Foram encontradas 60 questões.
981298
Ano: 2015
Disciplina: Legislação Municipal
Banca: FUMARC
Orgão: Pref. Belo Horizonte-MG
Disciplina: Legislação Municipal
Banca: FUMARC
Orgão: Pref. Belo Horizonte-MG
Provas:
Segundo a Lei 7.169/1996, a nomeação para cargo efetivo, no Quadro Geral de
Pessoal do Município de Belo Horizonte vinculados à Administração Direta, depende
de
Provas
Questão presente nas seguintes provas
981297
Ano: 2015
Disciplina: Direito Administrativo
Banca: FUMARC
Orgão: Pref. Belo Horizonte-MG
Disciplina: Direito Administrativo
Banca: FUMARC
Orgão: Pref. Belo Horizonte-MG
Provas:
A Lei Federal n. 12.527/11 e o Decreto Municipal n. 14.906/12 asseguram ao
cidadão o direito fundamental de acesso à informação, conforme a seguinte diretriz:
Provas
Questão presente nas seguintes provas
Um determinado veículo percorre uma pista a uma velocidade constante de
72 Km/h enquanto outro veículo percorre a mesma pista a uma velocidade constante
de 20 m/s. Pode-se afirmar que
Provas
Questão presente nas seguintes provas
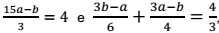
Se
então é CORRETO afirmar que o valor de
é igual a:
então é CORRETO afirmar que o valor de
é igual a:
Provas
Questão presente nas seguintes provas
Chimpanzé, enfim, passa em "prova" de altruísmo
Em experimento, animal escolhe opção que dá alimento a companheiro
Rafael Garcia

Folha de São Paulo, 10 de agosto de 2011.
A posição do pronome oblíquo está correta, EXCETO emEm experimento, animal escolhe opção que dá alimento a companheiro
Rafael Garcia

Uma espécie de macaco que vinha sendo acusada de
egoísta por biólogos finalmente mostrou em um experimento
que é capaz de querer bem ao próximo.
O chimpanzé, animal evolutivamente mais próximo dos humanos, exibiu pela primeira vez em laboratório um comportamento altruísta ao compartilhar comida.
O estudo, conduzido pelo grupo do primatólogo Frans de Waal, da Universidade Emory, em Atlanta (EUA), pode tirar uma pedra considerável do sapato dos etólogos (especialistas em comportamento animal). Macacos de parentesco mais distante com o Homo sapiens já haviam demonstrado altruísmo em testes controlados, mas justamente aquele que mais se assemelha a nós parecia ser egoísta quando avaliado de perto.
Isso vinha sendo um problema para o estudo da evolução desse comportamento, dada a crença de que a tendência "pró-social", cooperativa, é inata e está de alguma forma entranhada no DNA da nossa espécie. Como chimpanzés têm mais de 98% de semelhança com o genoma humano, era de esperar que o altruísmo se manifestasse também neles.
O experimento envolvia a participação direta de um cientista. Ao escolher fichas de diferentes cores, os macacos determinavam se o humano deveria dar bananas ao animal que estava na gaiola vizinha. Em até dois terços das oportunidades, os animais decidiram cooperar.
"Os experimentos estavam falhando antes porque usavam aparatos muito mais complicados" explicou à Folha Victoria Horner, que conduziu o estudo. "Eles requeriam coisas como manobrar mesas com contrapesos ligados a um sistema de cordas para liberar o acesso a uma banana. Os experimentos com macacos menores vinham usando coisas bem mais intuitivas." Segundo ela, os primatólogos sabiam, por meio de observações na natureza, que os chimpanzés cooperam na caça e em outras atividades, mas eram incapazes de provar isso em laboratório.
Outro problema de experimentos anteriores, segundo Horner, é que os macacos eram mantidos o tempo todo perto do alimento que seria dado como recompensa.
"Eles se concentravam tanto na comida que estavam recebendo que não conseguiam prestar atenção no que acontecia com a comida do parceiro", diz.
Para evitar isso, os pesquisadores mantinham embrulhadas em papel as fatias de banana que eram usadas no experimento até a hora da recompensa. Um aspecto interessante do comportamento dos chimpanzés no estudo foi que eles tendiam a não cooperar com vizinhos de jaula que os importunavam muito.
Quando um animal ficava cutucando o parceiro ou cuspindo água para chamar a atenção, o outro o ignorava. A mágoa que possivelmente resultava dessa pequena retaliação, porém, durava pouco. Os macacos que determinavam se seus vizinhos deveriam ganhar comida na primeira rodada trocaram de papel sem ter prejuízo.
Mesmo quando um macaco era prejudicado por outro no começo, não tentava retaliar depois, quando assumia o papel do primeiro animal.
