Foram encontradas 135 questões.
Uma pessoa precisa produzir três tipos distintos de
esmaltes nas cores amarelo, azul e verde com volumes de 300 ml, 400 ml e 600 ml, respectivamente.
Para cada ml de esmalte produzido são necessárias
adições de minerais, em gramas, nas seguintes quantidades: 
O valor de um grama de cada um dos minerais A, B e C é de R$ 0,02; R$ 0,01 e R$ 0,06, respectivamente.
Para comprar a quantidade exata dos minerais A, B e C para a fabricação dos esmaltes nas três cores serão gastos R$

O valor de um grama de cada um dos minerais A, B e C é de R$ 0,02; R$ 0,01 e R$ 0,06, respectivamente.
Para comprar a quantidade exata dos minerais A, B e C para a fabricação dos esmaltes nas três cores serão gastos R$
Provas
Questão presente nas seguintes provas
Uma pessoa adquiriu um veículo financiando 100%
do seu valor e pagou o financiamento em "n" prestações mensais e iguais.
Sabendo-se que a sequência formada pelo valor atual, ou seja, o valor de cada prestação sem o respectivo juro correspondente, ordenada pela respectiva data de vencimento, é uma progressão geométrica cuja razão é igual a 0,9723, a taxa mensal de juros deste financiamento é um valor mais próximo de
Sabendo-se que a sequência formada pelo valor atual, ou seja, o valor de cada prestação sem o respectivo juro correspondente, ordenada pela respectiva data de vencimento, é uma progressão geométrica cuja razão é igual a 0,9723, a taxa mensal de juros deste financiamento é um valor mais próximo de
Provas
Questão presente nas seguintes provas
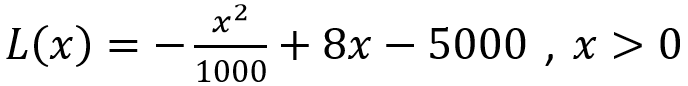
Uma função lucro L(x) está relacionada com o lucro obtido com a venda de um determinado produto e é dada
pela diferença entre a função receita e a função custo.
O lucro marginal, por sua vez, é a função que avalia o efeito causado em L(x) por uma pequena variação de x e é determinada pela derivada da função L(x).
Seja
uma
função que descreve o lucro, em reais, obtido com a
venda de x unidades de um determinado produto.
Nessas condições, é correto afirmar que o
O lucro marginal, por sua vez, é a função que avalia o efeito causado em L(x) por uma pequena variação de x e é determinada pela derivada da função L(x).
Seja
uma
função que descreve o lucro, em reais, obtido com a
venda de x unidades de um determinado produto. Nessas condições, é correto afirmar que o
Provas
Questão presente nas seguintes provas
Cantiga para não Morrer
Quando você for embora,
moça branca como a neve,
me leve.
Se acaso você não possa
me carregar pela mão,
menina branca de neve,
me leve no coração.
Se no coração não possa
por acaso me levar,
moça de sonho e de neve,
me leve no seu lembrar.
E se aí também não possa
por tanta coisa que leve
já viva em seu pensamento,
menina branca de neve,
me leve no esquecimento.
GULLAR, Ferreira. Obra poética. Vila Nova de Famalicão: Quasi, 2003. p.
248.
Provas
Questão presente nas seguintes provas
Cantiga para não Morrer
Quando você for embora,
moça branca como a neve,
me leve.
Se acaso você não possa
me carregar pela mão,
menina branca de neve,
me leve no coração.
Se no coração não possa
por acaso me levar,
moça de sonho e de neve,
me leve no seu lembrar.
E se aí também não possa
por tanta coisa que leve
já viva em seu pensamento,
menina branca de neve,
me leve no esquecimento.
GULLAR, Ferreira. Obra poética. Vila Nova de Famalicão: Quasi, 2003. p.
248.
