Foram encontradas 340 questões.
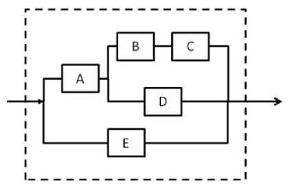
Cinco componentes (A, B, C, De E), com confiabilidades de 0,991, 0,998, 0,975, 0,964 e 0,990, respectivamente, estão ligados conforme a figura a seguir. A confiabilidade do sistema é de:

Provas
Pedro é taxista. Ele cobra R$ 5,00 pela bandeirada e mais R$ 2,50 por cada quilômetro rodado. Sabendo-se que Thiago pagou a Pedro R$ 30,00 pela corrida, podemos afirmar que a distância percorrida por Thiago foi de:
Provas
RAÍZES DO BRASIL
Nas formas de vida coletiva podem assinalar-se dois princípios que se combatem e regulam diversamente as atividades dos homens. Esses dois princípios encarnam-se nos tipos do aventureiro e do trabalhador. Já nas sociedades rudimentares, manifestam-se eles, segundo sua predominância, na distinção fundamental entre os povos caçadores ou coletores e os povos lavradores. Para uns, o objeto final, a mira de todo esforço, o ponto de chegada, assume relevância tão capital que chega a dispensar, por secundários, por supérfluos, todos os processos intermediários. Seu ideal será colher o fruto sem plantar a árvore.
Esse tipo humano ignora as fronteiras. No fundo, tudo se apresenta a ele em generosa amplitude e, onde quer que se erija um obstáculo a seus propósitos ambiciosos, sabe transformar esse obstáculo em trampolim.
Vive dos espaços ilimitados, dos projetos vastos, dos horizontes distantes. O trabalhador, ao contrário, é aquele que enxerga primeiro a dificuldade a vencer, não o triunfo a alcançar. O esforço lento, pouco compensador e persistente, que, no entanto, mede todas as possibilidades de desperdício e sabe tirar o máximo proveito do insignificante, tem sentido nítido para ele. Seu campo visual é naturalmente restrito. A parte, maior que o todo.
Existe uma ética do trabalho, como existe uma ética da aventura. Assim, o indivíduo do tipo trabalhador só atribuirá valor moral positivo às ações que sente ânimo de praticar e, inversamente, terá por imorais e detestáveis as qualidades próprias do aventureiro: audácia, imprevidência, irresponsabilidade, instabilidade, vagabundagem, tudo, enfim, quanto se relacione com a concepção espaçosa do mundo, característica desse tipo.
Por outro lado, as energias e esforços que se dirigem a uma recompensa imediata são enaltecidos pelos aventureiros, as energias que visam à estabilidade, à paz, à segurança pessoal e aos esforços sem perspectivas de rápido proveito passam, ao contrário, por viciosos e desprezíveis para eles. Nada lhes parece mais estúpido e mesquinho do que o ideal do trabalhador.
(HOLANDA Sérgio Buarque de.Raízes do Brasil. São Paulo: Companhia das Letras, 1999.)
A expressão “Por outro lado [...|” prepara o leitor para a ideia de que
Provas
RAÍZES DO BRASIL
Nas formas de vida coletiva podem assinalar-se dois princípios que se combatem e regulam diversamente as atividades dos homens. Esses dois princípios encarnam-se nos tipos do aventureiro e do trabalhador. Já nas sociedades rudimentares, manifestam-se eles, segundo sua predominância, na distinção fundamental entre os povos caçadores ou coletores e os povos lavradores. Para uns, o objeto final, a mira de todo esforço, o ponto de chegada, assume relevância tão capital que chega a dispensar, por secundários, por supérfluos, todos os processos intermediários. Seu ideal será colher o fruto sem plantar a árvore.
Esse tipo humano ignora as fronteiras. No fundo, tudo se apresenta a ele em generosa amplitude e, onde quer que se erija um obstáculo a seus propósitos ambiciosos, sabe transformar esse obstáculo em trampolim.
Vive dos espaços ilimitados, dos projetos vastos, dos horizontes distantes. O trabalhador, ao contrário, é aquele que enxerga primeiro a dificuldade a vencer, não o triunfo a alcançar. O esforço lento, pouco compensador e persistente, que, no entanto, mede todas as possibilidades de desperdício e sabe tirar o máximo proveito do insignificante, tem sentido nítido para ele. Seu campo visual é naturalmente restrito. A parte, maior que o todo.
Existe uma ética do trabalho, como existe uma ética da aventura. Assim, o indivíduo do tipo trabalhador só atribuirá valor moral positivo às ações que sente ânimo de praticar e, inversamente, terá por imorais e detestáveis as qualidades próprias do aventureiro: audácia, imprevidência, irresponsabilidade, instabilidade, vagabundagem, tudo, enfim, quanto se relacione com a concepção espaçosa do mundo, característica desse tipo.