O chimpanzé, animal evolutivamente mais próximo dos humanos, exibiu pela primeira vez em laboratório um comportamento altruísta ao compartilhar comida.
O estudo, conduzido pelo grupo do primatólogo Frans de Waal, da Universidade Emory, em Atlanta (EUA), pode tirar uma pedra considerável do sapato dos etólogos (especialistas em comportamento animal). Macacos de parentesco mais distante com o Homo sapiens já haviam demonstrado altruísmo em testes controlados, mas justamente aquele que mais se assemelha a nós parecia ser egoísta quando avaliado de perto.
Isso vinha sendo um problema para o estudo da evolução desse comportamento, dada a crença de que a tendência "pró-social", cooperativa, é inata e está de alguma forma entranhada no DNA da nossa espécie. Como chimpanzés têm mais de 98% de semelhança com o genoma humano, era de esperar que o altruísmo se manifestasse também neles.
O experimento envolvia a participação direta de um cientista. Ao escolher fichas de diferentes cores, os macacos determinavam se o humano deveria dar bananas ao animal que estava na gaiola vizinha. Em até dois terços das oportunidades, os animais decidiram cooperar.
"Os experimentos estavam falhando antes porque usavam aparatos muito mais complicados" explicou à Folha Victoria Horner, que conduziu o estudo. "Eles requeriam coisas como manobrar mesas com contrapesos ligados a um sistema de cordas para liberar o acesso a uma banana. Os experimentos com macacos menores vinham usando coisas bem mais intuitivas." Segundo ela, os primatólogos sabiam, por meio de observações na natureza, que os chimpanzés cooperam na caça e em outras atividades, mas eram incapazes de provar isso em laboratório.
Outro problema de experimentos anteriores, segundo Horner, é que os macacos eram mantidos o tempo todo perto do alimento que seria dado como recompensa.
"Eles se concentravam tanto na comida que estavam recebendo que não conseguiam prestar atenção no que acontecia com a comida do parceiro", diz.
Para evitar isso, os pesquisadores mantinham embrulhadas em papel as fatias de banana que eram usadas no experimento até a hora da recompensa. Um aspecto interessante do comportamento dos chimpanzés no estudo foi que eles tendiam a não cooperar com vizinhos de jaula que os importunavam muito.
Quando um animal ficava cutucando o parceiro ou cuspindo água para chamar a atenção, o outro o ignorava. A mágoa que possivelmente resultava dessa pequena retaliação, porém, durava pouco. Os macacos que determinavam se seus vizinhos deveriam ganhar comida na primeira rodada trocaram de papel sem ter prejuízo.
Mesmo quando um macaco era prejudicado por outro no começo, não tentava retaliar depois, quando assumia o papel do primeiro animal.
Folha de São Paulo, 10 de agosto de 2011.
Provas
Questão presente nas seguintes provas
Chimpanzé, enfim, passa em "prova" de altruísmo
Em experimento, animal escolhe opção que dá alimento a companheiro
Rafael Garcia

Folha de São Paulo, 10 de agosto de 2011.
A crase está corretamente empregada emEm experimento, animal escolhe opção que dá alimento a companheiro
Rafael Garcia

Uma espécie de macaco que vinha sendo acusada de
egoísta por biólogos finalmente mostrou em um experimento
que é capaz de querer bem ao próximo.
O chimpanzé, animal evolutivamente mais próximo dos humanos, exibiu pela primeira vez em laboratório um comportamento altruísta ao compartilhar comida.
O estudo, conduzido pelo grupo do primatólogo Frans de Waal, da Universidade Emory, em Atlanta (EUA), pode tirar uma pedra considerável do sapato dos etólogos (especialistas em comportamento animal). Macacos de parentesco mais distante com o Homo sapiens já haviam demonstrado altruísmo em testes controlados, mas justamente aquele que mais se assemelha a nós parecia ser egoísta quando avaliado de perto.
Isso vinha sendo um problema para o estudo da evolução desse comportamento, dada a crença de que a tendência "pró-social", cooperativa, é inata e está de alguma forma entranhada no DNA da nossa espécie. Como chimpanzés têm mais de 98% de semelhança com o genoma humano, era de esperar que o altruísmo se manifestasse também neles.
O experimento envolvia a participação direta de um cientista. Ao escolher fichas de diferentes cores, os macacos determinavam se o humano deveria dar bananas ao animal que estava na gaiola vizinha. Em até dois terços das oportunidades, os animais decidiram cooperar.
"Os experimentos estavam falhando antes porque usavam aparatos muito mais complicados" explicou à Folha Victoria Horner, que conduziu o estudo. "Eles requeriam coisas como manobrar mesas com contrapesos ligados a um sistema de cordas para liberar o acesso a uma banana. Os experimentos com macacos menores vinham usando coisas bem mais intuitivas." Segundo ela, os primatólogos sabiam, por meio de observações na natureza, que os chimpanzés cooperam na caça e em outras atividades, mas eram incapazes de provar isso em laboratório.
