Foram encontradas 300 questões.
- Estatística InferencialFunções Densidade de ProbabilidadeFunção Densidade de Probabilidade (Avançado)
Determine a constante C de modo que a função \( f(x) \begin{cases} 3. Cx^3 & 0 < x < 2 \\ 0 & Em \ caso \ contrário \end{cases} \) seja de densidade de probabilidade, assinale a opção correta.
Provas
Suponha que um dado honesto seja fogado duas vezes. Determine a probabilidade de se obter 1, 2 ou 6 na 1º jogada e 2, 3 ou 5 na 2º jogada. Assinale a opção correta,
Provas
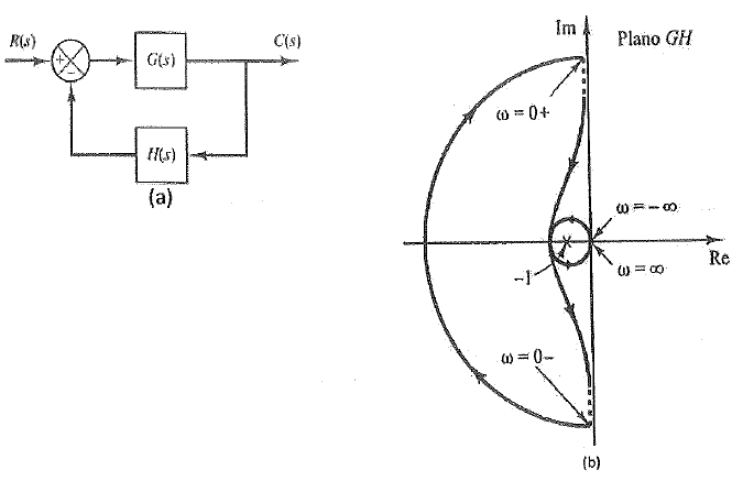
Analise a figura a seguir.

Considere que a figura (a) representa o sistema de malha fechada e que a figura (b) representa o diagrama de Nyquist desse sistema que indica que o ponto -1 +j0 é envolvido pelo lugar geométrico de G ( S) H (S) uma vez. Determine o número de polos que G(S)H(S) deve ter no semiplano direito do plano S, para o sistema ser estável e assinale a opção correta,
Provas
Observe a figura a seguir

Calcule a função de transferência relacionada a C(S) e R(S), com base na figura acima, assinale a opção correta.
Provas
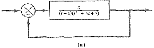
Analise as figuras a seguir.


A figura (b) representa o lugar das raízes do sistema da figura (a). Determine os valores de K para os quais o sistema é estável e assinale a opção correta.
Provas
Considere o sistema representado no espaço de estados pelas seguintes equações.
\( \begin{bmatrix} x_1 \\ x_2 \end{bmatrix} = \begin{bmatrix} -4 & 0 \\ 1 & -1 \end{bmatrix} \begin{bmatrix} x_1 \\ x_2 \end{bmatrix} + \begin{bmatrix} 1 \\ 1 \end{bmatrix} u \)
\( y = \begin{bmatrix} 1 & 0 \end{bmatrix} \begin{bmatrix} x_1 \\ x_2 \end{bmatrix} \)
Determine a função de transferência desse sistema, e, assinale a opção correta.
Provas
Considere a seguinte representação no espaço de estados de um sistema de tempo contínuo.
\( \begin{bmatrix} x_1 \\ x_2 \end{bmatrix} = \begin{bmatrix} 1 & 1 \\ k & -1 \end{bmatrix} \begin{bmatrix} x_1 \\ x_2 \end{bmatrix} + \begin{bmatrix} 1 \\ 0 \end{bmatrix} \begin{bmatrix} \mu \end{bmatrix} \)
Determine o valor de K, para que o sistema NÃO seja de estado completamente controlável, e assinale a opção correta,
Provas
Os números a = 00011 e b = 11001 são números binários com sinal no sistema de complemento a 2. Calcule a soma desses dois números, a+b e, assinale a opção que apresenta o resultado no sistema de numeração decimal.
Provas
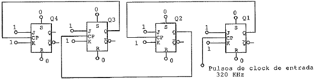
Considere um circuito digital que possui quatro Flip-Flops JK (Q4, Q3, Q2 e Ql), conforme o diagrama abaixo.

Onde:
S =PRESET
R= CLEAR
CP= CLOCK
Sabendo que pulsos de Clock de 320 KHz são aplicados no FlipFlop Q1, determine a frequência do sinal de saída (Q) do FlipFlop Q4 e assinale a opção correta.
Provas
Observe a figura a seguir.

Determine as condições de entrada necessárias para que, no circuito acima, X seja igual a zero (X = 0), e assinale a opção correta.
Provas
Caderno Container