Foram encontradas 283 questões.
Determinado município da federação brasileira, visando dar cumprimento a sua estratégia organizacional, implantou o programa denominado Administração Transparente. Uma das ações do referido programa consistiu na divulgação da remuneração bruta mensal, com o respectivo nome de cada servidor da municipalidade em sítio eletrônico da internet.
A partir da leitura do caso concreto acima narrado, assinale a opção que melhor exprima a posição do Supremo Tribunal Federal - STF acerca do tema.
Provas
Questão presente nas seguintes provas
Fundamentada no seu poder de autotutela administrativa, a Administração pública Federal procedeu à revisão nas vantagens concedidas a servidor público que repercutiu diretamente na sua esfera patrimonial, ocasionando-lhe diminuição remuneratória.
A partir do caso concreto acima narrado, assinale a opção que exprime a posição do Supremo Tribunal Federal − STF acerca do tema.
A partir do caso concreto acima narrado, assinale a opção que exprime a posição do Supremo Tribunal Federal − STF acerca do tema.
Provas
Questão presente nas seguintes provas
Considere os valores da variável aleatória Y observados para determinados valores da variável X.
X 1 2 3 4 5 6 7 8 9 10 11Obtenha a expressão mais próxima da reta de regressão de Y em X.
Y 9 9 6 4 16 9 10 8 19 16 26
Provas
Questão presente nas seguintes provas
Considere a cesta formada por cinco produtos A, B, C, D e E, com as seguintes relações entre seus preços e quantidades, onde p0 representa os preços e q0, as quantidades transacionadas dos produtos no início do ano e p1 os preços no fim do ano:
p0 q0 p1 / p0 - 1
A 225 0,40
B 110 0,50
C 115 0,40
D 250 0,36
E 300 0,15
Calcule o valor mais próximo da variação de preços da cesta no ano obtida pelo Índice de Preços de Laspeyres.
p0 q0 p1 / p0 - 1
A 225 0,40
B 110 0,50
C 115 0,40
D 250 0,36
E 300 0,15
Calcule o valor mais próximo da variação de preços da cesta no ano obtida pelo Índice de Preços de Laspeyres.
Provas
Questão presente nas seguintes provas
Em uma população de 50 empresas de uma região, 20 são empresas exportadoras. Retirando-se sem reposição uma amostra aleatória de tamanho 10 desta população de empresas, qual a probabilidade de que as 5 primeiras empresas escolhidas sejam empresas exportadoras e as 5 últimas não sejam exportadoras?
Provas
Questão presente nas seguintes provas
Em uma população de 50 empresas de uma região, 20 são empresas exportadoras.
Qual o valor mais próximo do número esperado de empresas exportadoras em uma amostra aleatória de tamanho 20 retirada sem reposição da população?
Qual o valor mais próximo do número esperado de empresas exportadoras em uma amostra aleatória de tamanho 20 retirada sem reposição da população?
Provas
Questão presente nas seguintes provas
Em situações práticas de pesquisa em que existe um grande número de variáveis correlacionadas, é possível aplicar uma técnica de Análise Multivariada que busca reduzir o número de variáveis sem perder muito da informação contida na matriz de covariâncias. Para isso, as variáveis originais são transformadas obtendo-se novas variáveis com propriedades ótimas de variância. Assim, a primeira nova variável é a combinação linear normalizada das variáveis originais com máxima variância. A segunda nova variável é a combinação linear normalizada das variáveis originais, não correlacionada com a primeira nova variável e com máxima variância. A terceira nova variável é ainda a combinação linear normalizada das variáveis originais agora não correlacionada com a primeira e a segunda novas variáveis e com máxima variância e assim por diante. Essa técnica de Análise Multivariada é denominada:
Provas
Questão presente nas seguintes provas
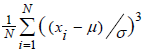
Considere os !$ N !$ valores da variável !$ x !$ que formam uma população finita e sejam
!$ \mu = {1 \over N} \sum \limits _{i=1} ^N x_i !$
!$ \sigma^2 = {1 \over N} \sum \limits _{i=1} ^N (x_i - \mu)^2 !$
!$ \sigma^2 = {1 \over N} \sum \limits _{i=1} ^N (x_i - \mu)^2 !$
seu momento de primeira ordem e momento de segunda ordem, centrado na média, respectivamente. Dessa maneira, a expressão


seria uma medida de qual característica da distribuição de !$ x !$ ?
Provas
Questão presente nas seguintes provas
Baseado em cinco níveis de envolvimento entre clientes e fornecedores durante o projeto de um novo produto, é correto afirmar:
Provas
Questão presente nas seguintes provas
O PMI estabelece nove áreas de conhecimento que englobam 42 processos de gerenciamento de projetos.
Assinale a opção em que todos os processos são da área de Gerenciamento de Integração do Projeto.
Assinale a opção em que todos os processos são da área de Gerenciamento de Integração do Projeto.
Provas
Questão presente nas seguintes provas
Cadernos
Caderno Container