Foram encontradas 185 questões.
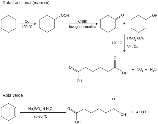
A química verde permite o desenvolvimento tecnológico com danos reduzidos ao meio ambiente, e encontrar rotas limpas tem sido um grande desafio. Considere duas rotas diferentes utilizadas para a obtenção de ácido adípico, um insumo muito importante para a indústria têxtil e de plastificantes.
LENARDÂO,E. J. et al. Green chemistry - os 12 princípios da química verde e sua inserção nas atividades de ensino e pesquisa. Química Nova, n. 1, 2003 (adaptado).
Que fator contribui positivamente para que a segunda rota de síntese seja verde em comparação à primeira?
Provas
Questão presente nas seguintes provas
En el día del amor, ¡no a la violencia contra la mujer!
Hoy es el día de la amistad y del amor. Pero, parece que este día es puro floro, porque en nuestro país aún existen muchos casos de maltrato entre las parejas, sobre todo hacia las mujeres. Por eso, el Ministerio de la Mujer y Poblaciones Vulnerables (MIMP) lanza la segunda etapa de la campaña "Si te quieren, que tem quieran bien".
Esta campaña busca detener de una vez el maltrato contra la mujer y para eso, concientizar sobre la importancia de denunciar estos casos. Y es que las cifras son preocupantes. Cada hora se denuncian 17 casos de violencia contra la mujer y en total los Centros de Emergencia de la Mujer (CEM) y el MIMP atendieron en un año a más de 36 mil denuncias de las cuales 7 mil eran de niñas y adolescentes menores de 17 años. Un abuso.
Si eres testigo o víctima de algún tipo de violencia ya sea física, psicológica o sexual debes llamar gratuitamente a la línea 100 desde un teléfono fijo o celular.
Disponível em: http://napa.com.pe. Acesso em: 14 fev. 2012 (adaptado).
Pela expressão puro floro, infere-se que o autor considera a comemoração pelo dia do amor e da amizade, no Peru, como uma oportunidade para
Provas
Questão presente nas seguintes provas
Só num sentido muito restrito, o indivíduo cria com seus próprios recursos o modo de falar e de pensar que lhe são atribuídos. Fala o idioma de seu grupo; pensa à maneira de seu grupo. Encontra a sua disposição apenas determinadas palavras significados. Estas não só determinam, em grau considerável, as vias de acesso mental ao mundo circundante, mas também mostram, ao mesmo tempo, sob que ângulo e em que contexto de atividade os objetos foram até agora perceptíveis ao grupo ou ao indivíduo.
MANNHEIM, K. Ideologia e utopia.. Porto Alegre: Globo, 1950 (adaptado).
Ilustrando uma proposição básica da sociologia do conhecimento, o argumento de Karl Mannheim defende que o(a)
Provas
Questão presente nas seguintes provas
Um carro solar é um veículo que utiliza apenas a energia solar para a sua locomoção. Tipicamente, o carro contém um painel fotovoltaico que converte a energia do Sol em energia elétrica que, por sua vez, alimenta um motor elétrico. A imagem mostra o carro solar Tokai Challenger, desenvolvido na Universidade de Tokai, no Japão, e que venceu o World Solar Challenge de 2009, uma corrida internacional de carros solares, tendo atingido uma velocidade média acima de 100 km/h.

Disponível em: www.physics.hku.hk. Acesso em: 3 jun. 20158.
Considere uma região plana onde a insolação (energia solar por unidade de tempo e de área que chega à superfície da Terra) seja de 1 000 !$ W/m^2 !$, que o carro solar possua massa de 200 kg e seja construído de forma que o painel fotovoltaico em seu topo tenha uma área de 9,0 !$ m^2 !$ e rendimento de 30%.
Desprezando as forças de resistência do ar, o tempo que esse carro solar levaria, a partir do repouso, para atingir a velocidade de 108 km/h é um valor mais próximo de
Provas
Questão presente nas seguintes provas
Não nos resta a menor dúvida de que a principal contribuição dos diferentes tipos de movimentos sociais brasileiros nos últimos vinte anos foi no plano da reconstrução do processo de democratização do país. E não se trata apenas da reconstrução do regime político, da retomada da democracia e do fim do Regime Militar. Trata-se da reconstrução ou construção de novos rumos para a cultura do país, do preenchimento de vazios na condução da luta pela redemocratização, constituindo-se como agentes interlocutores que dialogam diretamente com a população e com o Estado.
GOHN, M. G. M. Os sem-terras, ONGs e cidadania. São Paulo: Cortez, 2003 (adaptado).
No processo da redemocratização brasileira, os novos movimentos sociais contribuíram para
Provas
Questão presente nas seguintes provas
O ar atmosférico pode ser utilizado para armazenar o excedente de energia gerada no sistema elétrico, diminuindo seu desperdício, por meio do seguinte processo: água e gás carbônico são inicialmente removidos do ar atmosférico e a massa de ar restante é resfriada até -198 ºC. Presente na proporção de 78% dessa massa de ar, o nitrogênio gasoso é liquefeito, ocupando um volume 700 vezes menor. A energia excedente do sistema elétrico é utilizada nesse processo, sendo parcialmente recuperada quando o nitrogênio líquido, exposto à temperatura ambiente, entra em ebulição e se expande, fazendo girar turbinas que convertem energia mecânica em energia elétrica.
