Magna Concursos

Foram encontradas 418 questões.

493142 Ano: 2010
Disciplina: Estatística
Banca: FCC
Orgão: METRO-SP
Um grande fabricante de certo produto afirma que as unidades produzidas por sua empresa pesam em média 10 kg. Considera- se que os pesos das unidades produzidas são normalmente distribuídos. Para testar a hipótese do fabricante, selecionou-se aleatoriamente 9 unidades do produto apurando-se uma média correspondente igual a 9 kg com a soma dos quadrados dos pesos destas 9 unidades igual a 761 (kg) 2. Foram formuladas as hipóteses H0: µ = 10 kg (hipótese nula) contra H1: µ < 10 kg (hipótese alternativa).
Utilizando o teste t de Student, obtém-se que o valor da estatística t (t calculado) a ser comparado com o t tabelado é igual a
 

Provas

Questão presente nas seguintes provas
493141 Ano: 2010
Disciplina: Estatística
Banca: FCC
Orgão: METRO-SP
Em uma cidade, a média aritmética dos salários dos trabalhadores que possuem nível superior completo (Grupo 1) supera em R$ 1.000,00 a média aritmética do restante dos trabalhadores (Grupo 2). O coeficiente de variação do Grupo 1 é igual a 10% e do Grupo 2 igual a 15%. As variâncias dos salários dos 2 grupos são iguais e a quantidade de trabalhadores do Grupo 2 é o triplo da quantidade de trabalhadores do Grupo 1. A média aritmética dos salários de todos os trabalhadores desta cidade é igual a
 

Provas

Questão presente nas seguintes provas
493140 Ano: 2010
Disciplina: Matemática
Banca: FCC
Orgão: METRO-SP
A probabilidade de um indivíduo estar vivo daqui a 10 anos é igual a 3/5 da probabilidade de sua esposa estar viva daqui a 10 anos. A probabilidade de pelo menos um deles estar vivo daqui a 10 anos é igual a 4/5 . Considere que os eventos "o indivíduo estar vivo daqui a 10 anos" e "a esposa estar viva daqui a 10 anos" são independentes. Então, a probabilidade da esposa estar viva daqui a 10 anos é:
 

Provas

Questão presente nas seguintes provas
493139 Ano: 2010
Disciplina: Estatística
Banca: FCC
Orgão: METRO-SP
Seja uma população normalmente distribuída com média µ e variância unitária. Uma amostra aleatória simples (X1, X2, X3) desta população permitiu obter 3 estimadores para µ:

Y1 = 1/3 X1 + 1/3 X2 + 1/3 X3

Y2 = 1/4 X1 + 1/3 X2 + 5/12 X3

Y3 = 1/8 X1 + 1/4 X2 + 5/8 X3

De acordo com a teoria da estimação,
 

Provas

Questão presente nas seguintes provas
493138 Ano: 2010
Disciplina: Matemática
Banca: FCC
Orgão: METRO-SP
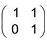
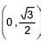
Seja a matriz M = enunciado 493138-1. Se M100 = enunciado 493138-2 então a + 1/5 b - 3 c - 10 d é igual a

 

Provas

Questão presente nas seguintes provas
493137 Ano: 2010
Disciplina: Matemática
Banca: FCC
Orgão: METRO-SP
Sabe-se que, num sistema cartesiano ortogonal xOy, o ponto P ( 8, 4√3) pertence a uma parábola com vértice na origem do sistema. O foco dessa parábola pode ser igual a

 

Provas

Questão presente nas seguintes provas
493136 Ano: 2010
Disciplina: Estatística
Banca: FCC
Orgão: METRO-SP
Geralmente, a caixa de um produto comestível apresenta o número de calorias e as quantidades de proteínas, carboidratos e gordura contidos numa porção do produto. Suponha que as quantidades para dois produtos A e B encontrados no mercado apresentem os seguintes nutrientes por porção:

