Foram encontradas 60 questões.
São fundamentos da República Federativa do Brasil, exceto
Provas
Questão presente nas seguintes provas
Constituem-se objetivos fundamentais da República Federativa do Brasil, exceto
Provas
Questão presente nas seguintes provas
1930172
Ano: 2019
Disciplina: TI - Desenvolvimento de Sistemas
Banca: IDECAN
Orgão: IF Baiano
Disciplina: TI - Desenvolvimento de Sistemas
Banca: IDECAN
Orgão: IF Baiano
Provas:
Seja o seguinte trecho de código HTML dentro de um arquivo HTML completo:
<div id="idDiv">Olá Mundo!</div>
Assinale a alternativa que contém o código JavaScript para mudar a cor para azul e alterar o texto “Olá Mundo!” para “Saudações Aeronáuticas! Tudo bem com vocês?” (sem aspas), do elemento div acima:
Provas
Questão presente nas seguintes provas
1930171
Ano: 2019
Disciplina: TI - Desenvolvimento de Sistemas
Banca: IDECAN
Orgão: IF Baiano
Disciplina: TI - Desenvolvimento de Sistemas
Banca: IDECAN
Orgão: IF Baiano
Provas:
No código JavaScript abaixo, desejamos adicionar uma nova propriedade ao objeto object1 chamada de property1 com valor 10.
const object1 = {};
Object. (object1,
{
property1:
{
value: 10
}
});
Object. (object1,
{
property1:
{
value: 10
}
});
Assinale a alternativa que apresenta o nome da função predefinida da classe Object que devemos substituir na lacuna presente no código acima para realizar tal ação.
Provas
Questão presente nas seguintes provas
1930170
Ano: 2019
Disciplina: TI - Desenvolvimento de Sistemas
Banca: IDECAN
Orgão: IF Baiano
Disciplina: TI - Desenvolvimento de Sistemas
Banca: IDECAN
Orgão: IF Baiano
Provas:
Seja o seguinte trecho de código em JavaScript:
var num = 2;
var b = “2”;
var b = “2”;
if (num == b)
alert('true');
else
alert('false');
alert('true');
else
alert('false');
if (num === b)
alert('true');
else
alert('false');
alert('true');
else
alert('false');
Assinale a alternativa que contém corretamente a saída do código acima.
Provas
Questão presente nas seguintes provas
O modelo de linguagem por bigrama permite atribuir uma probabilidade a uma sequência de palavras usando um Modelo de Markov.
Dada uma sequência de palavras w1,w2,...,wn, a probabilidade dessa sequência pode ser calculada da seguinte maneira:
!$ P(w_1,w_2,...,w_n)=\Pi^n_{i=1}~~~~P(w_i\mid w_{i-1}) !$
Considere as probabilidades dos bigramas:
P(gosto | Eu) = 2/5
P(gosto | João) = 1/5
P(Eu | gosto ) = 3/5
P(João | gosto ) = 1/3
P(gosto | João) = 1/5
P(Eu | gosto ) = 3/5
P(João | gosto ) = 1/3
Assinale a alternativa que corretamente apresenta a probabilidade atribuída pelo modelo bigrama para a sequência “Eu gosto João”.
Provas
Questão presente nas seguintes provas
1930168
Ano: 2019
Disciplina: TI - Desenvolvimento de Sistemas
Banca: IDECAN
Orgão: IF Baiano
Disciplina: TI - Desenvolvimento de Sistemas
Banca: IDECAN
Orgão: IF Baiano
Provas:
O processo de normalização de palavras consiste na redução, simplificação ou radicalização das palavras.
Assinale a alternativa que corretamente apresenta as técnicas que podem ser usadas para essa tarefa.
1. Lematização
2. Distância Levenshtein
3. Stemização
4. Correspondência Máxima (Maximum matching)
Provas
Questão presente nas seguintes provas
1930167
Ano: 2019
Disciplina: TI - Desenvolvimento de Sistemas
Banca: IDECAN
Orgão: IF Baiano
Disciplina: TI - Desenvolvimento de Sistemas
Banca: IDECAN
Orgão: IF Baiano
Provas:
Analise as assertivas a seguir sobre conceitos básicos do processamento de línguas naturais:
I. Durante a análise sintática, palavras ou expressões isoladas numa frase são classificadas de acordo com a sua categoria gramatical.
II. Durante a análise sintática, os erros ortográficos devem ser tratados.
III. A análise sintática é um procedimento com a finalidade de gerar uma estrutura de árvore que representa a sentença analisada.
IV. Expressões regulares podem ser utilizadas para identificar trechos a partir de um texto.
Assinale
Provas
Questão presente nas seguintes provas
1930166
Ano: 2019
Disciplina: TI - Desenvolvimento de Sistemas
Banca: IDECAN
Orgão: IF Baiano
Disciplina: TI - Desenvolvimento de Sistemas
Banca: IDECAN
Orgão: IF Baiano
Provas:
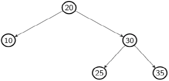
Considere a árvore rubro-negra abaixo:

Os nós preenchidos com a cor preta representam os vértices pretos da árvore rubro-negra e os demais nós representam os vértices vermelhos.
Assinale a alternativa que contém o percurso em pré-ordem após a inserção de um nó contendo o valor 21.
Provas
Questão presente nas seguintes provas
1930165
Ano: 2019
Disciplina: TI - Desenvolvimento de Sistemas
Banca: IDECAN
Orgão: IF Baiano
Disciplina: TI - Desenvolvimento de Sistemas
Banca: IDECAN
Orgão: IF Baiano
Provas:
Considere a árvore AVL abaixo:

Assinale a alternativa que contém o percurso em pré-ordem após a inserção de um nó contendo o valor 23.
Provas
Questão presente nas seguintes provas
Cadernos
Caderno Container