Magna Concursos

Foram encontradas 2.648 questões.

2182618 Ano: 2010
Disciplina: Geologia
Banca: CESGRANRIO
Orgão: Petrobrás
Provas:
Enunciado 3365856-1
A figura acima representa três padrões de variação dos perfis de potencial espontâneo ou raios gama, em resposta à variação vertical da granulometria em sedimentos siliciclásticos em diversos reservatórios. A possível interpretação dos ambientes deposicionais é
1 2 3
 

Provas

Questão presente nas seguintes provas
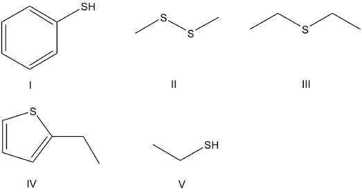
2182617 Ano: 2010
Disciplina: Química
Banca: CESGRANRIO
Orgão: Petrobrás
O petróleo é composto, de forma majoritária, por hidrocarbonetos. Porém, nele são encontradas pequenas quantidades (menor que 8 % em massa de compostos que contêm enxofre)
Enunciado 3365855-1
A respeito dos compostos I, II, III, IV e V acima representados, tem-se que
 

Provas

Questão presente nas seguintes provas
2182616 Ano: 2010
Disciplina: TI - Banco de Dados
Banca: CESGRANRIO
Orgão: Petrobrás
Considere o grafo de precedências de uma escala concorrente S de três transações, submetida ao módulo gerenciador de transações de um Sistema Gerenciador de Banco de Dados (SGB) mostrado abaixo.
Enunciado 3365854-1
Os itens X, Y e Z são compartilhados durante a execução das três transações, e sua indicação, no rótulo dos arcos do grafo, revela qual item gerou o conflito de operações na escala S.
Sendo assim, pela análise do grafo de precedências de S,
 

Provas

Questão presente nas seguintes provas
Text II
Peak Oil for Dummies
by Tom Rogue - August 09, 2009
Over the past decade, a fierce debate has emerged amongst energy experts about whether global oil production was about to reach a peak, followed by an irreversible decline. This event, commonly known as “Peak Oil” far outreaches the sole discipline of geology. From transportation to modern agriculture, petrochemicals and even the pharmaceutical industry all of them rely on one commodity: cheap and abundant oil. In order to sustain the needs of an ever globalized world, oil demand should double by 2050.
Nonetheless, geological limitations will disrupt this improbable scenario. In fact, a growing proportion of energy experts argue that Peak Oil is impending and warn about the extraordinary scale of the crisis.
According to the 2009 BP Statistical Review, the world has precisely 42 years of oil left. Those numbers come from a very simple formula, the R/P ratio, which consists of dividing the official number of global oil reserves by the level of today’s production.
Nevertheless, this methodology is dangerously defective on several key points as it ignores geological realities. Oil production does not consist of a plan level of production that brutally ends one day; it follows a bell-shaped curve.
Indeed, the important day occurs when production starts to decline, not when it ends. As it is a non-flexible commodity, even a small deficit in oil production can lead to a major price surge.
Finally, the R/P ratio does not acknowledge that production costs increase over the time; the first oil fields to be developed were logically the easy ones and so the most profitable. It is well recognized that remaining oil fields consist of poor quality oil or remotely located fields which need high technologies and expensive investments. Therefore, relying on the R/P ratio gives a false impression of security while the actual situation is critical.
Oil is a strategic resource; therefore having oil is a key political and economical advantage for a state. This is why politics interfere in the evaluation of oil reserves, especially in countries with poor accountability records; that is, the majority of OPEC countries. In fact, OPEC oil reserves have dramatically increased during the 1980s and 1990s. However, they have not discovered major oil fields after the 1970s. At this conjuncture, the question of what lays behind these fluctuations needs to be asked.
The geologist Dr. Colin Campbell, founder of the Association for the Study of Peak Oil and Gas (ASPO), explains the hidden reasons that led to these changes: “In 1985, Kuwait, added 50% to its reserve. At that time, the OPEC quota was based on the reported reserves; the more you reported, the more you could produce.”
Fellow OPEC members who were unwilling to see the influence of Kuwait growing, simply raised their reserves soon after. Moreover, OPEC countries continue to present their reserves as flat despite having extracted huge amounts of oil during the past twenty years.
At this point, we should not forget that oil reserves reported by these countries are not audited by independent experts. In 2006, the notorious Petroleum Intelligence Weekly said it had access to confidential Kuwaiti reports which stated that reserves were half the official numbers.
The question of oil reserves is most relevant. As oil exporting countries have less oil in their ground, Peak Oil will arrive faster. Oil optimists who argue Peak Oil is still decades away rely on these same erroneous data.
In addition, if importing countries assume oil reserves are abundant as they do, the crisis will be unexpected, unprepared and misunderstood; in one word: overwhelming. Similarly, once oil shortages occur, oil importing countries may assume that exporting countries are deliberately reducing their oil exports to harm their national interests.
Such a flawed assumption from oil importing countries is likely to have serious repercussions, and eventually lead to new oil wars.
http://seekingalpha.com/article/154901-peak-oil-for-dummies, access on March 14, 2010.
The fragment “oil demand should double by 2050.” expresses a(n)
 

