Foram encontradas 185 questões.
A singularidade da questão da terra na África Colonial é a expropriação por parte do colonizador e as desigualdades raciais no acesso à terra. Após a independência, as populações de colonos brancos tenderam a diminuir, apesar de a proporção de terra em posse da minoria branca não ter diminuído proporcionalmente.
MOYO, S. A terra africana e as questões agrárias: o caso das lutas pela terra no Zimbábue.
In: FERNANDES, B. M.; MARQUES, M. I. M.; SUZUKI, J. C. (Org.). Geografia agrária:
teoria e poder. São Paulo: Expressão Popular, 2007.
Com base no texto, uma característica socioespacial e um consequente desdobramento que marcou o processo de ocupação do espaço rural na África subsaariana foram:
Provas
Questão presente nas seguintes provas
Las Malvinas son nuestras
Sí, las islas son nuestras. Esta afirmación no se basa en sentimientos nacionalistas, sino en normas y principios del derecho internacional que, si bien pueden suscitar interpretaciones en contrario por parte de los británicos, tienen la fuerza suficiente para imponerse.
Los británicos optaron por sostener el derecho de autodeterminación de los habitantes de las islas, invocando la resolución 1514 de las Naciones Unidas, que acordó a los pueblos coloniales el derecho de independizarse de los Estados colonialistas. Pero esta tesitura es también indefendible. La citada resolución se aplica a los casos de pueblos sojuzgados por una potencia extranjera, que no es el caso de Malvinas, donde Gran Bretaña procedió a expulsar a los argentinos que residían en las islas, reemplazándolos por súbditos de la corona que pasaron a ser kelpers y luego ciudadanos británicos. Además, según surge de la misma resolución, el principio de autodeterminación no es de aplicación cuando afecta la integridad territorial de un país.
Finalmente, en cuanto a qué haría la Argentina con los habitantes británicos de las islas en caso de ser recuperadas, la respuesta se encuentra en la cláusula transitoria primera de la Constitución Nacional sancionada por la reforma de 1994, que impone respetar el modo de vida de los isleños, lo que además significa respetar sus intereses.
MENEM, E. Disponível em: www.lanacion.com.ar. Acesso em: 18 fev. 2012 (adaptado).
O texto apresenta uma opinião em relação à disputa entre e a Argentina e o Reino Unido pela soberania sobre as Ilhas Malvinas, ocupadas pelo Reino Unido em 1833. O autor dessa opinião apoia a reclamação argentina desse arquipélago, argumentando que
Provas
Questão presente nas seguintes provas
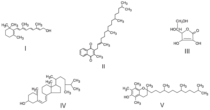
O armazenamento de certas vitaminas no organismo apresenta grande dependência de sua solubilidade. Por exemplo, vitaminas hidrossolúveis devem ser incluídas na dieta diária, enquanto vitaminas lipossolúveis são armazenadas em quantidades suficientes para evitar doenças causadas pela sua carência. A seguir são apresentadas as estruturas químicas de cinco vitaminas necessárias ao organismo.
Dentre as vitaminas apresentadas na figura, aquela que necessita de maior suplementação diária é
Provas
Questão presente nas seguintes provas
Um dos problemas ambientais vivenciados pela agricultura hoje em dia é a compactação do solo, devida ao intenso tráfego de máquinas cada vez mais pesadas, reduzindo a produtividade das culturas.
Uma das formas de prevenir o problema de compactação do solo é substituir os pneus dos tratores por pneus mais
Provas
Questão presente nas seguintes provas

Cartaz afixado nas bibliotecas centrais e setoriais da Universidade Federal de Goiás (UFG), 2011.
Considerando-se a finalidade comunicativa comum do gênero e o contexto específico do Sistema de Biblioteca da UFG, esse cartaz tem função predominantemente
Provas
Questão presente nas seguintes provas
Medidas de saneamento básico são fundamentais no processo de promoção de saúde e qualidade de vida da população. Muitas vezes, a falta de saneamento está relacionada com o aparecimento de várias doenças. Nesse contexto, um paciente dá entrada em um pronto atendimento relatando que há 30 dias teve contato com águas de enchente. Ainda informa que nesta localidade não há rede de esgoto e drenagem de águas pluviais e que a coleta de lixo é inadequada. Ele apresenta os seguintes sintomas: febre, dor de cabeça e dores musculares.
Disponível em: http://portal.saude.gov.br. Acesso em: 27 fev. 2012 (adaptado).
Relacionando os sintomas apresentados com as condições sanitárias da localidade, há indicações de que o paciente apresenta um caso de
Provas
Questão presente nas seguintes provas
Diante dessas inconsistências e de outras que ainda preocupam a opinião pública, nós, jornalistas, estamos encaminhando este documento ao Sindicato dos Jornalistas Profissionais no Estado de São Paulo, para que o entregue à Justiça; e da Justiça esperamos a realização de novas diligências capazes de levar à completa elucidação desses fatos e de outros que porventura vierem a ser levantados.
Em nome da verdade. In: O Estado de São Paulo, 3 fev. 1976. Apud. FILHO, I. A.
Brasil, 500 anos em documentos. Rio de Janeiro: Mauad, 1999.
A morte do jornalista Vladimir Herzog, ocorrida durante o regime militar, em 1975, levou a medidas como o abaixo-assinado feito por profissionais da imprensa de São Paulo. A análise dessa medida tomada indica a
Provas
Questão presente nas seguintes provas
Não ignoro a opinião antiga e muito difundida de que o que acontece no mundo é decidido por Deus e pelo acaso. Essa opinião é muito aceita em nossos dias, devido às grandes transformações ocorridas, e que ocorrem diariamente, as quais escapam à conjectura humana. Não obstante, para não ignorar inteiramente o nosso livre-arbítrio, creio que se pode aceitar que a sorte decida metade dos nossos atos, mas [o livre-arbítrio] nos permite o controle sobre a outra metade.
MAQUIAVEL, N. O Príncipe. Brasília: EdUnB, 1979 (adaptado).
Em O Príncipe, Maquiavel refletiu sobre o exercício do poder em seu tempo. No trecho citado, o autor demonstrao vínculo entre o seu pensamento político e o humanismo renascentista ao
Provas
Questão presente nas seguintes provas

Disponível em: www.assine.abril.com.br. Acesso em: 29 fev. 2012 (adaptado).
Com o advento da internet, as versões de revistas e livros também se adaptaram às novas tecnologias. A análise do texto publicitário apresentado revela que o surgimento das novas tecnologias
Provas
Questão presente nas seguintes provas
Os carrinhos de brinquedo podem ser de vários tipos. Dentre eles, há os movidos a corda, em que uma mola em seu interior é comprimida quando a criança puxa o carrinho para trás. Ao ser solto, o carrinho entra em movimento enquanto a mola volta à sua forma inicial. O processo de conversão de energia que ocorre no carrinho descrito também é verificado em
Provas
Questão presente nas seguintes provas
Cadernos
Caderno Container