Foram encontradas 475 questões.
“A saúde tem como fatores determinantes e condicionantes, entre outros, a alimentação, a moradia, o saneamento básico, o meio ambiente, o trabalho, a renda, a educação, o transporte, o lazer e o acesso aos bens e serviços essenciais; os níveis de saúde da população expressam a organização social e econômica do País.”
As ideias acima descritas acerca do conceito de saúde estão expressas na:
Provas
Sobre a guarda dos documentos psicológicos e condições de guarda, as normas vigentes pelo Conselho Federal de Psicologia determinam o que está descrito em apenas uma das alternativas a seguir:
Provas
Conforme a Resolução do CFP, que “regulamenta normas e procedimentos para a avaliação Conselho Federal de Psicologia - psicossocial no contexto da saúde e segurança do trabalhador,” o processo de avaliação psicossocial, em atendimento às normas regulamentadoras emitidas pela Secretaria de Trabalho do Ministério da Economia ou órgão correlato deve considerar, dentre outros, a investigação dos seguintes aspectos:
Provas
De acordo com o Código de Ética Profissional do Psicólogo - CEPP, são deveres fundamentais do psicólogo:
I- Assumir responsabilidades profissionais somente por atividades para as quais esteja capacitado pessoal, teórica e tecnicamente.
II- Prestar serviços profissionais em situações de calamidade pública ou de emergência, sem visar a benefício pessoal.
III- Estabelecer acordos de prestação de serviços que respeitem os direitos do usuário e, ao mesmo tempo, valorizem materialmente a atuação do profissional de Psicologia.
IV- Na prestação de serviços psicológicos em instituições ou empresas, respeitando a sua hierarquia, fornecer a quem de direito informações que contribuam com os objetivos do trabalho profissional.
V- Zelar para que a comercialização, aquisição, doação, empréstimo, guarda e forma de divulgação do material privativo do psicólogo seja feita conforme os princípios deste Código.
É CORRETO o que se afirma apenas em:
Provas
Para celebrar a chegada da primavera, Carolina decidiu decorar seu jardim com três tipos de flores: rosas, lírios e margaridas. Sabe-se que Carolina plantou margaridas em 3/5 da área destinada ao jardim. Além disso, ela plantou lírios em 3/4 da área restante, e nos 3 m² que sobraram, ela plantou rosas. Com base nessas informações, determine a área total de plantio, em metros quadrados, do jardim de Carolina.
Provas
Um grupo de amigos organizou uma excursão para assistir à final da competição de ginástica artística por equipes nas Olimpíadas de Paris 2024. Dentre as pessoas presentes na excursão, as seguintes observações foram feitas:
• 11 indivíduos torceram pela equipe dos Estados Unidos.
• 15 indivíduos torceram pela equipe do Brasil.
• 13 indivíduos torceram pela equipe da Itália.
• 3 indivíduos torceram simultaneamente pelos Estados Unidos e pelo Brasil, mas não pela Itália.
• 6 indivíduos torceram simultaneamente pelo Brasil e pela Itália, mas não pelos Estados Unidos.
• 5 indivíduos torceram simultaneamente pelos Estados Unidos e pela Itália, mas não pelo Brasil.
• 2 indivíduos não torceram por nenhuma das equipes mencionadas.
Considerando que o total de pessoas presentes na excursão era de 25, determine o número de indivíduos que torceu para as três equipes simultaneamente.
Provas
Uma galeria de arte que está fechando decidiu distribuir o valor total de R$ 384.000,00 entre três artistas cujas obras foram exibidas por 4, 8 e 12 anos na galeria. O valor recebido por cada artista será proporcional ao tempo em que suas obras estiveram em exibição. Quanto recebeu o artista cuja obra foi exibida por menos tempo?
Provas
Qual das alternativas abaixo corresponde aos valores lógicos omissos (de cima para baixo) da última coluna da tabela-verdade abaixo, onde V representa a verdade e F a falsidade?

Provas
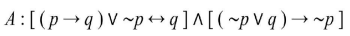
Sejam p e q duas proposições verdadeiras. Qual o valor lógico da proposição a seguir?
![]()
Provas
Com base na propaganda que se segue, marque a alternativa CORRETA.

Disponível em: <https://www.politize.com.br/propaganda-institucional-tse/>. Acesso em: 04 mai. 2024.
Provas
Caderno Container