Foram encontradas 271 questões.
O consumo alimentar saudável é um dos determinantes do estado nutricional e relaciona-se à saúde em todas as fases do curso da vida. Assim, o monitoramento das práticas de consumo alimentar, como parte da VAN, colabora com o diagnóstico da situação alimentar e nutricional e, ao mesmo tempo, fornece subsídios para o planejamento e a organização do cuidado da população adstrita aos serviços de Atenção Básica. (BRASIL, 2015, p.7). Informação antropométrica é um dos dados incluídos para fins de vigilância nutricional. Para cada fase de vida existe uma referência específica de dados. (BRASIL, 2011, p.9).
Qual alternativa consta, corretamente, os dados antropométricos coletados para adulto?
Provas
Em unidades com emergências pediátricas, nas salas de emergência, as doenças prevalentes nas crianças são.
Provas
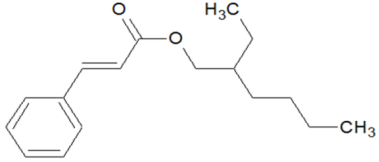
As estruturas abaixo representam algumas substâncias usadas em protetores solares.
IMAGEM 01

IMAGEM 02

IMAGEM 03

A função que NÃO está presente em nenhuma dessas estruturas é:
Provas
No cenário de emergências pediátricas, assinale a alternativa correta.
Provas
A doença inflamatória pélvica (DIP) é um conjunto de sinais e sintomas secundários à ascensão e a disseminação, no trato genital feminino superior, de microrganismos provenientes da vagina e/ou da endocérvice. São fatores de risco abaixo para o desenvolvimento da DIP, com EXCEÇÃO:
Provas
Durante os festejos juninos, após um incêndio em uma residência fechada, por entrada de uma espada perdida, uma Senhora não responsiva apresenta sinais de inalação de Fumaça, franca dispneia, queimaduras pelo corpo de 2º grau em face e membros superiores. Neste caso citado, as ações de primeiros socorros são prioridades.
Provas
Com referencia as medidas de biossegurança, leia com atenção as frases abaixo e a seguir assinale a resposta correspondente a resposta correta
I. A lavagem das mãos imediatamente após a retirada das luvas, evita a transferência de microorganismos a outros paciente e equipamentos.
II. A máscara cirúrgica e os óculos de proteção são utilizados em procedimentos e servem para proteger as mucosas dos olhos, nariz e boca de gotículas geradas pela fala, tosse ou espirro de pacientes ou durante atividades de assistência de apoio. Estas gotículas geradas por fonte humana tem diâmetro de ate 5µ e se dispersam ate um metro de distancia quando se depositam nas superfícies. Elas podem ser de sangue, fluidos corporais, secreções, excreções ou líquidos contaminados, como aquelas geradas durante a lavagem de materiais contaminados.
III. Em contato, com paciente portadores de Tuberculose Pulmonar, em ambiente hospitalar, os profissionais de saúde devem utilizar como EPI fundamental ao entrar no quarto do paciente, mascara N 95.
Provas
A Colelitíase é doença de larga abrangência, sendo estimada sua incidência em 1,39/100 indivíduos/ano. Cólica biliar e colecistite aguda são as principais complicações. O exame de imagem considerado padrão-ouro para confirmação do diagnóstico é:
Provas
A Política Nacional de Alimentação e Nutrição (PNAN), aprovada no ano de 1999, integra os esforços do Estado Brasileiro que, por meio de um conjunto de políticas públicas, propõe respeitar, proteger, promover e prover os direitos humanos à saúde e à alimentação. (BRASIL, 2013, p.6).
A alternativa que preenche, corretamente, itens da DIRETRIZ da Política Nacional de Alimentação e Nutrição (PNAN) é:
Provas
Com referência as medidas a serem tomadas na assistência de enfermagem as gestantes de alto risco, a hipertensão arterial é a doença que mais frequentemente complica a gravidez, sendo responsável pelo maior índice de morbidade e mortalidade materna e perinatal. Sendo assim, é importante diagnostico precoce e correto em caso de pré-eclampsia, diferenciando-a da hipertensão primaria ou crônica preexistentes. Com referencia a esse assunto, assinale a alternativa correta.
Provas
Caderno Container