Provas
Questão presente nas seguintes provas
As utilíssimas coisas inúteis
Marina Colasanti, quinta-feira, 16 de janeiro de 2020
Fui a uma liquidação de fim de ano porque precisava
trocar uma roupa que havia ganho. E fiquei pasma
com a quantidade de peças que cada um levava. Na
demora da fila, as pessoas esticavam o braço para colher de arara ou prateleira uma bolsa, um cinto ou
uma camiseta não vistos antes e acabavam ficando
com ela. Tudo, mais que propriamente despertar desejo, era visto como um bom negócio. Afinal, os preços estavam em conta.
E ali mesmo me perguntei se aquela gente toda tiraria do armário o correspondente ao que estava levando, ou se apenas apertaria os cabides.
Compro muito pouco, mas tenho grande dificuldade
para jogar fora. Acumulo. E embora tendo isenção
profissional para acumular livros e papéis, não a tenho para o resto.
Calcula-se que um europeu ou americano possua em
média 10 mil objetos. Para discutir consumismo e gênero no “The Pink and Blue Project”, a sul-coreana
Jeongmee Yoon fotografou durante 10 anos crianças
e adolescentes no seu quarto, com todos os seus objetos expostos. As fotos são surpreendentes, cada
quarto parecendo um mercado.
Até hoje não consegui jogar fora a cama da minha
cachorrinha que há três anos morreu, me parece ingratidão, depois de tanto amor que ela me deu. Nem
consegui me desfazer dos tecidos para quimono que
comprei no Japão e nunca fiz, ou da camisa de seda
que comprei na Índia e já não uso. Se uma calça fica
larga, penso que posso voltar a engordar, se uma saia
fica larga, aperto. Nunca nada ficou apertado, o que
me faz crer que dificilmente engordarei. Às vezes consigo jogar fora suéteres que ficaram com “bolinhas”.
Dizem os neurocientistas que acumular é comando
do nosso cérebro, possivelmente vindo de tempos
remotíssimos em que a abundância era rara ou inexistente, e qualquer pedaço de carne, qualquer pele
de bicho, qualquer lasca de pedra era posse valiosa.
Hoje, os objetos de que nos rodeamos adquiriram
outro sentido. Um deles é fazer parte da nossa identidade. Segundo o psicólogo Daniel Kahneman sofremos mais ao perder um objeto querido do que o prazer que tivemos ao adquiri-los – podemos imaginar o
que sofreu Eike Batista ao perder a Lamborghini que,
como um sofá, ficava estacionada na sala. Outro é dizer às multidões quem somos, qual o nosso patamar
social.
É o que fazem alto e bom som as marcas. É a função
do luxo.
Não compramos só em atendimento ao nosso desejo. Compramos também olhando pelos olhos dos outros, projetando nos olhos dos outros a imagem que
teremos com nossas novas aquisições. Desse ponto
de vista, quem compra muitas peças de roupa numa
liquidação não está fazendo um bom negócio. Apesar
do bom preço, está adquirindo o que já saiu de moda,
o que se usou no ano anterior ou até mesmo no mês
anterior. E tudo o que não é de hoje, é out.
Objetos podem ser inúteis, mas se dados com afeto
temos dificuldade em nos desfazer deles. Xuxa tinha
uma casa só para guardar memorabilia, presentes dados pelos fãs. Ninguém joga fora o bordado feito pela
afilhada, o primeiro desenho do filho, a folha seca na
página do livro dada pelo noivo. Os objetos tornamse então não apenas objetos, mas testemunhos do
passado que cantam aos nossos olhos. E por isso os
guardamos.
Marie Kondo, a japonesa famosa pelo método MarieKondo de arrumação, não se orienta pela ligação
psicológica entre os humanos e seus objetos. O interesse dela é na ordem e na estética. Mas ao limpar
nossos armários e gavetas corre o risco de nos deixar
despidos.
Disponível em:<https://www.marinacolasanti.com/2020/02/expatriaram-o-gato.htmL> . Acesso em: 17 fev. 2020.
Todas as formas verbais destacadas e numeradas estão flexionadas no presente do indicativo, EXCETO
Provas
Questão presente nas seguintes provas
As utilíssimas coisas inúteis
Marina Colasanti, quinta-feira, 16 de janeiro de 2020
Fui a uma liquidação de fim de ano porque precisava
trocar uma roupa que havia ganho. E fiquei pasma
com a quantidade de peças que cada um levava. Na
demora da fila, as pessoas esticavam o braço para colher de arara ou prateleira uma bolsa, um cinto ou
uma camiseta não vistos antes e acabavam ficando
com ela. Tudo, mais que propriamente despertar desejo, era visto como um bom negócio. Afinal, os preços estavam em conta.