Produto A Produto B

Calorias 120 100

Proteínas (g) 8 6

Carboidratos (g) 20 18

Gorduras (g) 4 2

Uma mistura, preparada com esses dois produtos, contém exatamente 240 calorias, 15 g de proteínas, 42 g de carboidratos e 6 g de gordura. Se x e y são as respectivas porções dos produtos A e B,
 

Provas

Questão presente nas seguintes provas
493134 Ano: 2010
Disciplina: Português
Banca: FCC
Orgão: METRO-SP
Estradas e viajantes

A linguagem nossa de cada dia pode ser altamente
expressiva. Não sei até quando sobreviverão expressões, ditados,
fórmulas proverbiais, modos de dizer que atravessaram o
tempo falando as coisas de um jeito muito especial, gostoso,
sugestivo. Acabarão por cair todas em desuso numa época como
a nossa, cheia de pressa e sem nenhuma paciência, ou
apenas se renovarão?

Algumas expressões são tão fortes que resistem aos
séculos. Haverá alguma língua que não estabeleça formas de
comparação entre vida e viagem, vida e caminho, vida e estrada?
O grande Dante já começava a Divina Comédia com "No
meio do caminho de nossa vida...". Se a vida é uma viagem, a
grande viagem só pode ser... a morte, fim do nosso caminho.
"Ela partiu", "Ele se foi", dizemos. E assim vamos seguindo...

Quando menino, ouvia com estranheza a frase "Cuidado,
tem boi na linha". Como não havia linha de trem nem boi
por perto, e as pessoas olhavam disfarçadamente para mim, comecei
a desconfiar, mas sem compreender, que o boi era eu;
mas como assim? Mais tarde vim a entender a tradução completa
e prosaica: "suspendamos a conversa, porque há alguém
que não deve ouvi-la". Uma outra expressão pitoresca, que eu
já entendia, era "calça de pular brejo" ou "calça de atravessar
rio", no caso de pernas crescidas ou calças encolhidas, tudo
constatado antes de pegar algum caminho.

Já adulto, vim a dar com o termo "passagem", no
sentido fúnebre. "Passou desta para melhor". Situação difícil:
"estar numa encruzilhada". Fim de vida penoso? "Também, já
está subindo a ladeira dos oitenta..." São incontáveis os exemplos,
é uma retórica inteira dedicada a imagens como essas.
Obviamente, os poetas, especialistas em imagens, se encarregam
de multiplicá-las. "Tinha uma pedra no meio do caminho",
queixou-se uma vez, e para sempre, o poeta Carlos Drummond
de Andrade, fornecendo-nos um símbolo essencial para todo e
qualquer obstáculo que um caminhante fatalmente enfrenta na
estrada da vida, neste mundo velho sem porteira...


(Peregrino Solerte, inédito)
Está correta a seguinte afirmação sobre um procedimento construtivo do texto:
 

Provas

Questão presente nas seguintes provas
Estradas e viajantes

A linguagem nossa de cada dia pode ser altamente
expressiva. Não sei até quando sobreviverão expressões, ditados,
fórmulas proverbiais, modos de dizer que atravessaram o
tempo falando as coisas de um jeito muito especial, gostoso,
sugestivo. Acabarão por cair todas em desuso numa época como
a nossa, cheia de pressa e sem nenhuma paciência, ou
apenas se renovarão?

Algumas expressões são tão fortes que resistem aos
séculos. Haverá alguma língua que não estabeleça formas de
comparação entre vida e viagem, vida e caminho, vida e estrada?
O grande Dante já começava a Divina Comédia com "No
meio do caminho de nossa vida...". Se a vida é uma viagem, a
grande viagem só pode ser... a morte, fim do nosso caminho.
"Ela partiu", "Ele se foi", dizemos. E assim vamos seguindo...

