Foram encontradas 90 questões.
Uma torneira mal fechada goteja cem vezes a cada 5 minutos. Admitindo-se que todas as gotas têm a capacidade de 3ml, a quantidade de água que vaza por hora é:
Provas
Questão presente nas seguintes provas
Um senhor recebeu uma comunicação de sua seguradora informando que a mensalidade de seu plano de saúde subira 140% em função da mudança de faixa etária. Ele procurou o Procon, que analisando o caso, concluiu que a mensalidade, que antes era de R$300,00 deveria passar para R$432,00. Quantos por cento o Procon reduziu o valor que a seguradora iria cobrar?
Provas
Questão presente nas seguintes provas
A média aritmética das idades entre os funcionários da Agência Central dos Correios de Recife/PE: Júlio, Adriana, Renato e Otávio é de 24 anos. Se a média de idade dos homens é de 23 anos, qual é a idade de Adriana?
Provas
Questão presente nas seguintes provas
Carlos e sua irmã Renata foram com seu cachorro Jerry ao veterinário. Lá, encontraram uma balança com defeito que só indicava corretamente “pesos” superiores a 60kg. Assim, eles “pesaram” dois a dois e obtiveram as seguintes marcas:
• Carlos e Jerry juntos: 87kg.
• Carlos e Renata juntos: 123kg.
• Renata e Jerry juntos: 66kg.
Quantos quilogramas pesa o cachorro Jerry?
• Carlos e Jerry juntos: 87kg.
• Carlos e Renata juntos: 123kg.
• Renata e Jerry juntos: 66kg.
Quantos quilogramas pesa o cachorro Jerry?
Provas
Questão presente nas seguintes provas
Na Agência dos Correios de uma certa cidade trabalham 20 funcionários. Sabe-se que 12 desses funcionários jogam futebol, 8 jogam vôlei e 5 jogam futebol e vôlei. Escolhendo ao acaso um dos funcionários, qual a probabilidade dele não praticar nenhum desses esportes?
Provas
Questão presente nas seguintes provas
Sabe-se que as expressões
com x ≠ 5/2 são iguais.
Quais são os valores reais de x que verificam essa situação?
com x ≠ 5/2 são iguais.Quais são os valores reais de x que verificam essa situação?
Provas
Questão presente nas seguintes provas
Três irmãos A, B, C matricularam-se numa escola de informática que adota a seguinte política de preços: a mensalidade dos quatro primeiros meses é de R$90,00 e a partir daí, há um desconto de R$15,00 no valor da mensalidade (limitado a 8 meses). Qual foi o valor pago pelos três irmãos, sabendo que A estudou durante 4 meses, B durante 9 meses e C durante 12 meses?
Provas
Questão presente nas seguintes provas
Qual é o décimo termo da seqüência 17, 18, 20, 23, 27...?
Provas
Questão presente nas seguintes provas
Em uma viagem a Pernambuco, Maurício tirou 120 fotos, algumas na praia e outras no hotel onde ficou hospedado. A cada três fotos tiradas no hotel correspondiam cinco fotos tiradas na praia. Quantas fotos ele tirou na praia?
Provas
Questão presente nas seguintes provas
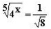
A raiz da equação

é um número:

é um número:
Provas
Questão presente nas seguintes provas
Cadernos
Caderno Container