E ali mesmo me perguntei se aquela gente toda tiraria do armário o correspondente ao que estava levando, ou se apenas apertaria os cabides.
Compro muito pouco, mas tenho grande dificuldade
para jogar fora. Acumulo. E embora tendo isenção
profissional para acumular livros e papéis, não a tenho para o resto.
Calcula-se que um europeu ou americano possua em
média 10 mil objetos. Para discutir consumismo e gênero no “The Pink and Blue Project”, a sul-coreana
Jeongmee Yoon fotografou durante 10 anos crianças
e adolescentes no seu quarto, com todos os seus objetos expostos. As fotos são surpreendentes, cada
quarto parecendo um mercado.
Até hoje não consegui jogar fora a cama da minha
cachorrinha que há três anos morreu, me parece ingratidão, depois de tanto amor que ela me deu. Nem
consegui me desfazer dos tecidos para quimono que
comprei no Japão e nunca fiz, ou da camisa de seda
que comprei na Índia e já não uso. Se uma calça fica
larga, penso que posso voltar a engordar, se uma saia
fica larga, aperto. Nunca nada ficou apertado, o que
me faz crer que dificilmente engordarei. Às vezes consigo jogar fora suéteres que ficaram com “bolinhas”.
Dizem os neurocientistas que acumular é comando
do nosso cérebro, possivelmente vindo de tempos
remotíssimos em que a abundância era rara ou inexistente, e qualquer pedaço de carne, qualquer pele
de bicho, qualquer lasca de pedra era posse valiosa.
Hoje, os objetos de que nos rodeamos adquiriram
outro sentido. Um deles é fazer parte da nossa identidade. Segundo o psicólogo Daniel Kahneman sofremos mais ao perder um objeto querido do que o prazer que tivemos ao adquiri-los – podemos imaginar o
que sofreu Eike Batista ao perder a Lamborghini que,
como um sofá, ficava estacionada na sala. Outro é dizer às multidões quem somos, qual o nosso patamar
social.
É o que fazem alto e bom som as marcas. É a função
do luxo.
Não compramos só em atendimento ao nosso desejo. Compramos também olhando pelos olhos dos outros, projetando nos olhos dos outros a imagem que
teremos com nossas novas aquisições. Desse ponto
de vista, quem compra muitas peças de roupa numa
liquidação não está fazendo um bom negócio. Apesar
do bom preço, está adquirindo o que já saiu de moda,
o que se usou no ano anterior ou até mesmo no mês
anterior. E tudo o que não é de hoje, é out.
Objetos podem ser inúteis, mas se dados com afeto
temos dificuldade em nos desfazer deles. Xuxa tinha
uma casa só para guardar memorabilia, presentes dados pelos fãs. Ninguém joga fora o bordado feito pela
afilhada, o primeiro desenho do filho, a folha seca na
página do livro dada pelo noivo. Os objetos tornamse então não apenas objetos, mas testemunhos do
passado que cantam aos nossos olhos. E por isso os
guardamos.
Marie Kondo, a japonesa famosa pelo método MarieKondo de arrumação, não se orienta pela ligação
psicológica entre os humanos e seus objetos. O interesse dela é na ordem e na estética. Mas ao limpar
nossos armários e gavetas corre o risco de nos deixar
despidos.
Disponível em:<https://www.marinacolasanti.com/2020/02/expatriaram-o-gato.htmL> . Acesso em: 17 fev. 2020.