Outro problema de experimentos anteriores, segundo Horner, é que os macacos eram mantidos o tempo todo perto do alimento que seria dado como recompensa.
"Eles se concentravam tanto na comida que estavam recebendo que não conseguiam prestar atenção no que acontecia com a comida do parceiro", diz.
Para evitar isso, os pesquisadores mantinham embrulhadas em papel as fatias de banana que eram usadas no experimento até a hora da recompensa. Um aspecto interessante do comportamento dos chimpanzés no estudo foi que eles tendiam a não cooperar com vizinhos de jaula que os importunavam muito.
Quando um animal ficava cutucando o parceiro ou cuspindo água para chamar a atenção, o outro o ignorava. A mágoa que possivelmente resultava dessa pequena retaliação, porém, durava pouco. Os macacos que determinavam se seus vizinhos deveriam ganhar comida na primeira rodada trocaram de papel sem ter prejuízo.
Mesmo quando um macaco era prejudicado por outro no começo, não tentava retaliar depois, quando assumia o papel do primeiro animal.
O chimpanzé, animal evolutivamente mais próximo dos humanos, exibiu pela primeira vez em laboratório um comportamento altruísta ao compartilhar comida.
O estudo, conduzido pelo grupo do primatólogo Frans de Waal, da Universidade Emory, em Atlanta (EUA), pode tirar uma pedra considerável do sapato dos etólogos (especialistas em comportamento animal). Macacos de parentesco mais distante com o Homo sapiens já haviam demonstrado altruísmo em testes controlados, mas justamente aquele que mais se assemelha a nós parecia ser egoísta quando avaliado de perto.
Isso vinha sendo um problema para o estudo da evolução desse comportamento, dada a crença de que a tendência "pró-social", cooperativa, é inata e está de alguma forma entranhada no DNA da nossa espécie. Como chimpanzés têm mais de 98% de semelhança com o genoma humano, era de esperar que o altruísmo se manifestasse também neles.
O experimento envolvia a participação direta de um cientista. Ao escolher fichas de diferentes cores, os macacos determinavam se o humano deveria dar bananas ao animal que estava na gaiola vizinha. Em até dois terços das oportunidades, os animais decidiram cooperar.
"Os experimentos estavam falhando antes porque usavam aparatos muito mais complicados" explicou à Folha Victoria Horner, que conduziu o estudo. "Eles requeriam coisas como manobrar mesas com contrapesos ligados a um sistema de cordas para liberar o acesso a uma banana. Os experimentos com macacos menores vinham usando coisas bem mais intuitivas." Segundo ela, os primatólogos sabiam, por meio de observações na natureza, que os chimpanzés cooperam na caça e em outras atividades, mas eram incapazes de provar isso em laboratório.
Outro problema de experimentos anteriores, segundo Horner, é que os macacos eram mantidos o tempo todo perto do alimento que seria dado como recompensa.
"Eles se concentravam tanto na comida que estavam recebendo que não conseguiam prestar atenção no que acontecia com a comida do parceiro", diz.
Para evitar isso, os pesquisadores mantinham embrulhadas em papel as fatias de banana que eram usadas no experimento até a hora da recompensa. Um aspecto interessante do comportamento dos chimpanzés no estudo foi que eles tendiam a não cooperar com vizinhos de jaula que os importunavam muito.
Quando um animal ficava cutucando o parceiro ou cuspindo água para chamar a atenção, o outro o ignorava. A mágoa que possivelmente resultava dessa pequena retaliação, porém, durava pouco. Os macacos que determinavam se seus vizinhos deveriam ganhar comida na primeira rodada trocaram de papel sem ter prejuízo.
Mesmo quando um macaco era prejudicado por outro no começo, não tentava retaliar depois, quando assumia o papel do primeiro animal.
Folha de São Paulo, 10 de agosto de 2011.
Provas
Questão presente nas seguintes provas
Chimpanzé, enfim, passa em "prova" de altruísmo
Em experimento, animal escolhe opção que dá alimento a companheiro
Rafael Garcia

Folha de São Paulo, 10 de agosto de 2011.
A vírgula está empregada corretamente emEm experimento, animal escolhe opção que dá alimento a companheiro
Rafael Garcia

Uma espécie de macaco que vinha sendo acusada de
egoísta por biólogos finalmente mostrou em um experimento
que é capaz de querer bem ao próximo.
O chimpanzé, animal evolutivamente mais próximo dos humanos, exibiu pela primeira vez em laboratório um comportamento altruísta ao compartilhar comida.