Quando menino, ouvia com estranheza a frase "Cuidado,
tem boi na linha". Como não havia linha de trem nem boi
por perto, e as pessoas olhavam disfarçadamente para mim, comecei
a desconfiar, mas sem compreender, que o boi era eu;
mas como assim? Mais tarde vim a entender a tradução completa
e prosaica: "suspendamos a conversa, porque há alguém
que não deve ouvi-la". Uma outra expressão pitoresca, que eu
já entendia, era "calça de pular brejo" ou "calça de atravessar
rio", no caso de pernas crescidas ou calças encolhidas, tudo
constatado antes de pegar algum caminho.

Já adulto, vim a dar com o termo "passagem", no
sentido fúnebre. "Passou desta para melhor". Situação difícil:
"estar numa encruzilhada". Fim de vida penoso? "Também, já
está subindo a ladeira dos oitenta..." São incontáveis os exemplos,
é uma retórica inteira dedicada a imagens como essas.
Obviamente, os poetas, especialistas em imagens, se encarregam
de multiplicá-las. "Tinha uma pedra no meio do caminho",
queixou-se uma vez, e para sempre, o poeta Carlos Drummond
de Andrade, fornecendo-nos um símbolo essencial para todo e
qualquer obstáculo que um caminhante fatalmente enfrenta na
estrada da vida, neste mundo velho sem porteira...


(Peregrino Solerte, inédito)
A frase de abertura do texto - A linguagem nossa de cada dia pode ser altamente expressiva - corresponde a uma tese
 

Provas

Questão presente nas seguintes provas
Estradas e viajantes

A linguagem nossa de cada dia pode ser altamente
expressiva. Não sei até quando sobreviverão expressões, ditados,
fórmulas proverbiais, modos de dizer que atravessaram o
tempo falando as coisas de um jeito muito especial, gostoso,
sugestivo. Acabarão por cair todas em desuso numa época como
a nossa, cheia de pressa e sem nenhuma paciência, ou
apenas se renovarão?

Algumas expressões são tão fortes que resistem aos
séculos. Haverá alguma língua que não estabeleça formas de
comparação entre vida e viagem, vida e caminho, vida e estrada?
O grande Dante já começava a Divina Comédia com "No
meio do caminho de nossa vida...". Se a vida é uma viagem, a
grande viagem só pode ser... a morte, fim do nosso caminho.
"Ela partiu", "Ele se foi", dizemos. E assim vamos seguindo...

Quando menino, ouvia com estranheza a frase "Cuidado,
tem boi na linha". Como não havia linha de trem nem boi
por perto, e as pessoas olhavam disfarçadamente para mim, comecei
a desconfiar, mas sem compreender, que o boi era eu;
mas como assim? Mais tarde vim a entender a tradução completa
e prosaica: "suspendamos a conversa, porque há alguém
que não deve ouvi-la". Uma outra expressão pitoresca, que eu
já entendia, era "calça de pular brejo" ou "calça de atravessar
rio", no caso de pernas crescidas ou calças encolhidas, tudo
constatado antes de pegar algum caminho.

Já adulto, vim a dar com o termo "passagem", no
sentido fúnebre. "Passou desta para melhor". Situação difícil:
"estar numa encruzilhada". Fim de vida penoso? "Também, já
está subindo a ladeira dos oitenta..." São incontáveis os exemplos,
é uma retórica inteira dedicada a imagens como essas.
Obviamente, os poetas, especialistas em imagens, se encarregam
de multiplicá-las. "Tinha uma pedra no meio do caminho",
queixou-se uma vez, e para sempre, o poeta Carlos Drummond
de Andrade, fornecendo-nos um símbolo essencial para todo e
qualquer obstáculo que um caminhante fatalmente enfrenta na
estrada da vida, neste mundo velho sem porteira...


(Peregrino Solerte, inédito)
As normas de concordância verbal estão plenamente observadas na frase:
 

Provas

Questão presente nas seguintes provas