Nesse período, as vírgulas são utilizadas para
Provas
Questão presente nas seguintes provas
- SintaxeFrase, Oração e PeríodoOração SubordinadaSubordinadas Adverbial
- MorfologiaConjunçõesRelações de Causa e Consequência
As utilíssimas coisas inúteis
Marina Colasanti, quinta-feira, 16 de janeiro de 2020
Fui a uma liquidação de fim de ano porque precisava
trocar uma roupa que havia ganho. E fiquei pasma
com a quantidade de peças que cada um levava. Na
demora da fila, as pessoas esticavam o braço para colher de arara ou prateleira uma bolsa, um cinto ou
uma camiseta não vistos antes e acabavam ficando
com ela. Tudo, mais que propriamente despertar desejo, era visto como um bom negócio. Afinal, os preços estavam em conta.
E ali mesmo me perguntei se aquela gente toda tiraria do armário o correspondente ao que estava levando, ou se apenas apertaria os cabides.
Compro muito pouco, mas tenho grande dificuldade
para jogar fora. Acumulo. E embora tendo isenção
profissional para acumular livros e papéis, não a tenho para o resto.
Calcula-se que um europeu ou americano possua em
média 10 mil objetos. Para discutir consumismo e gênero no “The Pink and Blue Project”, a sul-coreana
Jeongmee Yoon fotografou durante 10 anos crianças
e adolescentes no seu quarto, com todos os seus objetos expostos. As fotos são surpreendentes, cada
quarto parecendo um mercado.
Até hoje não consegui jogar fora a cama da minha
cachorrinha que há três anos morreu, me parece ingratidão, depois de tanto amor que ela me deu. Nem
consegui me desfazer dos tecidos para quimono que
comprei no Japão e nunca fiz, ou da camisa de seda
que comprei na Índia e já não uso. Se uma calça fica
larga, penso que posso voltar a engordar, se uma saia
fica larga, aperto. Nunca nada ficou apertado, o que
me faz crer que dificilmente engordarei. Às vezes consigo jogar fora suéteres que ficaram com “bolinhas”.
Dizem os neurocientistas que acumular é comando
do nosso cérebro, possivelmente vindo de tempos
remotíssimos em que a abundância era rara ou inexistente, e qualquer pedaço de carne, qualquer pele
de bicho, qualquer lasca de pedra era posse valiosa.
Hoje, os objetos de que nos rodeamos adquiriram
outro sentido. Um deles é fazer parte da nossa identidade. Segundo o psicólogo Daniel Kahneman sofremos mais ao perder um objeto querido do que o prazer que tivemos ao adquiri-los – podemos imaginar o
que sofreu Eike Batista ao perder a Lamborghini que,
como um sofá, ficava estacionada na sala. Outro é dizer às multidões quem somos, qual o nosso patamar
social.
É o que fazem alto e bom som as marcas. É a função
do luxo.
Não compramos só em atendimento ao nosso desejo. Compramos também olhando pelos olhos dos outros, projetando nos olhos dos outros a imagem que
teremos com nossas novas aquisições. Desse ponto
de vista, quem compra muitas peças de roupa numa
liquidação não está fazendo um bom negócio. Apesar
do bom preço, está adquirindo o que já saiu de moda,
o que se usou no ano anterior ou até mesmo no mês
anterior. E tudo o que não é de hoje, é out.
Objetos podem ser inúteis, mas se dados com afeto
temos dificuldade em nos desfazer deles. Xuxa tinha
uma casa só para guardar memorabilia, presentes dados pelos fãs. Ninguém joga fora o bordado feito pela
afilhada, o primeiro desenho do filho, a folha seca na
página do livro dada pelo noivo. Os objetos tornamse então não apenas objetos, mas testemunhos do
passado que cantam aos nossos olhos. E por isso os
guardamos.
Marie Kondo, a japonesa famosa pelo método MarieKondo de arrumação, não se orienta pela ligação
psicológica entre os humanos e seus objetos. O interesse dela é na ordem e na estética. Mas ao limpar
nossos armários e gavetas corre o risco de nos deixar
despidos.
Disponível em:<https://www.marinacolasanti.com/2020/02/expatriaram-o-gato.htmL> . Acesso em: 17 fev. 2020.