Por outro lado, as energias e esforços que se dirigem a uma recompensa imediata são enaltecidos pelos aventureiros, as energias que visam à estabilidade, à paz, à segurança pessoal e aos esforços sem perspectivas de rápido proveito passam, ao contrário, por viciosos e desprezíveis para eles. Nada lhes parece mais estúpido e mesquinho do que o ideal do trabalhador.
(HOLANDA Sérgio Buarque de.Raízes do Brasil. São Paulo: Companhia das Letras, 1999.)
De acordo com a leitura de Raízes do Brasil, de Sérgio Buarque de Holanda, a alternativa cuja associação está incorreta é
Provas
Uma micro fábrica de bombons recheados produz 2400 bombons por dia. Nessa fábrica trabalham seis empregados durante seis horas diárias. Para reduzir gastos, o dono da fábrica demitiu dois empregados. Sabendo-se que os empregados que restaram, continuam trabalhando o mesmo número de horas por dia, a quantidade diária de bombons que passaram a ser produzidos será de:
Provas
Reinaugurar a ação supervisora na escola e nos sistemas de ensino significou para nós fazer uma viagem de retorno às ações próprias do supervisor no exercício do trabalho já realizado, do que vem realizando e do que poderá vir a realizar.
(Medina, Antonia. Nove Olhares sobre a Supervisão, 1997.)
No artigo Supervisor Escolar: parceiro político-pedagógico do professor, Medina apresenta uma espécie de paralelo entre a ação supervisora “tradicional” e a ação supervisora “renovada”. Com base em suas reflexões, analise as ações descritas abaixo, considerando T para tradicional ou R para renovada.
( ) Ter como objetivo a harmonia do grupo.
( ) Trabalhar, buscando criar demandas.
( ) Ter comportamento de neutralidade.
( ) Ser um facilitador.
( ) Ser um problematizador.
Assinale a alternativa cujas letras, de cima para baixo, representam a sequência correta.
Provas
RAÍZES DO BRASIL
Nas formas de vida coletiva podem assinalar-se dois princípios que se combatem e regulam diversamente as atividades dos homens. Esses dois princípios encarnam-se nos tipos do aventureiro e do trabalhador. Já nas sociedades rudimentares, manifestam-se eles, segundo sua predominância, na distinção fundamental entre os povos caçadores ou coletores e os povos lavradores. Para uns, o objeto final, a mira de todo esforço, o ponto de chegada, assume relevância tão capital que chega a dispensar, por secundários, por supérfluos, todos os processos intermediários. Seu ideal será colher o fruto sem plantar a árvore.
Esse tipo humano ignora as fronteiras. No fundo, tudo se apresenta a ele em generosa amplitude e, onde quer que se erija um obstáculo a seus propósitos ambiciosos, sabe transformar esse obstáculo em trampolim.
Vive dos espaços ilimitados, dos projetos vastos, dos horizontes distantes. O trabalhador, ao contrário, é aquele que enxerga primeiro a dificuldade a vencer, não o triunfo a alcançar. O esforço lento, pouco compensador e persistente, que, no entanto, mede todas as possibilidades de desperdício e sabe tirar o máximo proveito do insignificante, tem sentido nítido para ele. Seu campo visual é naturalmente restrito. A parte, maior que o todo.
Existe uma ética do trabalho, como existe uma ética da aventura. Assim, o indivíduo do tipo trabalhador só atribuirá valor moral positivo às ações que sente ânimo de praticar e, inversamente, terá por imorais e detestáveis as qualidades próprias do aventureiro: audácia, imprevidência, irresponsabilidade, instabilidade, vagabundagem, tudo, enfim, quanto se relacione com a concepção espaçosa do mundo, característica desse tipo.
Por outro lado, as energias e esforços que se dirigem a uma recompensa imediata são enaltecidos pelos aventureiros, as energias que visam à estabilidade, à paz, à segurança pessoal e aos esforços sem perspectivas de rápido proveito passam, ao contrário, por viciosos e desprezíveis para eles. Nada lhes parece mais estúpido e mesquinho do que o ideal do trabalhador.
(HOLANDA Sérgio Buarque de.Raízes do Brasil. São Paulo: Companhia das Letras, 1999.)
Segundo as informações do texto, para os aventureiros, nas sociedades primitivas,
Provas
Um produto de demanda estacionária registrou os seguintes valores de demanda nos últimos meses.
| Mês | Janeiro | Fevereiro | Março | Abril | Maio | Junho |
| Demanda | 270 | 270 | 210 | 270 | 240 | 220 |
O valor da demanda prevista para o mês de julho, utilizando-se para o cálculo o método da média móvel simples com horizonte de tempo de 4 meses, é de:
Provas
Com que cor o Microsoft Office Word 2003 sublinha o texto identificado como erro gramatical?
Provas
Constituem metabólitos tóxicos produzidos pelos bolores:
Provas
Caderno Container