Magna Concursos

Foram encontradas 600 questões.

355110 Ano: 2018
Disciplina: TI - Redes de Computadores
Banca: FADESP
Orgão: IF-PA
Sobre a arquitetura TCP/IP e o modelo OSI, é correto afirmar que
 

Provas

Questão presente nas seguintes provas
355109 Ano: 2018
Disciplina: TI - Redes de Computadores
Banca: FADESP
Orgão: IF-PA

Considere a seguinte representação:

enunciado 355109-1

O protocolo que está representado acima é

 

Provas

Questão presente nas seguintes provas
355108 Ano: 2018
Disciplina: TI - Redes de Computadores
Banca: FADESP
Orgão: IF-PA
Sobre o protocolo ATM, é correto afirmar que
 

Provas

Questão presente nas seguintes provas
355107 Ano: 2018
Disciplina: TI - Redes de Computadores
Banca: FADESP
Orgão: IF-PA

Observe o gráfico de codificação a seguir.

enunciado 355107-1

A correlação correta entre o gráfico de codificação com o método de codificação em transmissão digital é
 

Provas

Questão presente nas seguintes provas
355106 Ano: 2018
Disciplina: Física
Banca: FADESP
Orgão: IF-PA
Provas:

A figura a seguir apresenta um diagrama de níveis dos níveis de energia possíveis de um átomo de hidrogênio (o diagrama não está em escala). Nenhuma das transições para o nível identificado por A gera fótons na parte visível do espectro porque

enunciado 355106-1

 

Provas

Questão presente nas seguintes provas
355105 Ano: 2018
Disciplina: Física
Banca: FADESP
Orgão: IF-PA
Uma auto-estrada cujo limite de velocidade é 80 km/h tem dois radares localizados a uma distância de 6 km um do outro. Um automóvel passa pelo primeiro radar com velocidade de 60 km/h. Quatro minutos depois, o mesmo automóvel passa pelo segundo radar com velocidade de 50 km/h. Podemos afirmar que
 

Provas

Questão presente nas seguintes provas
355104 Ano: 2018
Disciplina: Física
Banca: FADESP
Orgão: IF-PA
Provas:
Uma quantidade de gelo é aquecida do ponto de fusão (TF) até uma temperatura acima do ponto de ebulição da água (TE). O gráfico que melhor expressa a entropia S em função da temperatura T nesse processo é
 

Provas

Questão presente nas seguintes provas
355103 Ano: 2018
Disciplina: Física
Banca: FADESP
Orgão: IF-PA
Provas:
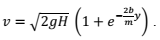
Um objeto de massa m é largado de uma altura H, com velocidade inicial igual a zero, em cima de uma piscina. Após o impacto sobre a água, considerando que a força de empuxo contrabalanceia a força gravitacional e age sobre o objeto apenas uma força de resistência da água dada por bv2 , a velocidade do objeto dentro da piscina, em função da profundidade y sob a água, é dada por (considere as seguintes condições iniciais: V0 igual à velocidade de impacto do objeto na água em y=0).
 

Provas

Questão presente nas seguintes provas
355102 Ano: 2018
Disciplina: Física
Banca: FADESP
Orgão: IF-PA
Provas:
Considere que duas substâncias, A e B, de massas respectivas mA e mB e calores específicos cA e cB, são colocadas em contato térmico sob condições em que a pressão é mantida constante. Considerando que, nesta pressão, os calores específicos e as massas das substâncias obedecem à relação mAcA = 3 mBcB e que antes do contato cada substância estava à temperatura TA e TB, respectivamente, pode-se afirmar que a temperatura final Tf após o equilíbrio térmico ser alcançado, é
 

Provas

Questão presente nas seguintes provas
355101 Ano: 2018
Disciplina: Física
Banca: FADESP
Orgão: IF-PA
Provas:

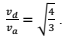
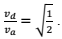
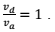
Um disco sólido uniforme e um aro de mesmo raio R são colocados lado a lado no topo de um plano inclinado de altura H. São largados a partir do repouso e descem o plano girando sem deslizar. A razão entre as velocidades do disco sólido vd e a velocidade do aro va, quando estes chegam à base do plano inclinado, é dada por

(Dado: Momento de inércia do disco sólido com raio R: I = 1/2MR2 ; momento de inércia do aro com raio R: I = MR2 .)

 

Provas

Questão presente nas seguintes provas