Esse período contém uma oração subordinada adverbial introduzida por uma conjunção cujo sentido é de
Provas
Questão presente nas seguintes provas
As utilíssimas coisas inúteis
Marina Colasanti, quinta-feira, 16 de janeiro de 2020
Fui a uma liquidação de fim de ano porque precisava
trocar uma roupa que havia ganho. E fiquei pasma
com a quantidade de peças que cada um levava. Na
demora da fila, as pessoas esticavam o braço para colher de arara ou prateleira uma bolsa, um cinto ou
uma camiseta não vistos antes e acabavam ficando
com ela. Tudo, mais que propriamente despertar desejo, era visto como um bom negócio. Afinal, os preços estavam em conta.
E ali mesmo me perguntei se aquela gente toda tiraria do armário o correspondente ao que estava levando, ou se apenas apertaria os cabides.
Compro muito pouco, mas tenho grande dificuldade
para jogar fora. Acumulo. E embora tendo isenção
profissional para acumular livros e papéis, não a tenho para o resto.
Calcula-se que um europeu ou americano possua em
média 10 mil objetos. Para discutir consumismo e gênero no “The Pink and Blue Project”, a sul-coreana
Jeongmee Yoon fotografou durante 10 anos crianças
e adolescentes no seu quarto, com todos os seus objetos expostos. As fotos são surpreendentes, cada
quarto parecendo um mercado.
Até hoje não consegui jogar fora a cama da minha
cachorrinha que há três anos morreu, me parece ingratidão, depois de tanto amor que ela me deu. Nem
consegui me desfazer dos tecidos para quimono que
comprei no Japão e nunca fiz, ou da camisa de seda
que comprei na Índia e já não uso. Se uma calça fica
larga, penso que posso voltar a engordar, se uma saia
fica larga, aperto. Nunca nada ficou apertado, o que
me faz crer que dificilmente engordarei. Às vezes consigo jogar fora suéteres que ficaram com “bolinhas”.
Dizem os neurocientistas que acumular é comando
do nosso cérebro, possivelmente vindo de tempos
remotíssimos em que a abundância era rara ou inexistente, e qualquer pedaço de carne, qualquer pele
de bicho, qualquer lasca de pedra era posse valiosa.
Hoje, os objetos de que nos rodeamos adquiriram
outro sentido. Um deles é fazer parte da nossa identidade. Segundo o psicólogo Daniel Kahneman sofremos mais ao perder um objeto querido do que o prazer que tivemos ao adquiri-los – podemos imaginar o
que sofreu Eike Batista ao perder a Lamborghini que,
como um sofá, ficava estacionada na sala. Outro é dizer às multidões quem somos, qual o nosso patamar
social.
É o que fazem alto e bom som as marcas. É a função
do luxo.
Não compramos só em atendimento ao nosso desejo. Compramos também olhando pelos olhos dos outros, projetando nos olhos dos outros a imagem que
teremos com nossas novas aquisições. Desse ponto
de vista, quem compra muitas peças de roupa numa
liquidação não está fazendo um bom negócio. Apesar
do bom preço, está adquirindo o que já saiu de moda,
o que se usou no ano anterior ou até mesmo no mês
anterior. E tudo o que não é de hoje, é out.
Objetos podem ser inúteis, mas se dados com afeto
temos dificuldade em nos desfazer deles. Xuxa tinha
uma casa só para guardar memorabilia, presentes dados pelos fãs. Ninguém joga fora o bordado feito pela
afilhada, o primeiro desenho do filho, a folha seca na
página do livro dada pelo noivo. Os objetos tornamse então não apenas objetos, mas testemunhos do
passado que cantam aos nossos olhos. E por isso os
guardamos.
Marie Kondo, a japonesa famosa pelo método MarieKondo de arrumação, não se orienta pela ligação
psicológica entre os humanos e seus objetos. O interesse dela é na ordem e na estética. Mas ao limpar
nossos armários e gavetas corre o risco de nos deixar
despidos.
Disponível em:<https://www.marinacolasanti.com/2020/02/expatriaram-o-gato.htmL> . Acesso em: 17 fev. 2020.
