Foram encontradas 370 questões.
Arrependimentos terminais
Em Antes de partir, uma cuidadora especializada em doentes terminais fala do que eles mais se arrependem na hora de morrer. “Não deveria ter trabalhado tanto”, diz um dos pacientes. "Desejaria ter ficado em contato com meus amigos”, lembra outro. “Desejaria ter coragem de expressar meus sentimentos.” “Não deveria ter levado a vida baseando-me no que esperavam de mim”, diz um terceiro. Há cem anos ou cinquenta, quem sabe, sem dúvida seriam outros os arrependimentos terminais. “Gostaria de ter sido mais útil à minha pátria.” “Deveria ter sido mais obediente a Deus.” “Gostaria de ter deixado mais patrimônio aos meus descendentes.”
COELHO, M. Folha de São Paulo, 2 jan. 2013.
O texto compara hipoteticamente dois padrões morais que divergem por se basearem respectivamente em
Provas
Questão presente nas seguintes provas
Uma caixa-d’água em forma de um paralelepípedo retângulo reto, com 4 m de comprimento, 3 m de largura e 2 m de altura, necessita de higienização. Nessa operação, a caixa precisará ser esvaziada em 20 min, no máximo. A retirada da água será feita com o auxílio de uma bomba de vazão constante, em que vazão é o volume do líquido que passa pela bomba por unidade de tempo.
A vazão mínima, em litro por segundo, que essa bomba deverá ter para que a caixa seja esvaziada no tempo estipulado é
Provas
Questão presente nas seguintes provas
Os métodos empregados nas análises químicas são ferramentas importantes para se conhecer a composição dos diversos materiais presentes no meio ambiente. É comum, na análise de metais presentes em amostras ambientais, como água de rio ou de mar, a adição de um ácido mineral forte, normalmente o ácido nítrico !$ (HNO_3) !$, com a finalidade de impedir a precipitação de compostos pouco solúveis desses metais ao longo do tempo.
Na ocorrência de precipitação, o resultado da análise pode ser subestimado, porque
Provas
Questão presente nas seguintes provas
Pesca industrial provoca destruição na África
O súbito desaparecimento do bacalhau dos grandes cardumes da Terra Nova, no final do século XX - o que ninguém havia previsto -, teve o efeito de um eletrochoque planetário. Lançada pelos bascos no século XV, a pesca e depois a sobrepesca desse grande peixe de água fria levaram ao impensável. Ao Canadá o bacalhau nunca mais voltou. E o que ocorreu no Atlântico Norte está acontecendo em outros mares. Os maiores navios do mundo seguem agora em direção ao sul, até os limites da Antártida, para competir pelos estoques remanescentes.
MORA, J.S. Disponível em: www.diplomatique.com.br. Acesso em: 14 jan. 2014.
O problema exposto no texto jornalístico relaciona-se à
Provas
Questão presente nas seguintes provas
Um paciente necessita de reidratação endovenosa feita por meio de cinco frascos de soro durante 24 h. Cada frasco tem um volume de 800 mL de soro. Nas primeiras quatro horas, deverá receber 40% do total a ser aplicado. Cada mililitro de soro corresponde a 12 gotas.
O número de gotas por minuto que o paciente deverá receber após as quatro primeiras horas será
Provas
Questão presente nas seguintes provas
Dois veículos que trafegam com velocidade constante em uma estrada, na mesma direção e sentido, devem manter entre si uma distância mínima. Isso porque o movimento de um veículo, até que ele pare totalmente, ocorre em duas etapas, a partir do momento em que o motorista detecta um problema que exige uma freada brusca. A primeira etapa é associada à distância que o veículo percorre entre o intervalo de tempo da detecção do problema e o acionamento dos freios. Já a segunda se relaciona com a distância que o automóvel percorre enquanto os freios agem com desaceleração constante.
Considerando a situação descrita, qual esboço gráfico representa a velocidade do automóvel em relação à distância percorrida até parar totalmente?
Provas
Questão presente nas seguintes provas
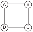
Para estimular o raciocínio de sua filha, um pai fez o seguinte desenho e o entregou à criança juntamente com três lápis de cores diferentes. Ele deseja que a menina pinte somente os círculos, de modo que aqueles que estejam ligados por um segmento tenham cores diferentes.

De quantas maneiras diferentes a criança pode fazer o que o pai pediu?
Provas
Questão presente nas seguintes provas
A invenção e o acoplamento entre engrenagens revolucionaram a ciência na época e propiciaram a invenção de várias tecnologias, como os relógios. Ao construir um pequeno cronômetro, um relojoeiro usa o sistema de engrenagens mostrado. De acordo com a figura, um motor é ligado ao eixo e movimenta as engrenagens fazendo o ponteiro girar. A frequência do motor é de 18 RPM, e o número de dentes da engrenagens está apresentado no quadro.
A frequência de giro do ponteiro, em RPM, é
Provas
Questão presente nas seguintes provas
Nas rodovias, é comum motoristas terem a visão ofuscada ao receberem a luz refletida na água empoçada no asfalto. Sabe-se que essa luz adquire polarização horizontal. Para solucionar esse problema, há a possibilidade de o motorista utilizar óculos de lentes constituídas por filtros polarizadores. As linhas nas lentes dos óculos representam o eixo de polarização dessas lentes.
Quais são as lentes que solucionam o problema descrito?
Provas
Questão presente nas seguintes provas
A descoberta dos organismos extremófilos foi uma surpresa para os pesquisadores. Alguns desses organismos, chamados de acidófilos, são capazes de sobreviver em ambientes extremamente ácidos. Uma característica desses organismos é a capacidade de produzir membranas celulares compostas de lipídeos feitos de éteres em vez dos ésteres de glicerol, comuns nos outros seres vivos (mesófilos), o que preserva a membrana celular desses organismos mesmo em condições extremas de acidez.
A degradação das membranas celulares de organismos não extremófilos em meio ácido é classificada como
Provas
Questão presente nas seguintes provas
Cadernos
Caderno Container