O estudo, conduzido pelo grupo do primatólogo Frans de Waal, da Universidade Emory, em Atlanta (EUA), pode tirar uma pedra considerável do sapato dos etólogos (especialistas em comportamento animal). Macacos de parentesco mais distante com o Homo sapiens já haviam demonstrado altruísmo em testes controlados, mas justamente aquele que mais se assemelha a nós parecia ser egoísta quando avaliado de perto.
Isso vinha sendo um problema para o estudo da evolução desse comportamento, dada a crença de que a tendência "pró-social", cooperativa, é inata e está de alguma forma entranhada no DNA da nossa espécie. Como chimpanzés têm mais de 98% de semelhança com o genoma humano, era de esperar que o altruísmo se manifestasse também neles.
O experimento envolvia a participação direta de um cientista. Ao escolher fichas de diferentes cores, os macacos determinavam se o humano deveria dar bananas ao animal que estava na gaiola vizinha. Em até dois terços das oportunidades, os animais decidiram cooperar.
"Os experimentos estavam falhando antes porque usavam aparatos muito mais complicados" explicou à Folha Victoria Horner, que conduziu o estudo. "Eles requeriam coisas como manobrar mesas com contrapesos ligados a um sistema de cordas para liberar o acesso a uma banana. Os experimentos com macacos menores vinham usando coisas bem mais intuitivas." Segundo ela, os primatólogos sabiam, por meio de observações na natureza, que os chimpanzés cooperam na caça e em outras atividades, mas eram incapazes de provar isso em laboratório.
Outro problema de experimentos anteriores, segundo Horner, é que os macacos eram mantidos o tempo todo perto do alimento que seria dado como recompensa.
"Eles se concentravam tanto na comida que estavam recebendo que não conseguiam prestar atenção no que acontecia com a comida do parceiro", diz.
Para evitar isso, os pesquisadores mantinham embrulhadas em papel as fatias de banana que eram usadas no experimento até a hora da recompensa. Um aspecto interessante do comportamento dos chimpanzés no estudo foi que eles tendiam a não cooperar com vizinhos de jaula que os importunavam muito.
Quando um animal ficava cutucando o parceiro ou cuspindo água para chamar a atenção, o outro o ignorava. A mágoa que possivelmente resultava dessa pequena retaliação, porém, durava pouco. Os macacos que determinavam se seus vizinhos deveriam ganhar comida na primeira rodada trocaram de papel sem ter prejuízo.
Mesmo quando um macaco era prejudicado por outro no começo, não tentava retaliar depois, quando assumia o papel do primeiro animal.
O chimpanzé, animal evolutivamente mais próximo dos humanos, exibiu pela primeira vez em laboratório um comportamento altruísta ao compartilhar comida.
O estudo, conduzido pelo grupo do primatólogo Frans de Waal, da Universidade Emory, em Atlanta (EUA), pode tirar uma pedra considerável do sapato dos etólogos (especialistas em comportamento animal). Macacos de parentesco mais distante com o Homo sapiens já haviam demonstrado altruísmo em testes controlados, mas justamente aquele que mais se assemelha a nós parecia ser egoísta quando avaliado de perto.
Isso vinha sendo um problema para o estudo da evolução desse comportamento, dada a crença de que a tendência "pró-social", cooperativa, é inata e está de alguma forma entranhada no DNA da nossa espécie. Como chimpanzés têm mais de 98% de semelhança com o genoma humano, era de esperar que o altruísmo se manifestasse também neles.
O experimento envolvia a participação direta de um cientista. Ao escolher fichas de diferentes cores, os macacos determinavam se o humano deveria dar bananas ao animal que estava na gaiola vizinha. Em até dois terços das oportunidades, os animais decidiram cooperar.
"Os experimentos estavam falhando antes porque usavam aparatos muito mais complicados" explicou à Folha Victoria Horner, que conduziu o estudo. "Eles requeriam coisas como manobrar mesas com contrapesos ligados a um sistema de cordas para liberar o acesso a uma banana. Os experimentos com macacos menores vinham usando coisas bem mais intuitivas." Segundo ela, os primatólogos sabiam, por meio de observações na natureza, que os chimpanzés cooperam na caça e em outras atividades, mas eram incapazes de provar isso em laboratório.
Outro problema de experimentos anteriores, segundo Horner, é que os macacos eram mantidos o tempo todo perto do alimento que seria dado como recompensa.
"Eles se concentravam tanto na comida que estavam recebendo que não conseguiam prestar atenção no que acontecia com a comida do parceiro", diz.
Para evitar isso, os pesquisadores mantinham embrulhadas em papel as fatias de banana que eram usadas no experimento até a hora da recompensa. Um aspecto interessante do comportamento dos chimpanzés no estudo foi que eles tendiam a não cooperar com vizinhos de jaula que os importunavam muito.
