Magna Concursos

Foram encontradas 2.625 questões.

255435 Ano: 2011
Disciplina: Estatística
Banca: CESPE / CEBRASPE
Orgão: Correios
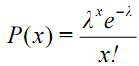
A distribuição de probabilidade de ocorrência de falhas em determinado equipamento obedece ao modelo exponencial de Poisson, Enunciado 255435-1 , em que x é o número de falhas, e é o número de Napier e Enunciado 255435-2 é o número médio de falhas em um período de tempo. A respeito do modelo acima, e considerando que Enunciado 255435-3 julgue os seguintes itens.
A soma de todos os valores de probabilidade do modelo é necessariamente igual a 1.
 

Provas

Questão presente nas seguintes provas
255434 Ano: 2011
Disciplina: Estatística
Banca: CESPE / CEBRASPE
Orgão: Correios
Julgue os próximos itens, referentes à probabilidade e às variáveis
aleatórias.
Se uma variável aleatória x tiver a função de densidade de probabilidade Enunciado 255434-1, em que u(x) é a função degrau unitária, então, α deverá ter valor igual a 2.
 

Provas

Questão presente nas seguintes provas
255433 Ano: 2011
Disciplina: Estatística
Banca: CESPE / CEBRASPE
Orgão: Correios
Com respeito a números índices, julgue o item abaixo.

A variação de preços entre o período t (base) e t – 2 pode ser monitorada pelo índice de Paasche: Enunciado 255433-1 , em que o peso w representa a quantidade de um produto medido no período base Enunciado 255433-2 representa o preço desse produto no período base (t) e Enunciado 255433-3 representa o preço desse produto no período Enunciado 255433-4.
 

Provas

Questão presente nas seguintes provas
255432 Ano: 2011
Disciplina: Administração Geral
Banca: CESPE / CEBRASPE
Orgão: Correios
Com relação ao planejamento organizacional, julgue os seguintes
itens.
O planejamento estratégico define metas e planos de trabalho tanto para a alta gerência quanto para a gerência média das organizações.
 

Provas

Questão presente nas seguintes provas
255431 Ano: 2011
Disciplina: Administração Geral
Banca: CESPE / CEBRASPE
Orgão: Correios
Acerca da cultura organizacional, julgue os itens a seguir.
A análise de cultura organizacional divide-se em níveis. O primeiro desses níveis é composto por suposições comuns, histórias, rituais e verdades implícitas.
 

Provas

Questão presente nas seguintes provas
255430 Ano: 2011
Disciplina: Administração Geral
Banca: CESPE / CEBRASPE
Orgão: Correios
A respeito de reengenharia, qualidade e produtividade nas
organizações, julgue os itens que se seguem.
Entre os objetivos da reengenharia organizacional, destacam-se as melhorias em qualidade, custo, serviço e velocidade dos processos organizacionais.
 

Provas

Questão presente nas seguintes provas
255429 Ano: 2011
Disciplina: Administração Geral
Banca: CESPE / CEBRASPE
Orgão: Correios
No que se refere ao impacto do ambiente e à visão sistêmica nas
organizações, julgue os itens subsequentes.
Os múltiplos elos entre as organizações e o ambiente tornam intangível a clara definição das fronteiras que marcam os limites organizacionais.
 

Provas

Questão presente nas seguintes provas
255428 Ano: 2011
Disciplina: Administração Geral
Banca: CESPE / CEBRASPE
Orgão: Correios
Julgue os itens seguintes, referentes a motivação e liderança nas
organizações.
Necessidades são razões para que o ser humano se ponha em movimento para buscar determinados fins.
 

Provas

Questão presente nas seguintes provas
255427 Ano: 2011
Disciplina: Administração Geral
Banca: CESPE / CEBRASPE
Orgão: Correios
A respeito de reengenharia, qualidade e produtividade nas
organizações, julgue os itens que se seguem.
O processo de reengenharia organizacional resulta em mudanças internas, de baixo para cima, nas estruturas organizacionais.
 

Provas

Questão presente nas seguintes provas
255426 Ano: 2011
Disciplina: Administração Geral
Banca: CESPE / CEBRASPE
Orgão: Correios
A respeito de reengenharia, qualidade e produtividade nas
organizações, julgue os itens que se seguem.
A mudança de uma estrutura vertical para uma estrutura horizontal embasada em equipes, que visa aperfeiçoar o desempenho dos processos e minimizar a centralização de decisões, é exemplo de reengenharia organizacional.
 

Provas

Questão presente nas seguintes provas