Foram encontradas 418 questões.
Num depósito havia X microcomputadores que foram encaminhados ao Centro de Controle Operacional de certa Linha do Metrô. O transporte dos X micros foi executado em três etapas sucessivas, em cada uma das quais foi levado 1 micro a mais do que a metade da quantidade de micros que havia no depósito ao se entrar nele. Assim sendo, o valor de X é:
Provas
Questão presente nas seguintes provas
A tabela de frequências absolutas abaixo corresponde à distribuição das medidas de um componente industrial em que o valor da média aritmética destas medidas é igual a 3,4 metros (valor calculado considerando que todos os valores incluídos num certo intervalo de classe são coincidentes com o ponto médio deste intervalo). A frequência do 4º intervalo de classe está representada por f 4.

A respectiva mediana destas medidas, obtida pelo método da interpolação linear, apresenta o valor de

A respectiva mediana destas medidas, obtida pelo método da interpolação linear, apresenta o valor de
Provas
Questão presente nas seguintes provas
Sabe-se que na divisão de um número inteiro e positivo por 13 o quociente obtido é igual ao resto. Assim sendo, o maior número que satisfaz essa condição é tal que a soma de seus algarismos é igual a
Provas
Questão presente nas seguintes provas
Considere o seguinte problema:
“Um estacionamento tem a forma de um trapézio cuja altura mede 50 m e a área da superfície é igual a 1 500 m2. Determine as bases desse trapézio, sabendo que a medida da base menor, em metros, é um número inteiro par e a medida da base maior, em metros, é um número inteiro múltiplo de 5.”
É correto afirmar que esse problema
“Um estacionamento tem a forma de um trapézio cuja altura mede 50 m e a área da superfície é igual a 1 500 m2. Determine as bases desse trapézio, sabendo que a medida da base menor, em metros, é um número inteiro par e a medida da base maior, em metros, é um número inteiro múltiplo de 5.”
É correto afirmar que esse problema
Provas
Questão presente nas seguintes provas
- FundamentosRegra de Três
- GeometriaGeometria EspacialPrismas
- GeometriaGeometria PlanaÁreas e Perímetros
Considere que um salão, com a forma de um paralelepípedo retângulo, tem 3,5 m de altura e três paredes laterais: duas com 7,5 m de comprimento e a terceira com 4 m de comprimento. Se um pintor cobra R$ 12,00 de mão de obra por metro quadrado de superfície que pinta, então, pela pintura do teto e das faces internas das três paredes de tal salão ele cobrará
Provas
Questão presente nas seguintes provas

Provas
Questão presente nas seguintes provas
Numa reunião técnica:
- O número de mulheres que não são Agentes de Segurança é o triplo do número de homens que são Agentes de Segurança.
- O número de homens que não são Agentes de Segurança é a metade do número de mulheres que são Agentes de Segurança.
- Entre os Agentes de Segurança, o número de mulheres é o quádruplo do número de homens.
Sabendo-se que existem 90 pessoas na reunião, é verdade que o número de
- O número de mulheres que não são Agentes de Segurança é o triplo do número de homens que são Agentes de Segurança.
- O número de homens que não são Agentes de Segurança é a metade do número de mulheres que são Agentes de Segurança.
- Entre os Agentes de Segurança, o número de mulheres é o quádruplo do número de homens.
Sabendo-se que existem 90 pessoas na reunião, é verdade que o número de
Provas
Questão presente nas seguintes provas
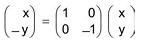
Se uma transformação linear leva cada vetor
para a sua imagem
, então
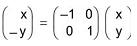
para a sua imagem
, então Provas
Questão presente nas seguintes provas
Em duas cidades A e B, deseja-se testar a hipótese de que a altura média dos habitantes adultos de A (µA) é igual a altura média dos habitantes adultos de B (µB), ou seja, foram formuladas as hipóteses H0: µA = µB (hipótese nula) contra H1: µA ? µB (hipótese alternativa). Para o teste, foram extraídas uma amostra aleatória de tamanho 400 de A e uma amostra aleatória de tamanho 500 de B, independentemente, adotando-se um nível de significância de 5%. Considere que:
I. As distribuições das alturas dos habitantes adultos de A e dos habitantes adultos de B são ambas normalmente distribuídas e de tamanho infinito.
II. As variâncias populacionais das alturas dos habitantes adultos de A e B são iguais a 640 (cm) 2 e 1.200 (cm) 2, respectivamente.
III. Na curva normal padrão Z a probabilidade P(-1,96 ≤ Z ≤ 1,96) = 95%.
IV. As médias das alturas dos habitantes adultos, em cm, encontradas nas amostras de A e B foram iguais a mA e mB, respectivamente.
H0 não será rejeitada caso (mA - mB) apresente um valor, em cm, igual a
I. As distribuições das alturas dos habitantes adultos de A e dos habitantes adultos de B são ambas normalmente distribuídas e de tamanho infinito.
II. As variâncias populacionais das alturas dos habitantes adultos de A e B são iguais a 640 (cm) 2 e 1.200 (cm) 2, respectivamente.
III. Na curva normal padrão Z a probabilidade P(-1,96 ≤ Z ≤ 1,96) = 95%.
IV. As médias das alturas dos habitantes adultos, em cm, encontradas nas amostras de A e B foram iguais a mA e mB, respectivamente.
H0 não será rejeitada caso (mA - mB) apresente um valor, em cm, igual a
Provas
Questão presente nas seguintes provas
A soma de três números inteiros positivos é igual ao maior número inteiro de 5 algarismos distintos. Se adicionarmos a cada um dos números o maior número inteiro de 3 algarismos, a nova soma será igual a
Provas
Questão presente nas seguintes provas
Cadernos
Caderno Container