Quando um animal ficava cutucando o parceiro ou cuspindo água para chamar a atenção, o outro o ignorava. A mágoa que possivelmente resultava dessa pequena retaliação, porém, durava pouco. Os macacos que determinavam se seus vizinhos deveriam ganhar comida na primeira rodada trocaram de papel sem ter prejuízo.
Mesmo quando um macaco era prejudicado por outro no começo, não tentava retaliar depois, quando assumia o papel do primeiro animal.
Folha de São Paulo, 10 de agosto de 2011.
Provas
Questão presente nas seguintes provas
Chimpanzé, enfim, passa em "prova" de altruísmo
Em experimento, animal escolhe opção que dá alimento a companheiro
Rafael Garcia

Folha de São Paulo, 10 de agosto de 2011.
Os articuladores sintáticos estão corretamente substituídos entre parênteses,
EXCETO emEm experimento, animal escolhe opção que dá alimento a companheiro
Rafael Garcia

Uma espécie de macaco que vinha sendo acusada de
egoísta por biólogos finalmente mostrou em um experimento
que é capaz de querer bem ao próximo.
O chimpanzé, animal evolutivamente mais próximo dos humanos, exibiu pela primeira vez em laboratório um comportamento altruísta ao compartilhar comida.
O estudo, conduzido pelo grupo do primatólogo Frans de Waal, da Universidade Emory, em Atlanta (EUA), pode tirar uma pedra considerável do sapato dos etólogos (especialistas em comportamento animal). Macacos de parentesco mais distante com o Homo sapiens já haviam demonstrado altruísmo em testes controlados, mas justamente aquele que mais se assemelha a nós parecia ser egoísta quando avaliado de perto.
Isso vinha sendo um problema para o estudo da evolução desse comportamento, dada a crença de que a tendência "pró-social", cooperativa, é inata e está de alguma forma entranhada no DNA da nossa espécie. Como chimpanzés têm mais de 98% de semelhança com o genoma humano, era de esperar que o altruísmo se manifestasse também neles.
O experimento envolvia a participação direta de um cientista. Ao escolher fichas de diferentes cores, os macacos determinavam se o humano deveria dar bananas ao animal que estava na gaiola vizinha. Em até dois terços das oportunidades, os animais decidiram cooperar.
"Os experimentos estavam falhando antes porque usavam aparatos muito mais complicados" explicou à Folha Victoria Horner, que conduziu o estudo. "Eles requeriam coisas como manobrar mesas com contrapesos ligados a um sistema de cordas para liberar o acesso a uma banana. Os experimentos com macacos menores vinham usando coisas bem mais intuitivas." Segundo ela, os primatólogos sabiam, por meio de observações na natureza, que os chimpanzés cooperam na caça e em outras atividades, mas eram incapazes de provar isso em laboratório.
Outro problema de experimentos anteriores, segundo Horner, é que os macacos eram mantidos o tempo todo perto do alimento que seria dado como recompensa.
"Eles se concentravam tanto na comida que estavam recebendo que não conseguiam prestar atenção no que acontecia com a comida do parceiro", diz.
Para evitar isso, os pesquisadores mantinham embrulhadas em papel as fatias de banana que eram usadas no experimento até a hora da recompensa. Um aspecto interessante do comportamento dos chimpanzés no estudo foi que eles tendiam a não cooperar com vizinhos de jaula que os importunavam muito.
Quando um animal ficava cutucando o parceiro ou cuspindo água para chamar a atenção, o outro o ignorava. A mágoa que possivelmente resultava dessa pequena retaliação, porém, durava pouco. Os macacos que determinavam se seus vizinhos deveriam ganhar comida na primeira rodada trocaram de papel sem ter prejuízo.
Mesmo quando um macaco era prejudicado por outro no começo, não tentava retaliar depois, quando assumia o papel do primeiro animal.
O chimpanzé, animal evolutivamente mais próximo dos humanos, exibiu pela primeira vez em laboratório um comportamento altruísta ao compartilhar comida.
O estudo, conduzido pelo grupo do primatólogo Frans de Waal, da Universidade Emory, em Atlanta (EUA), pode tirar uma pedra considerável do sapato dos etólogos (especialistas em comportamento animal). Macacos de parentesco mais distante com o Homo sapiens já haviam demonstrado altruísmo em testes controlados, mas justamente aquele que mais se assemelha a nós parecia ser egoísta quando avaliado de perto.
Isso vinha sendo um problema para o estudo da evolução desse comportamento, dada a crença de que a tendência "pró-social", cooperativa, é inata e está de alguma forma entranhada no DNA da nossa espécie. Como chimpanzés têm mais de 98% de semelhança com o genoma humano, era de esperar que o altruísmo se manifestasse também neles.
