Foram encontradas 600 questões.
Provas
- EletromagnetismoElétricaEletricidade
- EletromagnetismoElétricaForça Elétrica, Campo Elétrico e Eletrização
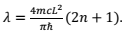
Um ponto quântico (quantum dot) é uma nanoestrutura (geralmente semicondutora) cujos elétrons têm sua energia quantizada, como num átomo. Estes materiais podem ser utilizados como marcadores luminosos em células. Uma vez fixados na célula e iluminados com luz, esses pontos quânticos agem como fontes de luz fluorescente e suas imagens podem ser vistas usando-se microscópio ótico. Este ponto quântico em uma dimensão pode ser estudado considerando-se um elétron confinado em um poço de potencial. Assim, os níveis de energia podem ser controlados mudando-se a largura L, a forma e a profundidade do poço de potencial. Considerando um elétron de massa m em um poço de potencial infinito de largura L, o comprimento de onda emitida pela transição de um elétron entre dois níveis de energia (n+1) e n é dada por
Obs: (c é a velocidade da luz no vácuo e h = h/2π e h é a constante de Planck).
Provas
Provas
- EletromagnetismoElétricaEletricidade
- EletromagnetismoElétricaForça Elétrica, Campo Elétrico e Eletrização
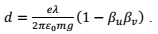
Um elétron (massa m) no campo gravitacional (aceleração da gravidade g) movimenta-se com velocidade v embaixo de um fio condutor que possui uma densidade linear de carga λ (medida no sistema de referencial do laboratório). As cargas no fio condutor movimentam-se com velocidade em direção oposta ao elétron (conforme a figura a seguir). Definindo as constantes βu = u/c e βv = v/c, a distância d do fio em que as forças verticais sobre o elétron se equilibram é

Provas
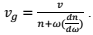
Considere uma onda eletromagnética se propagando em um meio material, sendo v = c/n a sua
velocidade de fase e
a sua velocidade de grupo no meio. A velocidade de grupo pode ser
escrita, em função do índice de refração do meio, da seguinte forma:
Provas
A degenerescência é um conceito importante na física atômica e molecular e pode ser entendida mesmo classicamente. Considere três paralelepípedos retos de seis faces. Considerando a energia potencial (V=mgh), onde m é a massa do corpo e h é a altura do centro de massa em relação superfície sobre a qual uma das faces do corpo está apoiada, analise as afirmações a seguir

I. Para o paralelepípedo de lados (a = b < c) , o nível mais baixo de energia potencial possui degenerescência igual a -1.
II. Para o paralelepípedo de lados (a < b < c), existem três níveis diferentes de energia, cada um com degenerescência igual a 2.
III. Para o paralelepípedo com lados (a = b = c) , temos o menor valor de degenerescência.
IV. No que se refere a estes três corpos, podemos concluir corretamente que quanto maior o grau de simetria do sistema maior é a degenerescência.
Está correto o que se afirma em
Provas
Um automóvel tem motor a explosão de quatro tempos (admissão, compressão, explosão, expulsão), conforme ilustrado na figura a seguir. Sobre este tema analise as afirmações abaixo:

I. O rendimento de uma máquina térmica ideal de Carnot depende do combustível utilizado.
II. O rendimento de uma máquina térmica ideal de Carnot será maior quando o quociente entre a temperatura da fonte fria e da fonte quente em Kelvin for menor.
III. O motor a explosão é capaz de transformar toda a energia produzida na combustão em trabalho útil.
IV. Considere um motor a explosão cujo ciclo a quatro tempos pode ser assim idealizado: O ciclo inicia em A e a mistura ar-combustível (admissão) é comprimida adiabaticamente até o ponto B (compressão). Em seguida, a mistura é aquecida isobaricamente até o ponto C e expandida adiabaticamente até o ponto D (explosão). Os gases gerados são então resfriados isocoricamente até A (expulsão). O digrama p x v (pressão x volume) que representa este ciclo é

Está correto o que se afirma em
Provas
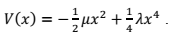
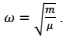
Uma partícula de massa m se encontra num potencial do tipo

A constante μ é um número positivo. Determine os pontos de estabilidade para o movimento da partícula. Para pequenas oscilações em torno dos pontos de equilíbrio estável a frequência angular de oscilação é
Provas
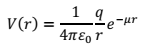
Imagine que o potencial de Coulomb da interação radial entre cargas fosse substituído pelo potencial de Yukawa dado por

O módulo da força de interação (FY) sobre a mesma carga Q nesse potencial, escrita em função do módulo da força Coulombiana FC de interação entre cargas, é dada por
Provas
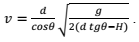
Um motorista que dirigia em alta velocidade em São Paulo perde a direção ao passar por uma rampa de areia na beira da estrada e fica pendurado na parede de um prédio após a colisão. Considerando que um perito de trânsito mede o grau de inclinação θ acima do solo, além de determinar a altura H em que o centro de massa do carro se encontra acima do solo e a distância horizontal do voo do carro (d), a velocidade estimada do carro no acidente pode ser assim determinada:

Provas
Caderno Container