MACHADO, R. Disponível em: www.correiobraziliense.com.br. Acesso em: 9 set. 2013 (adaptado).
No processo descrito, o excedente de energia elétrica é armazenado pela
Provas
Questão presente nas seguintes provas
Hipoxia ou mal das alturas consiste na diminuição de oxigênio !$ (O_2) !$ no sangue arterial do organismo. Por essa razão, muitos atletas apresentam mal-estar (dores de cabeça, tontura, falta de ar etc.) ao praticarem atividade física em altitudes elevadas. Nessas condições, ocorrerá uma diminuição na concentração de hemoglobina oxigenada !$ (HbO_2) !$ em equilíbrio no sangue, conforme a relação:
!$ Hb (aq) + O_2 (aq) \rightleftharpoons HbO_2 (aq) !$
Mal da montanha. Disponível em: www.feng.pucrs.br. Acesso em: 11 fev. 2015 (adaptado).
A alteração da concentração de hemoglobina oxigenada no sangue ocorre por causa do(a)
Provas
Questão presente nas seguintes provas
A figura representa a vista superior de uma bola de futebol americano, cuja forma é um elipsoide obtido pela rotação de uma elipse em torno do eixo das abscissas. Os valores a e b são, respectivamente, a metade do seu comprimento horizontal e a metade do seu comprimento vertical. Para essa bola, a diferença entre os comprimentos horizontal e vertical é igual à metade do comprimento vertical.

Considere que o volume aproximado dessa bola é dado por !$ V = 4ab^2 !$.
O volume dessa bola, em função apenas de b, é dado por
Provas
Questão presente nas seguintes provas
Embora particularidades na produção mediada pela tecnologia aproximem a escrita da oralidade, isso não significa que as pessoas estejam escrevendo errado. Muitos buscam, tão somente, adaptar o uso da linguagem ao suporte utilizado: "O contexto é que define o registro de língua. Se existe um limite de espaço, naturalmente, o sujeito irá usar mais abreviaturas, como faria no papel", afirma um professor do Departamento de Linguagem e Tecnologia do Cefet-MG. Da mesma forma, é preciso considerar a capacidade do destinatário de interpretar corretamente a mensagem emitida. No entendimento do pesquisador, a escola, às vezes, insiste em ensinar um registro utilizado apenas em contextos específicos, o que acaba por desestimular o aluno, que não vê sentido em empregar tal modelo em outras situações. Independentemente dos aparatos tecnológicos da atualidade, o emprego social da língua revela-se muito mais significativo do que seu uso escolar, conforme ressalta a diretora de Divulgação Científica da UFMG: "A dinâmica da língua oral é sempre presente. Não falamos ou escrevemos da mesma forma que nossos avós". Some-se a isso o fato de os jovens se revelarem os principais usuários das novas tecnologias, por meio das quais conseguem se comunicar com facilidade. A professora ressalta, porém, que as pessoas precisam ter discernimento quanto às distintas situações, a fim de dominar outros códigos.
SILVA JR., M. G.; FONSECA, V. Revista Minas Faz Ciência, n. 51, set.-nov. 2012 (adaptado).
Na esteira do desenvolvimento das tecnologias de informação e de comunicação, usos particulares da escrita foram surgindo. Diante dessa nova realidade, segundo o texto, cabe à escola levar o aluno a
Provas
Questão presente nas seguintes provas
Um dia, meu pai tomou-me pela mão, minha mãe beijou-me a testa, molhando-me de lágrimas os cabelos e eu parti.
Duas vezes fora visitar o Ateneu antes da minha instalação.
Ateneu era o grande colégio da época. Afamado por um sistema de nutrido reclame, mantido por um diretor que de tempos a tempos reformava o estabelecimento, pintando-o jeitosamente de novidade, como os negociantes que liquidam para recomeçar com artigos de última remessa; o Ateneu desde muito tinha consolidado crédito na preferência dos pais, sem levar em conta a simpatia da meninada, a cercar de aclamações o bombo vistoso dos anúncios.
O Dr. Aristarco Argolo de Ramos, da conhecida família do Visconde de Ramos, do Norte, enchia o império com o seu renome de pedagogo. Eram boletins de propaganda pelas províncias, conferências em diversos pontos da cidade, a pedidos, à substância, atochando a imprensa dos lugarejos, caixões, sobretudo, de livros elementares, fabricados às pressas com o ofegante e esbaforido concurso de professores prudentemente anônimos, caixões e mais caixões de volumes cartonados em Leipzig, inundando as escolas públicas de toda a parte com a sua invasão de capas azuis, róseas, amarelas, em que o nome de Aristarco, inteiro e sonoro, oferecia-se ao pasmo venerador dos esfaimados de alfabeto dos confins da pátria. Os lugares que os não procuravam eram um belo dia surpreendidos pela enchente, gratuita,
espontânea, irresistível! E não havia senão aceitar a farinha daquela marca para o pão do espírito.
POMPÉIA, R. O Ateneu. São Paulo: Scipione, 2005.
Ao descrever o Ateneu e as atitudes de seu diretor, o narrador revela um olhar sobre a inserção social do colégio demarcado pela
Provas
Questão presente nas seguintes provas
Cadernos
Caderno Container