Foram encontradas 1.470 questões.
O eixo de uma máquina em condições normais de operação está sujeito a um carregamento conforme mostrado no gráfico abaixo.

Aqui
representam, respectivamente, a tensão máxima que o material do eixo pode suportar e a tensão máxima de trabalho. Nessas condições de operação, após vários ciclos de funcionamento, o eixo da máquina rompe-se. Assinale entre as opções abaixo o ensaio mecânico que um engenheiro mecânico, especialista na área de materiais, deveria solicitar ao fabricante do eixo para estimar-se a vida útil dessa peça.
Provas
Dada a curva de altura manométrica em função da vazão de uma bomba centrífuga, julgue os itens a seguir, marque com F a afirmativa falsa e com V a verdadeira e assinale a opção correta.

( ) Caso a bomba venha operar com a tubulação 1, a bomba cavitaria desde que NPSHreq < NPSHdisp,(em que req=requerida e disp=disponível)
( ) A condição mais adequada de operação da bomba dada seria com a tubulação 1, pois a mesma estaria operando em uma condição de máxima eficiência e na ausência do fenômeno de cavitação.
( ) A instalação da bomba centrífuga na tubulação 2 forneceria uma vazão menor e uma altura manométrica maior do que na condição de operação da tubulação 1.
Provas
O esquema mostrado na figura a seguir refere-se a um sistema de bombeamento cuja bomba está localizada a 0,5m acima de um reservatório de água aberto para a atmosfera (Patm = 101325 Pa). A vazão do sistema é tal que a velocidade em toda a canalização é de 2,0 m/s. A canalização de sucção é composta por um metro de tubo liso com diâmetro de 0,04 mm com fator de atrito de f=0,02, uma válvula de pé com crivo (K=3,0), uma válvula de esfera (K=10,0) e um cotovelo de 90° (K=0,4). Considere a massa específica da água igual a 1000 kg/m. Para estas condições a pressão na entrada da bomba é

Provas
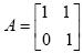
e que
então o determinante da matriz An - An-1 é igual a:Provas
Uma empresa produz andróides de dois tipos: os de tipo V, que sempre dizem a verdade, e os de tipo M, que sempre mentem. Dr. Turing, um especialista em Inteligência Artificial, está examinando um grupo de cinco andróides – rotulados de Alfa, Beta, Gama, Delta e Épsilon –, fabricados por essa empresa, para determinar quantos entre os cinco são do tipo V. Ele pergunta a Alfa: "Você é do tipo M?" Alfa responde mas Dr. Turing, distraído, não ouve a resposta. Os andróides restantes fazem, então, as seguintes declarações:

Provas
Gonçalves Dias nasceu em 1823, no Maranhão, filho de João Manuel Gonçalves, comerciante português, e de Vicência Ferreira, índia mestiça(A). Em 1838, embarcou para Portugal, onde(B) se matriculou no curso de Direito, em Coimbra. Suas primeiras produções literárias se iniciam(C) por volta de 1840, entre elas a sua mais conhecida poesia, a Canção do exílio (1843). Em 1851, em uma de suas viagens etnográficas(D) para o Norte, passa pelo Maranhão com a intenção de se casar com o grande amor de sua vida, Ana Amélia, uma jovem de 14 anos. O pedido foi recusado pela mãe da moça, por causa da origem mestiça e bastarda do poeta. O romance entre o dois serviu de inspiração para Aluísio Azevedo - O mulato. Após essa decepção amorosa, faz um casamento de conveniência. Somavam-se(E) a essas frustrações um forte sentimento de inferioridade de origem.
(Baseado em Beatriz de Moraes Vieira)
Provas
Nas questões 13 e 14, marque o item em que uma das sentenças não está gramaticalmente correta.
Provas
No que concerne à formalização dos contratos administrativos, é correto afirmar que, como regra geral, ressalvados os casos especiais previstos em lei,
Provas
Os atos administrativos, mesmo quando eivados de vícios passíveis de invalidá-los, gozam de atributo da presunção de legitimidade, o que
Provas
O sistema responsável pelo processamento dos dados relativos à preparação da elaboração orçamentária é
Provas
Caderno Container