Provas

Questão presente nas seguintes provas
Text I
The age of speed: how to reduce global fuel consumption by 75 percent
September 11, 2008
Low-tech Magazine
Breaking speed records was an almost daily occurrence throughout the 20th century. Cars, ships, planes and trains became faster and faster, year after year. Because the power needed to push an object through air increases with the cube of velocity, this race to ever higher speeds raises energy consumption exponentially.
Engineers treat velocity as a non-variable, while in fact it is the most powerful factor to save a really huge amount of energy - with just one stroke, at minimal cost, and without the need for new technology. Lower speeds combined with more energy efficient engines, better aerodynamics and lighter materials could make fuel savings even larger.
Air resistance increases with the square of speed, and therefore the power needed to push an object through air increases with the cube of the velocity. If a car cruising on the highway at 80 km/h requires 30 kilowatts to overcome air drag, that same car will require 240 kilowatts at a speed of 160 km/h. Thus, a vehicle needs 8 times the engine power to reach twice the speed. In principle, this means that fuel consumption will increase fourfold (not eightfold, because the faster vehicle exerts the power only over half the time).
Over a distance of 1,000 kilometres, the slow car would consume 375 kilowatt-hours (12.5 hours multiplied by 30 kilowatts) and the fast car would consume 1,500 kilowatt-hours (6.25 hours multiplied by 240 kilowatts).
However, this extra fuel consumption can be diminished or even negated by, most importantly, more fuel efficient engines, lighter materials and better aerodynamics. Even though today’s cars are faster than those from decades ago, they consume a similar amount of fuel. This is the reason why almost everybody is talking about energy efficiency and aerodynamics, and not about speed.
But if you lower the speed, fuel consumption is decreased by the full 75 percent. More efficient technology cannot change that – unless in a positive way. If you combine a lower speed with more fuel efficient engines and better aerodynamics, fuel savings can become much larger than 75 percent.
A decrease of 75 percent in fuel consumption is not peanuts. More than 60 percent of world oil production is used for transportation, which means that total oil production would be almost halved (-45%). In combination with more efficient engines, better aerodynamics and lighter materials a 75 percent reduction of oil production is not unrealistic.
Yet, when the International Energy Agency argues that the average car sold in 2030 would need to consume 60 percent less fuel than the average car sold in 2005, it claims: “With current technologies, only plug-in hybrids are capable of this”.
This statement is wrong. We could lower the fuel consumption of cars (and other vehicles) by at least 75 percent, we could do it today, and we can do it with present technology.
© Kris De Decker (edited by Vincent Grosjean) http://www.lowtechmagazine.com/2008/09/speed-energy.html, access on April 6, 2010.
‘It’ in “... while in fact it is the most powerful factor...” refers to
 

