Magna Concursos

Foram encontradas 1.000 questões.

3553313 Ano: 2025
Disciplina: Matemática
Banca: IF-SUL
Orgão: IF-SUL

A expansão binomial é uma ferramenta importante no estudo da álgebra, pode ser utilizada para simplificar cálculos ou para compreender relações entre variáveis de uma função. Ao expandir um binômio elevado a uma potência inteira e positiva identifica-se um polinômio que pode ser analisado para determinar o valor de coeficientes específicos. O desenvolvimento da potência \( \left(x^2-2\right)^{10} \) , por exemplo, resulta em polinômio na variável \( x \).

O coeficiente de \( x^2 \) no polinômio obtido por meio do desenvolvimento indicado é igual a

 

Provas

Questão presente nas seguintes provas
3553312 Ano: 2025
Disciplina: Química
Banca: IF-SUL
Orgão: IF-SUL
A espectrofotometria UV-VIS pode ser usada para quantificar, por exemplo, a concentração de alguns componentes de fármacos ou alimentos.

Em relação a esse método de análise instrumental, é correto afirmar que
 

Provas

Questão presente nas seguintes provas
3553311 Ano: 2025
Disciplina: Sociologia
Banca: IF-SUL
Orgão: IF-SUL

Leia o fragmento a seguir:

“Argumento que a divisão sexual do trabalho é um lócus importante da produção do gênero. O fato de ela não incidir igualmente sobre todas as mulheres implica que a produção do gênero que assim se dá é racializada e atende a uma dinâmica de classe”.

(BIROLI, Flávia. Gênero e Desigualdades: limites da democracia no Brasil. São Paulo: Boitempo, 2018 - p. 23.)

Tomando como referência a argumentação da autora, analise as afirmativas abaixo e classifique V, para as sentenças verdadeiras, e F, para as falsas.

( ) As hierarquias de gênero nas sociedades contemporâneas têm na divisão sexual do trabalho uma base fundamental.

( ) A divisão sexual do trabalho modula as trajetórias das mulheres em sociedade, à medida que ativa restrições e desvantagens.

( ) A existência de hierarquias de gênero independe de outros fatores, como posições de raça e classe das mulheres.

( ) A divisão sexual do trabalho não se relaciona com o acesso das mulheres à esfera política.

A sequência correta, de cima para baixo, é

 

Provas

Questão presente nas seguintes provas
3553310 Ano: 2025
Disciplina: Agronomia (Engenharia Agronômica)
Banca: IF-SUL
Orgão: IF-SUL

Para que a atividade celular seja normal, o animal precisa ter seu ambiente interno estável com relação às flutuações de temperatura do ambiente externo. Em relação à temperatura corporal dos animais, analise as afirmativas a seguir:

I. O animal homeotermo mantém a temperatura do núcleo corporal dentro de limites relativamente estreitos, mesmo que a temperatura ambiental flutue e sua atividade varie intensamente.

II. Quando o ambiente externo é tão frio que a máxima resposta metabólica do animal não consegue manter sua temperatura, a taxa metabólica e a temperatura retal declinam.

III. Para bovinos, são aceitas temperaturas do núcleo corporal próximas a 38,5ºC.

Estão corretas as afirmativas

 

Provas

Questão presente nas seguintes provas
3553309 Ano: 2025
Disciplina: Pedagogia
Banca: IF-SUL
Orgão: IF-SUL
Em seu livro Educar pela Pesquisa, Galiazzi (2003) apresenta a educação pela pesquisa como possibilidade de integração do currículo pela pesquisa.
Neste contexto, a autora visa minimizar um dos problemas da licenciatura que é a
 

Provas

Questão presente nas seguintes provas
3553308 Ano: 2025
Disciplina: Pedagogia
Banca: IF-SUL
Orgão: IF-SUL
De acordo com Giordan (2015), “a __________ é hoje vista por muitos países como estratégia básica para sustentar o desenvolvimento econômico e social. Dotar as escolas de currículos de Ciências mais adequados às demandas da sociedade contemporânea, preparar os professores para desenvolver atividades de __________ a partir deles e gestar espaços de divulgação para a cultura científica são metas que os países desenvolvidos perseguem há algumas décadas e para as quais têm destinado recursos de monta.”
As palavras que preenchem, correta e respectivamente, as lacunas são:
 

Provas

Questão presente nas seguintes provas
3553307 Ano: 2025
Disciplina: Química
Banca: IF-SUL
Orgão: IF-SUL
Isomeria, muito mais do que meramente coincidência de fórmulas químicas, traz importantes relações entre diferentes substâncias.

Considerando esse fato, é correto afirmar que
 

Provas

Questão presente nas seguintes provas
3553306 Ano: 2025
Disciplina: Matemática
Banca: IF-SUL
Orgão: IF-SUL

O afixo do número complexo \( \sqrt{3}+i \) determina um dos vértices de um quadrado inscrito em uma circunferência com centro na origem do plano de Argand-Gauss. Esse quadrado possui um vértice em cada quadrante.

O vértice que está localizado no quarto quadrante é a imagem do número complexo:

 

Provas

Questão presente nas seguintes provas
3553305 Ano: 2025
Disciplina: Química
Banca: IF-SUL
Orgão: IF-SUL
Considere os dados de calor de hidrogenação dos seguintes isômeros do buteno:

Enunciado 4352402-1
(Fonte: SOLOMONS, T.W. Graham e FRYHLE, Craig B. Química Orgânica. 7ª Edição. Rio de Janeiro: LTC - Livros Técnicos e Científicos, 2000, p. 239)
As diferenças de calores de hidrogenação são explicadas pela diferença
 

Provas

Questão presente nas seguintes provas
3553304 Ano: 2025
Disciplina: Geografia
Banca: IF-SUL
Orgão: IF-SUL
Provas:

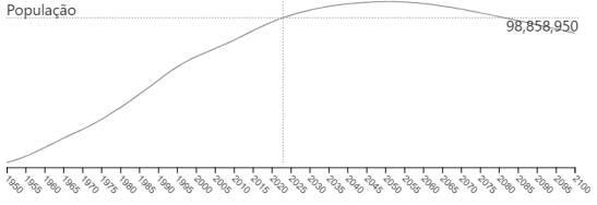
Observe a imagem a seguir sobre o efetivo populacional:

Figura 9

Enunciado 4190445-1

Enunciado 4190445-2

Disponível em:<https://www.populationpyramid.net/pt/vietname/2023/#google_vignette>. Acesso em: 05 set. 2024.

Analise as afirmativas a seguir:

I. Trata-se de um país de população jovem, o que é demonstrado no alargamento da base e no estreitamento do topo na pirâmide, no ano do levantamento.

II. Tem um significativo crescimento populacional até, pelo menos, a década de 2020, mas que pode estagnar e diminuir nas próximas décadas, devido à redução dos índices de fecundidade.

III. Possui um maior número de população feminina no corpo e no ápice da pirâmide, o que evidencia uma expectativa de vida maior do que a masculina.

IV. Demonstra um número maior de crianças e jovens do sexo masculino, o que é explicado por questões sociais, culturais e religiosas presentes no referido país.

Estão corretas apenas as afirmativas

 

Provas

Questão presente nas seguintes provas