Foram encontradas 661 questões.
A cultura dominante, hoje mundializada, se estrutura ao redor da vontade de poder que se traduz por vontade de dominação da natureza, do outro, dos povos e dos mercados. Os meios de comunicação levam ao paroxismo a magnificação de todo tipo de violência. Nessa cultura, o militar, o banqueiro e o especulador valem mais que o poeta, o filósofo e o santo. Nos processos de socialização formal e informal, ela não cria mediações para uma cultura da paz. Sem detalhar a questão, diríamos que por detrás da violência funcionam poderosas estruturas. A primeira delas é o caos sempre presente no processo cosmogênico. Viemos de uma imensa explosão, o big bang. E a evolução comporta violência em todas as suas fases. Em segundo lugar, somos herdeiros da cultura patriarcal que instaurou a dominação do homem sobre a mulher e criou as instituições do patriarcado assentadas sobre mecanismos de violência como o Estado, as classes, o projeto da tecnociência, os processos de produção como objetivação da natureza e sua sistemática depredação. Em terceiro lugar, essa cultura patriarcal gestou a guerra como forma de resolução dos conflitos. Sobre essa vasta base se formou a cultura do capital, hoje globalizada; sua lógica é a competição, e não a cooperação; por isso, gera guerras econômicas e políticas e, com isso, desigualdades, injustiças e violências. Todas essas forças se articulam estruturalmente para consolidar a cultura da violência que nos desumaniza a todos. A essa cultura da violência há que se opor a cultura da paz. Hoje ela é imperativa. É imperativa, porque as forças de destruição estão ameaçando, por todas as partes, o pacto social mínimo sem o qual regredimos a níveis de barbárie. Onde buscar as inspirações para a cultura da paz? A singularidade do 1% de carga genética que nos separa dos primatas superiores reside no fato de que nós, à distinção deles, somos seres sociais e cooperativos. Ao lado de estruturas de agressividade, temos capacidades de afetividade, compaixão, solidariedade e amorização. O ser humano é o único ser que pode intervir nos processos da natureza e copilotar a marcha da evolução. Ele foi criado criador. Dispõe de recursos de reengenharia da violência mediante processos civilizatórios de contenção e uso de racionalidade. Há muito que filósofos veem no cuidado a essência do ser humano. Tudo precisa de cuidado para continuar a existir. Onde vige cuidado de uns para com os outros desaparece o medo, origem secreta de toda violência, como analisou Freud.
Leonardo Boff. Cultura da paz. Internet: <edisciplinas.usp.br> (com adaptações).
O autor do texto CG2A1, por meio de recursos metafóricos, enfatiza como mecanismo exaltador da violência
Provas
A cromatografia gasosa acoplada a um espectrômetro de massas (CG/EM) pode ser usada para quantificar óleos essenciais. Considere que determinado químico tenha recebido amostra contendo cinamaldeído e eugenol dissolvidos em CH2Cl2. A análise cromatográfica dessa amostra apresentou o cromatograma de ionização total — TIC (total ionisation chromatogram) — mostrado na figura 13A4-I a seguir. A integração do cromatograma revelou que o tempo de retenção do cinamaldeído foi de 8,9 min e a área sob o pico foi de 6.775.518 unidades arbitrárias; ao passo que o eugenol apresentou tempo de retenção de 10,0 min e área sob o pico de 4.143.349 unidades arbitrárias. Para determinar as concentrações dos óleos essenciais presentes na amostra, o químico preparou curvas-padrão de calibração, conforme ilustrado na figura 13A4-II a seguir, em que a abscissa apresenta concentrações dos óleos em μL/mL.