Provas

Questão presente nas seguintes provas
Text II
Peak Oil for Dummies
by Tom Rogue - August 09, 2009
Over the past decade, a fierce debate has emerged amongst energy experts about whether global oil production was about to reach a peak, followed by an irreversible decline. This event, commonly known as “Peak Oil” far outreaches the sole discipline of geology. From transportation to modern agriculture, petrochemicals and even the pharmaceutical industry all of them rely on one commodity: cheap and abundant oil. In order to sustain the needs of an ever globalized world, oil demand should double by 2050.
Nonetheless, geological limitations will disrupt this improbable scenario. In fact, a growing proportion of energy experts argue that Peak Oil is impending and warn about the extraordinary scale of the crisis.
According to the 2009 BP Statistical Review, the world has precisely 42 years of oil left. Those numbers come from a very simple formula, the R/P ratio, which consists of dividing the official number of global oil reserves by the level of today’s production.
Nevertheless, this methodology is dangerously defective on several key points as it ignores geological realities. Oil production does not consist of a plan level of production that brutally ends one day; it follows a bell-shaped curve.
Indeed, the important day occurs when production starts to decline, not when it ends. As it is a non-flexible commodity, even a small deficit in oil production can lead to a major price surge.
Finally, the R/P ratio does not acknowledge that production costs increase over the time; the first oil fields to be developed were logically the easy ones and so the most profitable. It is well recognized that remaining oil fields consist of poor quality oil or remotely located fields which need high technologies and expensive investments. Therefore, relying on the R/P ratio gives a false impression of security while the actual situation is critical.
Oil is a strategic resource; therefore having oil is a key political and economical advantage for a state. This is why politics interfere in the evaluation of oil reserves, especially in countries with poor accountability records; that is, the majority of OPEC countries. In fact, OPEC oil reserves have dramatically increased during the 1980s and 1990s. However, they have not discovered major oil fields after the 1970s. At this conjuncture, the question of what lays behind these fluctuations needs to be asked.
The geologist Dr. Colin Campbell, founder of the Association for the Study of Peak Oil and Gas (ASPO), explains the hidden reasons that led to these changes: “In 1985, Kuwait, added 50% to its reserve. At that time, the OPEC quota was based on the reported reserves; the more you reported, the more you could produce.”
Fellow OPEC members who were unwilling to see the influence of Kuwait growing, simply raised their reserves soon after. Moreover, OPEC countries continue to present their reserves as flat despite having extracted huge amounts of oil during the past twenty years.
At this point, we should not forget that oil reserves reported by these countries are not audited by independent experts. In 2006, the notorious Petroleum Intelligence Weekly said it had access to confidential Kuwaiti reports which stated that reserves were half the official numbers.
The question of oil reserves is most relevant. As oil exporting countries have less oil in their ground, Peak Oil will arrive faster. Oil optimists who argue Peak Oil is still decades away rely on these same erroneous data.
In addition, if importing countries assume oil reserves are abundant as they do, the crisis will be unexpected, unprepared and misunderstood; in one word: overwhelming. Similarly, once oil shortages occur, oil importing countries may assume that exporting countries are deliberately reducing their oil exports to harm their national interests.
Such a flawed assumption from oil importing countries is likely to have serious repercussions, and eventually lead to new oil wars.
http://seekingalpha.com/article/154901-peak-oil-for-dummies, access on March 14, 2010.
The aim of Text II is to
 

Provas

Questão presente nas seguintes provas
2182612 Ano: 2010
Disciplina: Matemática
Banca: CESGRANRIO
Orgão: Petrobrás
Provas:

Os valores de x que satisfazem ao sistema !$ \begin{cases}y=\log(x-1) \\y^2-1=0 \end{cases} !$ são

 

Provas

Questão presente nas seguintes provas
2182611 Ano: 2010
Disciplina: Matemática
Banca: CESGRANRIO
Orgão: Petrobrás
Provas:

Sendo i a unidade imaginária e !$ 0 \le θ \le \pi !$ (radianos), então o número complexo !$ e^{i θ} \cos (3 θ) !$ tem módulo definido pelo intervalo real

 

Provas

Questão presente nas seguintes provas
2182610 Ano: 2010
Disciplina: Física
Banca: CESGRANRIO
Orgão: Petrobrás
Provas:

Um motociclista, movendo-se a 20 m/s em movimento uniforme, é ultrapassado por uma ambulância cuja sirene, permanentemente ligada, emite ondas sonoras de frequência igual a 1.600 Hz. Após a ultrapassagem, o motociclista detecta a frequência de 1.557 Hz. Considerandose o ar em repouso e a velocidade de propagação do som igual a 340 m/s, a velocidade aproximada da ambulância, é, em km/h,

 

Provas

Questão presente nas seguintes provas
2182609 Ano: 2010
Disciplina: Física
Banca: CESGRANRIO
Orgão: Petrobrás
Provas:

Enunciado 3095777-1

Um carregador deixa descer um bloco de 200 N sobre uma superfície inclinada, percorrendo 2m em movimento retilíneo e uniforme, exercendo uma tração de intensidade T em sentido ascendente e na direção da corda paralela à superfície inclinada, conforme a figura acima. Sabendo-se que a força de atrito dinâmica entre o bloco e a superfície é igual a F, e que o deslocamento vertical deste bloco é de 1m, a intensidade da soma dos trabalhos exercidos por T e F, em joules, é igual a

 

Provas

Questão presente nas seguintes provas