Foram encontradas 40 questões.

Provas

Provas

Provas

Provas
Os recentes casos de rompimento de barragens como Mariana e Brumadinho geraram uma grande preocupação em relação as demais barragens existentes no país. Suponha que em uma determinada barragem, foi identificada uma pequena ruptura, de forma que os dejetos sejam expelidos a uma taxa d(t )=10e-0,01t litros por minuto.
A quantidade de dejeto vazado nas primeiras 5 horas é? (Considere e = 2,7)
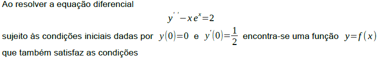
Provas

Provas


Provas
De acordo com Lei nº 11.892, de 29 de Dezembro de 2008, os Institutos Federais são instituições de educação superior, básica e profissional, pluricurriculares e multicampi, especializados na oferta de educação profissional e tecnológica. Considerando a especificidade da educação profissional e tecnológica, analise as afirmativas a seguir.
I. O professor na educação profissional também atuará nos programas de formação inicial e continuada de trabalhadores; no ensino técnico nas formas concomitante, subsequente e integrado ao ensino médio; no ensino técnico quando ministrado de forma articulada com a educação de jovens e adultos.
II. O professor da rede federal da educação profissional e tecnológica tem o desafio de ensinar seus estudantes para que eles compreendam o mundo do trabalho de forma crítica e reflexiva.
III. A docência na educação profissional não requer necessariamente um profissional que seja, essencialmente, um sujeito da pesquisa, mas que esteja comprometido com sua atualização permanente na área de formação específica e pedagógica.
IV. A formação para o mundo do trabalho é essencial na educação profissional, dessa forma as ações de permanência e êxito não constituem políticas de atendimento aos discentes durante o seu percurso formativo.
V. Os cursos ofertados pelos Institutos Federias podem ser organizados por eixos tecnológicos, possibilitando a construção de diferentes itinerários que abrangem desde da formação inicial e continuada até a pós-graduação.
Assinale a opção CORRETA:
Provas
Considerando a legislação educacional brasileira, assinale a alternativa INCORRETA:
Provas
- UniãoExecutivoDecreto 1.171/1994: Código de Ética do Servidor Público Civil do Poder Executivo Federal
Considerando as normas abaixo, numere as assertivas:
1. Código de Ética do Servidor Público Federal.
2. Estatuto do Servidor Público Federal.
3. Lei da Carreira do Magistério Federal.
4. Lei do Processo Administrativo Federal.
( ) É vedado ao servidor usar de artifícios para procrastinar ou dificultar o exercício regular de direito por qualquer pessoa, causando-lhe dano moral ou material.
( ) A Administração Pública obedecerá, dentre outros, aos princípios da legalidade, finalidade, motivação, razoabilidade, proporcionalidade, moralidade, ampla defesa, contraditório, segurança jurídica, interesse público e eficiência.
( ) O regime de 40 (quarenta) horas com dedicação exclusiva implica o impedimento do exercício de outra atividade remunerada, pública ou privada, com as exceções previstas na lei.
( ) São devedores do servidor manter conduta compatível com a moralidade administrativa, ser assíduo e pontual ao serviço e tratar com urbanidade as pessoas.
A alternativa que a apresenta a relação e sequência CORRETA é:
Provas
Caderno Container