Foram encontradas 399 questões.
Considere as seguintes afirmações sobre o modelo de dados relacional e as restrições de integridade em bancos de dados relacionais:
I. O modelo relacional representa o banco de dados como uma coleção de relações. Cada relação é definida como um conjunto de tuplas obrigatoriamente ordenado.
II. A restrição de integridade de entidade determina que nenhum valor de chave primária pode ser NULL.
III. A restrição de integridade referencial é especificada entre duas relações e usada para manter a consistência entre tuplas nessas duas relações. Informalmente, a restrição de integridade referencial afirma que uma tupla em uma relação que referencia outra relação precisa se referir a uma tupla existente nessa relação.
Provas
Questão presente nas seguintes provas
O projeto de um controlador para um determinado sistema pode atender a diversos requisitos de estabilidade e desempenho do sistema final. Sobre as afirmativas abaixo:
I. Sistemas térmicos são geralmente lineares em sua essência.
II. Um sistema linear satisfaz sempre as propriedades de superposição e homogeneidade.
III. Dentre as não linearidades comuns em sistemas físicos, estão o atraso de transporte, a saturação e a variação de parâmetros no tempo.
Está (ão) correta (s) apenas a (s) afirmativa (s)
Provas
Questão presente nas seguintes provas
Você está se preparando para acampar e precisa levar gás butano para aquecer água. Considere que, para aquecer 1 L de água de 17°C até a temperatura de ebulição (ignorando as perdas de calor), é necessário obter 400 kJ de calor e que a equação termoquímica de combustão do butano é: 2 C4H10 (g) + 13 O2 (g) → 8 CO2 (g) + 10 H2O (l) !$ \Delta H° !$ = - 5756 kJ
A quantidade, em massa (g), de butano necessária para aquecer a água será aproximadamente igual a
Provas
Questão presente nas seguintes provas
Duas esferas condutoras A e B possuem raios 1,0 cm e 3,0 cm, respectivamente. Inicialmente, a esfera A encontra-se neutra enquanto a esfera B possui uma carga !$ q_B = -16μC !$ .
Qual é o módulo da força elétrica resultante que age entre elas, após colocarmo-las em contato e separarmo-las por uma distância de 20 cm? Considere que as esferas encontram-se no vácuo.
Provas
Questão presente nas seguintes provas
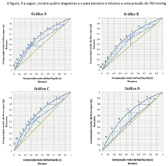
O número de pratos teóricos de uma coluna de destilação para uma mistura de benzeno-tolueno foi calculado utilizando a resolução gráfica de McCabe-Thiele, considerando-se as hipóteses a seguir:
- a coluna não apresenta fugas térmicas;
- a coluna opera a pressão de 760 mmHg, sendo todas as quedas de pressão, dentro da coluna, desprezíveis;
- a composição molar da alimentação é de 47% de benzeno, estando hipoteticamente numa temperatura e pressão que fazem a mistura encontrar-se no estado de líquido saturado;
- o condensador total condensa todo o vapor sem resfriar o condensado abaixo de seu ponto de ebulição;
- o calor fornecido à mistura é efetuado por um refervedor parcial e considerado como um prato de separação.

Figura 9: Diagramas y-x para benzeno e tolueno a uma pressão de 760 mmHg, usados na determinação do número teórico de pratos, através do método de resolução gráfica de McCabe-Thiele.
Sabendo que a coluna real possui 14 pratos e considerando as observações anteriormente mencionadas, a eficiência global aproximada da coluna e o gráfico que melhor representa a resolução por McCabe-Thiele são
Provas
Questão presente nas seguintes provas
Niels Bohr foi um físico dinamarquês responsável por aperfeiçoar a teoria atômica proposta por Rutherford (sistema planetário), que se tornou falha para explicar, dentre outras coisas, o porquê de o elétron não perder energia durante os movimentos de rotação em torno do núcleo e colidir com ele, mas permanecer em órbita constante sem tornar o átomo instável. Baseando-se nos fundamentos de Max Planck, Bohr reformulou a teoria atômica estabelecendo alguns postulados.
Qual alternativa apresenta corretamente um dos postulados de Bohr?
Provas
Questão presente nas seguintes provas
Qual é o maior raio da 1ª zona de Fresnel para uma onda de rádio com frequência de 1,5GHz num percurso de 40km?
Provas
Questão presente nas seguintes provas
Qual formato de arquivo gerado por exportação, no AutoCAD, possibilita passar um projeto do AutoCAD para o 3DS Max sem que os materiais ou mapeamentos sejam perdidos?
Provas
Questão presente nas seguintes provas
Assinale com V (verdadeiro) e F (falso) as afirmações apresentadas.
Ao projetar-se uma peça para ser fundida, deve-se:
( ) Evitar cantos e ângulos. Curvas e filetes devem ser utilizados pelo designer para assegurar o fluxo uniforme do metal líquido. Áreas planas também devem ser evitadas, pois têm tendência a dobrar e, frequentemente, resultam em superfícies de má qualidade.
( ) Prever conicidade para melhor confecção do molde. O chamado “ângulo de saída” recomendado é de 3 graus.
( ) Deixar sobremetal para posterior usinagem.
( ) Desconsiderar a contração do metal ao solidificar, uma vez que a contração do material é mínima.
A sequência correta de preenchimento dos parênteses, de cima para baixo, é
Provas
Questão presente nas seguintes provas
Um volume de 10,0 mL de uma solução alcoólica é diluído em água até 500,0 mL (solução A). Uma alíquota de 10,0 mL da solução A é destilada e o etanol é coletado em 50,00 mL de uma solução ácida (H2SO4) contendo K2Cr2O7 0,1000 eq L-1, onde é oxidado à ácido acético. O excesso de K2Cr2O7 não reagido é titulado com 16,24 mL de Fe2+ 0,1006 eq L-1, conforme descrevem as reações abaixo:
2Cr2O72- + 3C2H5OH + 16H+ → 4Cr3+ + 3CH3COOH + 11H2O
Cr2O72- + 6Fe2+ + 14H+ → 2Cr3+ + 6Fe3+ + 7H2O
Qual a percentagem (%p/v) de etanol na amostra?
Provas
Questão presente nas seguintes provas
Cadernos
Caderno Container