Por ser sinônimo e por preservar o sentido do contexto, o conector que poderia ser substituído por “unicamente” foi destacado e numerado em
Provas
Questão presente nas seguintes provas
As utilíssimas coisas inúteis
Marina Colasanti, quinta-feira, 16 de janeiro de 2020
Fui a uma liquidação de fim de ano porque precisava
trocar uma roupa que havia ganho. E fiquei pasma
com a quantidade de peças que cada um levava. Na
demora da fila, as pessoas esticavam o braço para colher de arara ou prateleira uma bolsa, um cinto ou
uma camiseta não vistos antes e acabavam ficando
com ela. Tudo, mais que propriamente despertar desejo, era visto como um bom negócio. Afinal, os preços estavam em conta.
E ali mesmo me perguntei se aquela gente toda tiraria do armário o correspondente ao que estava levando, ou se apenas apertaria os cabides.
Compro muito pouco, mas tenho grande dificuldade
para jogar fora. Acumulo. E embora tendo isenção
profissional para acumular livros e papéis, não a tenho para o resto.
Calcula-se que um europeu ou americano possua em
média 10 mil objetos. Para discutir consumismo e gênero no “The Pink and Blue Project”, a sul-coreana
Jeongmee Yoon fotografou durante 10 anos crianças
e adolescentes no seu quarto, com todos os seus objetos expostos. As fotos são surpreendentes, cada
quarto parecendo um mercado.
Até hoje não consegui jogar fora a cama da minha
cachorrinha que há três anos morreu, me parece ingratidão, depois de tanto amor que ela me deu. Nem
consegui me desfazer dos tecidos para quimono que
comprei no Japão e nunca fiz, ou da camisa de seda
que comprei na Índia e já não uso. Se uma calça fica
larga, penso que posso voltar a engordar, se uma saia
fica larga, aperto. Nunca nada ficou apertado, o que
me faz crer que dificilmente engordarei. Às vezes consigo jogar fora suéteres que ficaram com “bolinhas”.
Dizem os neurocientistas que acumular é comando
do nosso cérebro, possivelmente vindo de tempos
remotíssimos em que a abundância era rara ou inexistente, e qualquer pedaço de carne, qualquer pele
de bicho, qualquer lasca de pedra era posse valiosa.
Hoje, os objetos de que nos rodeamos adquiriram
outro sentido. Um deles é fazer parte da nossa identidade. Segundo o psicólogo Daniel Kahneman sofremos mais ao perder um objeto querido do que o prazer que tivemos ao adquiri-los – podemos imaginar o
que sofreu Eike Batista ao perder a Lamborghini que,
como um sofá, ficava estacionada na sala. Outro é dizer às multidões quem somos, qual o nosso patamar
social.
É o que fazem alto e bom som as marcas. É a função
do luxo.
Não compramos só em atendimento ao nosso desejo. Compramos também olhando pelos olhos dos outros, projetando nos olhos dos outros a imagem que
teremos com nossas novas aquisições. Desse ponto
de vista, quem compra muitas peças de roupa numa
liquidação não está fazendo um bom negócio. Apesar
do bom preço, está adquirindo o que já saiu de moda,
o que se usou no ano anterior ou até mesmo no mês
anterior. E tudo o que não é de hoje, é out.
Objetos podem ser inúteis, mas se dados com afeto
temos dificuldade em nos desfazer deles. Xuxa tinha
uma casa só para guardar memorabilia, presentes dados pelos fãs. Ninguém joga fora o bordado feito pela
afilhada, o primeiro desenho do filho, a folha seca na
página do livro dada pelo noivo. Os objetos tornamse então não apenas objetos, mas testemunhos do
passado que cantam aos nossos olhos. E por isso os
guardamos.
Marie Kondo, a japonesa famosa pelo método MarieKondo de arrumação, não se orienta pela ligação
psicológica entre os humanos e seus objetos. O interesse dela é na ordem e na estética. Mas ao limpar
nossos armários e gavetas corre o risco de nos deixar
despidos.
Disponível em:<https://www.marinacolasanti.com/2020/02/expatriaram-o-gato.htmL> . Acesso em: 17 fev. 2020.
Nesse fragmento, dentre as ocorrências do pronome “me” destacadas e numeradas estão de acordo com a norma-padrão as de número
Provas
Questão presente nas seguintes provas
Cadernos
Caderno Container