O experimento envolvia a participação direta de um cientista. Ao escolher fichas de diferentes cores, os macacos determinavam se o humano deveria dar bananas ao animal que estava na gaiola vizinha. Em até dois terços das oportunidades, os animais decidiram cooperar.
"Os experimentos estavam falhando antes porque usavam aparatos muito mais complicados" explicou à Folha Victoria Horner, que conduziu o estudo. "Eles requeriam coisas como manobrar mesas com contrapesos ligados a um sistema de cordas para liberar o acesso a uma banana. Os experimentos com macacos menores vinham usando coisas bem mais intuitivas." Segundo ela, os primatólogos sabiam, por meio de observações na natureza, que os chimpanzés cooperam na caça e em outras atividades, mas eram incapazes de provar isso em laboratório.
Outro problema de experimentos anteriores, segundo Horner, é que os macacos eram mantidos o tempo todo perto do alimento que seria dado como recompensa.
"Eles se concentravam tanto na comida que estavam recebendo que não conseguiam prestar atenção no que acontecia com a comida do parceiro", diz.
Para evitar isso, os pesquisadores mantinham embrulhadas em papel as fatias de banana que eram usadas no experimento até a hora da recompensa. Um aspecto interessante do comportamento dos chimpanzés no estudo foi que eles tendiam a não cooperar com vizinhos de jaula que os importunavam muito.
Quando um animal ficava cutucando o parceiro ou cuspindo água para chamar a atenção, o outro o ignorava. A mágoa que possivelmente resultava dessa pequena retaliação, porém, durava pouco. Os macacos que determinavam se seus vizinhos deveriam ganhar comida na primeira rodada trocaram de papel sem ter prejuízo.
Mesmo quando um macaco era prejudicado por outro no começo, não tentava retaliar depois, quando assumia o papel do primeiro animal.
Folha de São Paulo, 10 de agosto de 2011.
Provas
Questão presente nas seguintes provas
Chimpanzé, enfim, passa em "prova" de altruísmo
Em experimento, animal escolhe opção que dá alimento a companheiro
Rafael Garcia

Folha de São Paulo, 10 de agosto de 2011.
A concordância nominal está correta, EXCETO emEm experimento, animal escolhe opção que dá alimento a companheiro
Rafael Garcia

Uma espécie de macaco que vinha sendo acusada de
egoísta por biólogos finalmente mostrou em um experimento
que é capaz de querer bem ao próximo.
O chimpanzé, animal evolutivamente mais próximo dos humanos, exibiu pela primeira vez em laboratório um comportamento altruísta ao compartilhar comida.
O estudo, conduzido pelo grupo do primatólogo Frans de Waal, da Universidade Emory, em Atlanta (EUA), pode tirar uma pedra considerável do sapato dos etólogos (especialistas em comportamento animal). Macacos de parentesco mais distante com o Homo sapiens já haviam demonstrado altruísmo em testes controlados, mas justamente aquele que mais se assemelha a nós parecia ser egoísta quando avaliado de perto.
Isso vinha sendo um problema para o estudo da evolução desse comportamento, dada a crença de que a tendência "pró-social", cooperativa, é inata e está de alguma forma entranhada no DNA da nossa espécie. Como chimpanzés têm mais de 98% de semelhança com o genoma humano, era de esperar que o altruísmo se manifestasse também neles.
O experimento envolvia a participação direta de um cientista. Ao escolher fichas de diferentes cores, os macacos determinavam se o humano deveria dar bananas ao animal que estava na gaiola vizinha. Em até dois terços das oportunidades, os animais decidiram cooperar.
"Os experimentos estavam falhando antes porque usavam aparatos muito mais complicados" explicou à Folha Victoria Horner, que conduziu o estudo. "Eles requeriam coisas como manobrar mesas com contrapesos ligados a um sistema de cordas para liberar o acesso a uma banana. Os experimentos com macacos menores vinham usando coisas bem mais intuitivas." Segundo ela, os primatólogos sabiam, por meio de observações na natureza, que os chimpanzés cooperam na caça e em outras atividades, mas eram incapazes de provar isso em laboratório.
Outro problema de experimentos anteriores, segundo Horner, é que os macacos eram mantidos o tempo todo perto do alimento que seria dado como recompensa.
"Eles se concentravam tanto na comida que estavam recebendo que não conseguiam prestar atenção no que acontecia com a comida do parceiro", diz.
Para evitar isso, os pesquisadores mantinham embrulhadas em papel as fatias de banana que eram usadas no experimento até a hora da recompensa. Um aspecto interessante do comportamento dos chimpanzés no estudo foi que eles tendiam a não cooperar com vizinhos de jaula que os importunavam muito.