Considerando as informações apresentadas, é correto afirmar que a concentração de ambos os óleos essenciais na amostra é
Provas
|
Amostras loci |
ref 1 | ref 2 | quest 1 |
quest 2 |
|
D13S317 |
9,12 | 8,13 | 9, 12 |
9, 12 |
|
D16S539 |
9, 13 | 9,10 | 9, 13 |
8, 9, 10, 13 |
|
D2S1338 |
19,25 | 18,23 | 19, 25 |
19, 20, 25 |
|
D19S433 |
11,14 | 12 | 11,14 |
11, 13, 14 |
|
vWA |
17 | 17,19 | 17 |
17, 18 |
|
TPOX |
11 | 8,11 | 11 |
8, 10, 11 |
|
D18S51 |
14,19 | 14 | 13,19 |
13, 15, 16, 19 |
|
D5S818 |
12 | 13,14 | 12 | 12,13 |
|
FGA |
22,28 | 22,23 | 22,28 |
20, 22, 25, 28 |
|
amelogenina |
XY | XX | XY |
XY |
A tabela precedente apresenta os perfis genéticos de duas amostras de referência (ref 1 e ref 2) de dois suspeitos de furto e arrombamento a uma agência bancária. As amostras questionadas (quest 1 e quest 2) foram obtidas do bocal de duas garrafas de água mineral coletadas na cena de crime. A partir dessas informações e dos dados da tabela, é correto afirmar que
Provas
Com relação às substâncias que atuam no sistema nervoso central, assinale a opção correta.
Provas
De acordo com a Lei n.º 11.343, de 23 de agosto de 2006, entre os princípios e diretrizes a serem observados nas atividades de prevenção do uso indevido de drogas incluem-se o(a)
Provas
Deseja-se avaliar, por experimentos laboratoriais, amostras contendo uma mistura de proteínas e peptídeos, juntamente com outras moléculas, obtidas a partir de extratos vegetais. Em uma das etapas experimentais, os peptídeos foram enriquecidos nas amostras. Em outra etapa, a mistura de peptídeos foi diluída em ácido fórmico e submetida a uma análise cromatográfica e, em uma terceira etapa, peptídeos isolados por cromatografia foram analisados por espectrometria de massas. Sabe-se que em todas as amostras há um peptídeo de maior interesse, que é composto por 10 aminoácidos, sem repetições, e apresenta absorção máxima de luz no comprimento de onda de 215 nm.
Com pertinência à situação hipotética 12A3-I, considere que amostras de 30 plantas nativas (chamadas de N), 30 plantas transgênicas (chamadas de T) e 30 plantas cultivadas em hidroponia (chamadas de H) tenham sido analisadas e tenha sido feita a quantificação da concentração em quantidade de matéria do peptídeo-alvo em cada amostra, com o objetivo de se determinar se há diferença estatisticamente significativa entre as plantas N, T e H. Observou-se que a distribuição dos valores de concentração do peptídeo é compatível com a distribuição normal, que as amostras foram obtidas de forma aleatória e independente e que há homogeneidade de variâncias.
Assinale a opção que corresponde ao teste estatístico que deve ser aplicado para detectar se há diferença significativa quanto à concentração do peptídeo entre quaisquer dos tipos de plantas, sendo este capaz de detectar a diferença se aplicado e calculado apenas uma vez, sem repetições do teste.
Provas
Deseja-se avaliar, por experimentos laboratoriais, amostras contendo uma mistura de proteínas e peptídeos, juntamente com outras moléculas, obtidas a partir de extratos vegetais. Em uma das etapas experimentais, os peptídeos foram enriquecidos nas amostras. Em outra etapa, a mistura de peptídeos foi diluída em ácido fórmico e submetida a uma análise cromatográfica e, em uma terceira etapa, peptídeos isolados por cromatografia foram analisados por espectrometria de massas. Sabe-se que em todas as amostras há um peptídeo de maior interesse, que é composto por 10 aminoácidos, sem repetições, e apresenta absorção máxima de luz no comprimento de onda de 215 nm.
