Foram encontradas 90 questões.
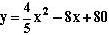
Segundo as previsões de um jornal econômico, o PIB anual de um país(y) em bilhões de dólares daqui a x anos poderá ser calculado pela expressão:
. Para quais valores de x, o PIB anual desse país ultrapassará 140 bilhões de dólares?
. Para quais valores de x, o PIB anual desse país ultrapassará 140 bilhões de dólares?Provas
Questão presente nas seguintes provas
Mário tem um estabelecimento comercial com eventos noturnos (música ao vivo) em Olinda/PE, que funciona de quinta-feira a domingo. Ele cobra R$20,00 pela entrada de homens e R$15,00 pela entrada de mulheres. Aos domingos, há desconto de 5% para homens e 10% para mulheres. No gráfico abaixo encontra-se representado o público que esse estabelecimento recebeu na semana passada. Considerando apenas os valores das entradas, qual foi a renda de Mário na referida semana neste estabelecimento de acordo com a representação gráfica abaixo?


Provas
Questão presente nas seguintes provas
Ana e Beatriz saíram de suas casas e foram à Agência dos Correios fazer suas inscrições para o ENEM. Ana está a 3/8 km da Agência dos Correios e Beatriz a 0,4km da Agência. Qual é a distância, em metros, da casa de Ana até a casa de Beatriz passando pela Agência dos Correios?
Provas
Questão presente nas seguintes provas
A milha terrestre é uma unidade de medida de comprimento equivalente a 1,6km, aproximadamente. Se João fez o percurso de Recife(PE) até uma pequena cidade do interior de Pernambuco com velocidade média de 80km/h, qual foi a sua velocidade em milhas/horas?
Provas
Questão presente nas seguintes provas
Luís Alberto pagou uma conta de R$101,00 na Agência dos Correios que fica mais perto de sua casa. Ele pagou com notas de R$1,00; R$5,00 e R$10,00 obtendo o total de 20 notas. Se o número de notas de R$10,00 foi o máximo possível, o número de notas de R$5,00 foi:
Provas
Questão presente nas seguintes provas
No cinema de uma certa cidade há duas salas de projeções com capacidade para 300 pessoas cada uma. Um dia, uma das salas estava com 3/5 de sua capacidade ocupada e a outra sala, com a metade do número de pessoas da primeira. Quantas pessoas havia no cinema nesse dia?
Provas
Questão presente nas seguintes provas
Sabendo que log10 2 ≅ 0,3 qual é o menor número natural que verifica a relação 2n > 104 ? ( ≅: aproximadamente)
Provas
Questão presente nas seguintes provas
Altair aplicou um capital, a juros simples, à taxa de 4% a.m. Quanto tempo, no mínimo, esse capital deverá ficar aplicado para que Altair resgate o triplo da quantia que aplicou?
Provas
Questão presente nas seguintes provas
O musaranho é o menor dos mamíferos. Quando adulto, sua massa é de 15g. Alguns musaranhos têm, aproximadamente, 10cm de comprimento. Sua cauda tem 1,5cm a mais que a cabeça e, o corpo tem 1cm a mais que a cauda. Qual é o comprimento do corpo desse musaranho?
Provas
Questão presente nas seguintes provas
Seis pessoas trabalham na casa do Sr. Silva: uma cozinheira, duas copeiras, duas faxineiras e um jardineiro. Para pagar seus funcionários, Sr. Silva gasta R$3.134,00. As pessoas que trabalham em funções iguais, ganham salários iguais. O salário mensal da cozinheira é de R$260,00 a mais que o salário de uma faxineira. Uma copeira ganha tanto quanto ganha um jardineiro e este, ganha R$200,00 a menos que uma faxineira. Qual é o salário da cozinheira?
Provas
Questão presente nas seguintes provas
Cadernos
Caderno Container