um dos lados, com igual probabilidade para cada um.

Assim, a probabilidade da bola finalizar o trajeto percorrido no ponto C é

 

Provas

Questão presente nas seguintes provas
2757478 Ano: 2023
Disciplina: Matemática
Banca: FCM
Orgão: Pref. Contagem-MG
Provas:
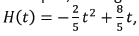
Uma criança chuta, a partir do chão, em uma superfície plana, uma bola cuja trajetória H é descrita em função do tempo t, em segundos, pelo gráfico da função real Enunciado 3175754-1 sendo H(t) medida em metros.
Nessas condições, é correto afirmar que
 

Provas

Questão presente nas seguintes provas
2757477 Ano: 2023
Disciplina: Matemática
Banca: FCM
Orgão: Pref. Contagem-MG
Provas:
Um líquido foi colocado em um funil com o formato de um cone circular reto e altura igual a 16 cm, ocupando 1/8 do volume desse funil. O líquido deverá ser todo escoado para um cilindro, cujo raio da base é igual a um terço do raio da base do funil. Analise as afirmações a seguir.
I - O volume desse cilindro será 1/3 do volume desse funil, independente da altura de cada um deles.
II - Se a altura do cilindro for menor que 6 cm, o líquido transbordará.
III - Para que o cilindro e o funil tenham o mesmo volume, a altura do cilindro deve ser 1/9 da altura do funil.

Está correto apenas o que se afirma em
 

Provas

Questão presente nas seguintes provas
2757476 Ano: 2023
Disciplina: Matemática
Banca: FCM
Orgão: Pref. Contagem-MG
Provas:
Uma função real f é tal que f(x+f(x) )=f(x)-x+3, para todo real x.
Sabendo-se que f(0)=1, é correto afirmar que o valor de f(5) é igual a
 

Provas

Questão presente nas seguintes provas