Ainda com relação à situação hipotética 12A3-I, considere que a mistura de peptídeos em solução de ácido fórmico mencionada tenha sido injetada em um sistema de cromatografia de alta eficiência, composto por coluna de fase reversa como fase estacionária, e que a fase móvel seja constituída por uma mistura de ácido fórmico 0,02 mol/L, água e acetonitrila. Durante a eluição, a concentração de acetonitrila na fase móvel aumenta gradativamente de 2% até 98% durante 60 minutos, a partir do momento em que a mistura entra em contato com a fase estacionária. Os componentes eluídos da coluna são conduzidos a um detector de comprimento de onda único, capaz de detectar apenas a absorvância das frações em 215 nm, comprimento de onda característico da região ultravioleta do espectro eletromagnético.
Considerando tais condições, assinale a opção correta.
Provas
Hidrocarbonetos policíclicos aromáticos (HPA) são compostos orgânicos formados por dois até seis anéis benzênicos. A origem desses contaminantes é a combustão incompleta da matéria orgânica e depende das condições de temperatura e pressão. De acordo com a Agência de Proteção Ambiental dos EUA — Environmental Protection Agency (EPA) —, são 16 HPA considerados prioritários para o monitoramento ambiental, cujas fórmulas estruturais são mostradas na figura a seguir. Por outro lado, o transporte desses poluentes no ambiente ocorre, principalmente, por via atmosférica. No Brasil, ainda não há uma legislação específica para os HPA, sendo, portanto, considerados os hidrocarbonetos totais.
Considere que uma amostra de ar contaminada com HPA tenha sido analisada em um laboratório que possui a Norma ISO 17.025, a qual permite a rastreabilidade dos resultados, devido, principalmente, à gestão de todos os passos analíticos.

R. O. Meire et al. Aspectos ecotoxicológicos de hidrocarbonetos
policíclicos aromáticos. In: Oecol. Bras., v. 11, n.º 2, p. 188-201, 2007 (com adaptações).
Tendo em vista as informações, a situação hipotética e a figura precedentes, assinale a opção correta.
Provas
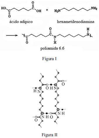
Há 90 anos, em 1927, a empresa norte-americana DuPont, em parceria com químicos da Universidade de Harvard, desenvolveu um polímero a partir da reação entre o ácido adípico e a hexametilenodiamina, que recebeu o nome de poliamida 6.6, cujo nome comercial é nylon 6-6. Ainda hoje, o nylon 6-6 é usado, industrialmente, na composição de tecidos e na fabricação de pneus, cordas etc., pelas suas propriedades de alta resistência à tensão e ao desgaste. As figuras seguintes ilustram (I) a reação da síntese da poliamida 6.6 (mostrando uma unidade polimérica) e (II) a estrutura tridimensional do nylon 6-6, denominada forma α.

I. M. Factori. Processamento e propriedades de compósitos de poliamida 6.6 reforçada com partículas de vidro reciclado. Dissertação (Mestrado) – USP, São Paulo, 2009. Internet: <http://www.teses.usp.br> (com adaptações).
Acerca desse tema, assinale a opção correta
Provas
Nos laboratórios de química orgânica, é comum encontrar os principais solventes utilizados para preparar amostras para análises químicas, extrair compostos orgânicos presentes nos alimentos e na água e também fazer diluições. Por outro lado, a escolha do solvente para a realização de qualquer um desses processos está alinhada a um princípio da química resumido na frase “semelhante dissolve semelhante”.
Considere que, em uma aula prática sobre solventes orgânicos, um estudante tenha recebido de seu professor 50 mL de solução aquosa a 2% de cafeína, com a tarefa de extrair a cafeína da solução aquosa. Para isso, foram colocados à disposição desse estudante os solventes cujas fórmulas estruturais são ilustradas na figura a seguir, que também mostra a fórmula estrutural da cafeína.

Com base na situação hipotética apresentada, para a extração da cafeína da amostra, o estudante deve escolher o(s) solvente(s)
Provas
Caderno Container