Quando um animal ficava cutucando o parceiro ou cuspindo água para chamar a atenção, o outro o ignorava. A mágoa que possivelmente resultava dessa pequena retaliação, porém, durava pouco. Os macacos que determinavam se seus vizinhos deveriam ganhar comida na primeira rodada trocaram de papel sem ter prejuízo.
Mesmo quando um macaco era prejudicado por outro no começo, não tentava retaliar depois, quando assumia o papel do primeiro animal.
O chimpanzé, animal evolutivamente mais próximo dos humanos, exibiu pela primeira vez em laboratório um comportamento altruísta ao compartilhar comida.
O estudo, conduzido pelo grupo do primatólogo Frans de Waal, da Universidade Emory, em Atlanta (EUA), pode tirar uma pedra considerável do sapato dos etólogos (especialistas em comportamento animal). Macacos de parentesco mais distante com o Homo sapiens já haviam demonstrado altruísmo em testes controlados, mas justamente aquele que mais se assemelha a nós parecia ser egoísta quando avaliado de perto.
Isso vinha sendo um problema para o estudo da evolução desse comportamento, dada a crença de que a tendência "pró-social", cooperativa, é inata e está de alguma forma entranhada no DNA da nossa espécie. Como chimpanzés têm mais de 98% de semelhança com o genoma humano, era de esperar que o altruísmo se manifestasse também neles.
O experimento envolvia a participação direta de um cientista. Ao escolher fichas de diferentes cores, os macacos determinavam se o humano deveria dar bananas ao animal que estava na gaiola vizinha. Em até dois terços das oportunidades, os animais decidiram cooperar.
"Os experimentos estavam falhando antes porque usavam aparatos muito mais complicados" explicou à Folha Victoria Horner, que conduziu o estudo. "Eles requeriam coisas como manobrar mesas com contrapesos ligados a um sistema de cordas para liberar o acesso a uma banana. Os experimentos com macacos menores vinham usando coisas bem mais intuitivas." Segundo ela, os primatólogos sabiam, por meio de observações na natureza, que os chimpanzés cooperam na caça e em outras atividades, mas eram incapazes de provar isso em laboratório.
Outro problema de experimentos anteriores, segundo Horner, é que os macacos eram mantidos o tempo todo perto do alimento que seria dado como recompensa.
"Eles se concentravam tanto na comida que estavam recebendo que não conseguiam prestar atenção no que acontecia com a comida do parceiro", diz.
Para evitar isso, os pesquisadores mantinham embrulhadas em papel as fatias de banana que eram usadas no experimento até a hora da recompensa. Um aspecto interessante do comportamento dos chimpanzés no estudo foi que eles tendiam a não cooperar com vizinhos de jaula que os importunavam muito.
Quando um animal ficava cutucando o parceiro ou cuspindo água para chamar a atenção, o outro o ignorava. A mágoa que possivelmente resultava dessa pequena retaliação, porém, durava pouco. Os macacos que determinavam se seus vizinhos deveriam ganhar comida na primeira rodada trocaram de papel sem ter prejuízo.
Mesmo quando um macaco era prejudicado por outro no começo, não tentava retaliar depois, quando assumia o papel do primeiro animal.
Folha de São Paulo, 10 de agosto de 2011.
Provas
Questão presente nas seguintes provas
Chimpanzé, enfim, passa em "prova" de altruísmo
Em experimento, animal escolhe opção que dá alimento a companheiro
Rafael Garcia

Folha de São Paulo, 10 de agosto de 2011.
Em “Ao escolher fichas de diferentes cores, os macacos determinavam se o
humano deveria dar bananas ao animal que estava na gaiola vizinha.", a oração
destacada tem a ideia deEm experimento, animal escolhe opção que dá alimento a companheiro
Rafael Garcia

Uma espécie de macaco que vinha sendo acusada de
egoísta por biólogos finalmente mostrou em um experimento
que é capaz de querer bem ao próximo.
O chimpanzé, animal evolutivamente mais próximo dos humanos, exibiu pela primeira vez em laboratório um comportamento altruísta ao compartilhar comida.
O estudo, conduzido pelo grupo do primatólogo Frans de Waal, da Universidade Emory, em Atlanta (EUA), pode tirar uma pedra considerável do sapato dos etólogos (especialistas em comportamento animal). Macacos de parentesco mais distante com o Homo sapiens já haviam demonstrado altruísmo em testes controlados, mas justamente aquele que mais se assemelha a nós parecia ser egoísta quando avaliado de perto.
Isso vinha sendo um problema para o estudo da evolução desse comportamento, dada a crença de que a tendência "pró-social", cooperativa, é inata e está de alguma forma entranhada no DNA da nossa espécie. Como chimpanzés têm mais de 98% de semelhança com o genoma humano, era de esperar que o altruísmo se manifestasse também neles.
