Foram encontradas 60 questões.
Considere a sequência decrescente e finita,
3
n
,3n-1, ... , 3n-5, onde n é um número natural. Se
a mediana dos elementos dessa sequência é 54,
então, o valor de n é igual a:
Provas
Questão presente nas seguintes provas
Entre 2003 e maio de 2015, o governo
federal entregou mais de 1,1 milhão de cisternas
de água para consumo humano, no semiárido, e
121,4 mil tecnologias sociais voltadas à produção
de alimentos.
As cisternas - soluções simples para captar e armazenar água da chuva – amenizam os efeitos da seca prolongada. Com isso, é possível que uma família de cinco pessoas possa conviver com a estiagem por até oito meses.
Disponível em:https://www.gov.br/casacivil/pt-br/assuntos/noticias/2015/junho/ construcao-de-cisternas-prepara-agricultores-para-seca-no-semiarido. Acesso em: 04 jul.2022.
As cisternas modernas são feitas de polietileno de alta resistência e permitem o armazenamento de água de chuva ou água potável.
Supondo que a água armazenada na cisterna seja própria para consumo humano e que cada pessoa necessite, em média, de 2400 ml de água potável por dia para sua sobrevivência, durante quantos meses uma família de 5 pessoas poderá se beneficiar, apenas para consumo, da água acumulada na cisterna, cujas dimensões são A = 1,50 m e B = 2,20 m, supondo-a cheia até o tampo e sem reabastecimento?
(Considere um mês com 30 dias e π = 3,14).
As cisternas - soluções simples para captar e armazenar água da chuva – amenizam os efeitos da seca prolongada. Com isso, é possível que uma família de cinco pessoas possa conviver com a estiagem por até oito meses.
Disponível em:https://www.gov.br/casacivil/pt-br/assuntos/noticias/2015/junho/ construcao-de-cisternas-prepara-agricultores-para-seca-no-semiarido. Acesso em: 04 jul.2022.
As cisternas modernas são feitas de polietileno de alta resistência e permitem o armazenamento de água de chuva ou água potável.
Supondo que a água armazenada na cisterna seja própria para consumo humano e que cada pessoa necessite, em média, de 2400 ml de água potável por dia para sua sobrevivência, durante quantos meses uma família de 5 pessoas poderá se beneficiar, apenas para consumo, da água acumulada na cisterna, cujas dimensões são A = 1,50 m e B = 2,20 m, supondo-a cheia até o tampo e sem reabastecimento?
(Considere um mês com 30 dias e π = 3,14).
Provas
Questão presente nas seguintes provas
Em demanda judicial, promovida por ex-servidor público municipal, o município ALPHA
acabou por receber uma sentença condenatória,
em primeiro grau, ao pagamento de valores
remuneratórios, de natureza trabalhista, frutos
da relação irregular de um contrato temporário.
Diante da demanda, o município ALPHA recorreu
em todas as instâncias, não logrando êxito, sendo mantida a condenação no pagamento do
valor de R$ 200 mil reais ao ex-servidor público
municipal. Dessa forma, retornando o processo
para cumprimento de sentença, o magistrado
de 1ª instância determinou o bloqueio de todas
as contas do município ALPHA, para fins de
pagamento da dívida trabalhista, fato que atingiu
o valor de R$ 150 mil reais em conta do Fundo
de Manutenção e Desenvolvimento da Educação
Básica e de Valorização dos Profissionais da
Educação (Fundeb).
Dessa forma, diante do caso hipotético, é CORRETO afirmar:
Dessa forma, diante do caso hipotético, é CORRETO afirmar:
Provas
Questão presente nas seguintes provas
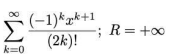
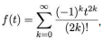
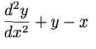
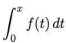
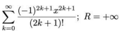
Considerando que
a
alternativa correta que contém, respectivamente,
e raio de convergência de f(t) é:
Provas
Questão presente nas seguintes provas
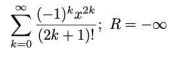
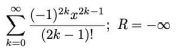
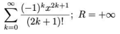
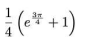
Seja a série de potências representada
por
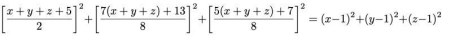
o valor da
expressão
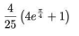
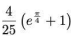
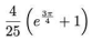
é igual a:
o valor da
expressão
é igual a:Provas
Questão presente nas seguintes provas
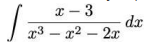
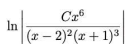
Uma solução para a integral indefinida
está na alternativa:
Provas
Questão presente nas seguintes provas
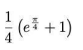
Calculando o valor da integral definida, a
seguir,
obtemos o resultado que está na alternativa:
obtemos o resultado que está na alternativa:Provas
Questão presente nas seguintes provas
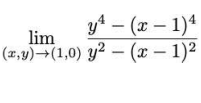
O valor do limite
é igual a:
Provas
Questão presente nas seguintes provas
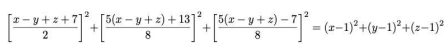
Uma superfície é obtida pela rotação da curva
quando gira em torno do eixo
A equação dessa superfície é igual a:
quando gira em torno do eixo
A equação dessa superfície é igual a:Provas
Questão presente nas seguintes provas
A reta que contém o ponto A=(1,-2,3) e é concorrente com as retas reversas
tem equação vetorial igual a :
tem equação vetorial igual a :Provas
Questão presente nas seguintes provas
Cadernos
Caderno Container