Foram encontradas 60 questões.
Se uma elipse tem focos nos pontos
F1 = (−1,1) e F2 = (1,2) e o comprimento do seu
eixo maior é 2a = 4, então sua equação é dada
pela expressão:
Provas
Questão presente nas seguintes provas
Os termos
formam
uma progressão aritmética de termos positivos e
razão
Considere que a primeira metade
desses termos foram agrupados em um grupo A e
a segunda metade em grupo
com média igual
a
Se o menor dos termos do grupo A passar
para o grupo
formando o grupo
passando
a ter uma nova média
o que podemos dizer
sobre as médias aritméticas dos grupos 
formam
uma progressão aritmética de termos positivos e
razão
Considere que a primeira metade
desses termos foram agrupados em um grupo A e
a segunda metade em grupo
com média igual
a
Se o menor dos termos do grupo A passar
para o grupo
formando o grupo
passando
a ter uma nova média
o que podemos dizer
sobre as médias aritméticas dos grupos 
Provas
Questão presente nas seguintes provas
Seja
um vetor de módulo igual a
e
um outro vetor, no mesmo espaço, com módulo
unitário. Qual o menor ângulo entre os vetores
para que a projeção ortogonal de
na
direção de
seja igual
?
um vetor de módulo igual a
e
um outro vetor, no mesmo espaço, com módulo
unitário. Qual o menor ângulo entre os vetores
para que a projeção ortogonal de
na
direção de
seja igual
?Provas
Questão presente nas seguintes provas
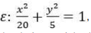
Dada a elipse
qual o
valor da área (em unidades de área u.a) do triângulo
determinado pelos pontos
e
onde é o ponto de tangência
da reta que passa por
com a elipse
?
qual o
valor da área (em unidades de área u.a) do triângulo
determinado pelos pontos
e
onde é o ponto de tangência
da reta que passa por
com a elipse
?Provas
Questão presente nas seguintes provas
Seja
um operador linear tal
que, para todo
o segmento
de reta que liga
é vertical
e tem seu ponto médio sobre a reta
A
alternativa que contém a expressão CORRETA do
operador linear é:
um operador linear tal
que, para todo
o segmento
de reta que liga
é vertical
e tem seu ponto médio sobre a reta
A
alternativa que contém a expressão CORRETA do
operador linear é:Provas
Questão presente nas seguintes provas
Seja
a rotação de um ângulo
em torno do eixo
no sentido anti-horário,
cuja matriz, em relação à base canônica do
é dada por
Considerando
o ângulo
a respeito de
é CORRETO
afirmar:
a rotação de um ângulo
em torno do eixo
no sentido anti-horário,
cuja matriz, em relação à base canônica do
é dada por
Considerando
o ângulo
a respeito de
é CORRETO
afirmar:Provas
Questão presente nas seguintes provas
Seja a sequência
cujo termo geral é
dado por
, onde
tal que
. Sobre a convergência de
é
correto afirmar:
cujo termo geral é
dado por
, onde
tal que
. Sobre a convergência de
é
correto afirmar:Provas
Questão presente nas seguintes provas
O desenvolvimento do cálculo diferencial
teve suas origens no século XVII resultado de
problemas sobre tangente à curvas e de questões
de máximos e mínimos. Anos depois, foram
desenvolvidas regras de derivação e derivada das
principais funções elementares.
Faça a associação correta entre as duas colunas, relacionando a função à sua derivada correspondente.

Assinale a alternativa que apresenta a associação CORRETA entre números e letras:
Faça a associação correta entre as duas colunas, relacionando a função à sua derivada correspondente.

Assinale a alternativa que apresenta a associação CORRETA entre números e letras:
Provas
Questão presente nas seguintes provas
Quando se entende parcialmente uma
teoria, é possível que se chegue a muitos
absurdos por inobservâncias das condições para
aplicar determinados resultados matemáticos.
Foi isso essencialmente o que aconteceu com
a análise, durante o século seguinte à invenção
do cálculo diferencial e integral, tendo como
resultado uma acumulação de absurdos. Observe
os procedimentos abaixo:
Considere a integral
Marque a alternativa CORRETA que justifica a razão do absurdo demonstrado.
Considere a integral
Marque a alternativa CORRETA que justifica a razão do absurdo demonstrado.
Provas
Questão presente nas seguintes provas
Para vender bolas de basquete foram
encomendadas embalagens unitárias em formato
de tetraedros regulares, com a condição que partes
de cada bola tenham suas superfícies externas à
embalagem. Assim, cada bola terá quatro calotas
esféricas idênticas à mostra, conforme a ilustração
a seguir:
Considere que todas as bolas de basquete tenham o mesmo raio e que elas devem ser tangentes às arestas da embalagem em formato de tetraedro regular. Sabendo que o diâmetro de cada bola de basquete mede 72 cm, determine a medida da aresta de uma embalagem.
Considere que todas as bolas de basquete tenham o mesmo raio e que elas devem ser tangentes às arestas da embalagem em formato de tetraedro regular. Sabendo que o diâmetro de cada bola de basquete mede 72 cm, determine a medida da aresta de uma embalagem.
Provas
Questão presente nas seguintes provas
Cadernos
Caderno Container