O experimento envolvia a participação direta de um cientista. Ao escolher fichas de diferentes cores, os macacos determinavam se o humano deveria dar bananas ao animal que estava na gaiola vizinha. Em até dois terços das oportunidades, os animais decidiram cooperar.
"Os experimentos estavam falhando antes porque usavam aparatos muito mais complicados" explicou à Folha Victoria Horner, que conduziu o estudo. "Eles requeriam coisas como manobrar mesas com contrapesos ligados a um sistema de cordas para liberar o acesso a uma banana. Os experimentos com macacos menores vinham usando coisas bem mais intuitivas." Segundo ela, os primatólogos sabiam, por meio de observações na natureza, que os chimpanzés cooperam na caça e em outras atividades, mas eram incapazes de provar isso em laboratório.
Outro problema de experimentos anteriores, segundo Horner, é que os macacos eram mantidos o tempo todo perto do alimento que seria dado como recompensa.
"Eles se concentravam tanto na comida que estavam recebendo que não conseguiam prestar atenção no que acontecia com a comida do parceiro", diz.
Para evitar isso, os pesquisadores mantinham embrulhadas em papel as fatias de banana que eram usadas no experimento até a hora da recompensa. Um aspecto interessante do comportamento dos chimpanzés no estudo foi que eles tendiam a não cooperar com vizinhos de jaula que os importunavam muito.
Quando um animal ficava cutucando o parceiro ou cuspindo água para chamar a atenção, o outro o ignorava. A mágoa que possivelmente resultava dessa pequena retaliação, porém, durava pouco. Os macacos que determinavam se seus vizinhos deveriam ganhar comida na primeira rodada trocaram de papel sem ter prejuízo.
Mesmo quando um macaco era prejudicado por outro no começo, não tentava retaliar depois, quando assumia o papel do primeiro animal.
O chimpanzé, animal evolutivamente mais próximo dos humanos, exibiu pela primeira vez em laboratório um comportamento altruísta ao compartilhar comida.
O estudo, conduzido pelo grupo do primatólogo Frans de Waal, da Universidade Emory, em Atlanta (EUA), pode tirar uma pedra considerável do sapato dos etólogos (especialistas em comportamento animal). Macacos de parentesco mais distante com o Homo sapiens já haviam demonstrado altruísmo em testes controlados, mas justamente aquele que mais se assemelha a nós parecia ser egoísta quando avaliado de perto.
Isso vinha sendo um problema para o estudo da evolução desse comportamento, dada a crença de que a tendência "pró-social", cooperativa, é inata e está de alguma forma entranhada no DNA da nossa espécie. Como chimpanzés têm mais de 98% de semelhança com o genoma humano, era de esperar que o altruísmo se manifestasse também neles.
O experimento envolvia a participação direta de um cientista. Ao escolher fichas de diferentes cores, os macacos determinavam se o humano deveria dar bananas ao animal que estava na gaiola vizinha. Em até dois terços das oportunidades, os animais decidiram cooperar.
"Os experimentos estavam falhando antes porque usavam aparatos muito mais complicados" explicou à Folha Victoria Horner, que conduziu o estudo. "Eles requeriam coisas como manobrar mesas com contrapesos ligados a um sistema de cordas para liberar o acesso a uma banana. Os experimentos com macacos menores vinham usando coisas bem mais intuitivas." Segundo ela, os primatólogos sabiam, por meio de observações na natureza, que os chimpanzés cooperam na caça e em outras atividades, mas eram incapazes de provar isso em laboratório.
Outro problema de experimentos anteriores, segundo Horner, é que os macacos eram mantidos o tempo todo perto do alimento que seria dado como recompensa.
"Eles se concentravam tanto na comida que estavam recebendo que não conseguiam prestar atenção no que acontecia com a comida do parceiro", diz.
Para evitar isso, os pesquisadores mantinham embrulhadas em papel as fatias de banana que eram usadas no experimento até a hora da recompensa. Um aspecto interessante do comportamento dos chimpanzés no estudo foi que eles tendiam a não cooperar com vizinhos de jaula que os importunavam muito.
Quando um animal ficava cutucando o parceiro ou cuspindo água para chamar a atenção, o outro o ignorava. A mágoa que possivelmente resultava dessa pequena retaliação, porém, durava pouco. Os macacos que determinavam se seus vizinhos deveriam ganhar comida na primeira rodada trocaram de papel sem ter prejuízo.
Mesmo quando um macaco era prejudicado por outro no começo, não tentava retaliar depois, quando assumia o papel do primeiro animal.
Folha de São Paulo, 10 de agosto de 2011.
Provas
Questão presente nas seguintes provas
Cadernos
Caderno Container