Magna Concursos

Foram encontradas 2.625 questões.

255448 Ano: 2011
Disciplina: Estatística
Banca: CESPE / CEBRASPE
Orgão: Correios

Considere que uma variável aleatória bidimensional (X, Y) possua função de densidade conjunta f(x, y) = 2, se 0 \( \le \) x\( \le \) \( \le \) 1; e f(x, y) = 0 para outros valores de x e y. Com base nessas informações, julgue o próximo item.

A variável aleatória X tem valor esperado igual a 1/3 e variância igual a 1/18.

 

Provas

Questão presente nas seguintes provas
255444 Ano: 2011
Disciplina: Estatística
Banca: CESPE / CEBRASPE
Orgão: Correios
Enunciado 255444-1

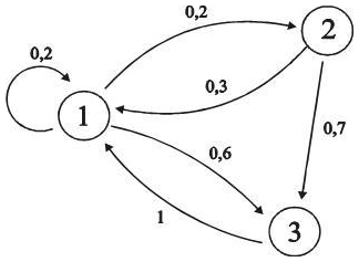
Considerando que uma cadeia de Markov seja representada pelo
dígrafo ilustrado acima, julgue os itens a seguir.
Se o processo inicia-se no estado 1, 2 ou 3, então, o número esperado de passos até a absorção é 4, 5 ou 5, respectivamente.
 

Provas

Questão presente nas seguintes provas
255443 Ano: 2011
Disciplina: Estatística
Banca: CESPE / CEBRASPE
Orgão: Correios

Enunciado 3655576-1

Considerando que uma cadeia de Markov seja representada pelo dígrafo ilustrado acima, julgue o item a seguir.

Para a cadeia de Markov representada pelo dígrafo mostrado acima, a matriz fundamental é expressa por

\( N = { \begin{pmatrix} 7/4\,\,1\,\,5/4\\5/4\,\,2\,\,7/4\\1\,\,\,1\,\,\,1\,\,\,2 \end{pmatrix}} \)

 

Provas

Questão presente nas seguintes provas
255442 Ano: 2011
Disciplina: Estatística
Banca: CESPE / CEBRASPE
Orgão: Correios

Enunciado 3655575-1

Considerando que uma cadeia de Markov seja representada pelo dígrafo ilustrado acima, julgue o item a seguir.

A cadeia de Markov representada pelo dígrafo acima é absorvente e a matriz de transição P, na forma canônica, tem a representação mostrada a seguir, em que cada elemento pi,j representa a probabilidade de transição do estado i para o estado j.

\( P = { \begin{pmatrix} Q\,\,R\\0\,\,\,I \end{pmatrix}}= { \begin{pmatrix} 0\,\,1/3\,\,1/3\,\,0\,\,1/3\\1/3\,\,0\,\,2/3\,\,0\,\,0\\1/3\,\,1/3\,\,0\,\,1/6\,\,1/6\\0\,\,\,\,0\,\,\,\,0\,\,\,\,1\,\,\,\,0\\0\,\,\,\,0\,\,\,\,0\,\,\,\,0\,\,0\,\,\,\,0\,\,\,\,1 \end{pmatrix}} \)

 

Provas

Questão presente nas seguintes provas
255441 Ano: 2011
Disciplina: Estatística
Banca: CESPE / CEBRASPE
Orgão: Correios
Enunciado 255441-1

Considerando que uma cadeia de Markov seja representada pelo
dígrafo ilustrado acima, julgue os itens a seguir.
Se o processo inicia-se no estado 1, 2 ou 3, então, a probabilidade de ser absorvido no estado 4 é 5/24, 7/24 ou 1/2, respectivamente.
 

Provas

Questão presente nas seguintes provas
255440 Ano: 2011
Disciplina: Estatística
Banca: CESPE / CEBRASPE
Orgão: Correios

Uma cadeia de Markov é denominada irredutível (ou ergódica) caso qualquer estado possa ser transformado em qualquer outro estado, não necessariamente em um único passo. Uma cadeia de Markov com matriz de transição P é regular caso exista um número inteiro positivo n tal que todos os elementos da matriz potência \(P^n\) sejam estritamente positivos.

Julgue os seguintes itens a respeito desses conceitos.

O dígrafo abaixo representa uma cadeia de Markov regular.

Enunciado 255440-1

 

Provas

Questão presente nas seguintes provas
255439 Ano: 2011
Disciplina: Estatística
Banca: CESPE / CEBRASPE
Orgão: Correios
Uma cadeia de Markov é denominada irredutível
(ou ergódica) caso qualquer estado possa ser transformado em
qualquer outro estado, não necessariamente em um único passo.
Uma cadeia de Markov com matriz de transição P é regular caso
exista um número inteiro positivo n tal que todos os elementos da
matriz potência \(P^n\) sejam estritamente positivos.

Julgue os seguintes itens a respeito desses conceitos.
Considere que, na matriz P mostrada a seguir, cada elemento Enunciado 255439-2 represente a probabilidade de transição do estado i para o estado j.

Enunciado 255439-3

A partir dessas informações, é correto afirmar que a matriz P é a matriz de transição de uma cadeia de Markov regular.
 

Provas

Questão presente nas seguintes provas
255438 Ano: 2011
Disciplina: Estatística
Banca: CESPE / CEBRASPE
Orgão: Correios
Uma cadeia de Markov é denominada irredutível
(ou ergódica) caso qualquer estado possa ser transformado em
qualquer outro estado, não necessariamente em um único passo.
Uma cadeia de Markov com matriz de transição P é regular caso
exista um número inteiro positivo n tal que todos os elementos da
matriz potência \(P^n\) sejam estritamente positivos.

Julgue os seguintes itens a respeito desses conceitos.
Considere que, na matriz P mostrada abaixo, cada elemento Enunciado 255438-2 represente a probabilidade de transição do estado ipara o estado j.

Enunciado 255438-3

Em face dessas informações, é correto afirmar que a matriz P é a matriz de transição de uma cadeia de Markov irredutível.
 

Provas

Questão presente nas seguintes provas
255437 Ano: 2011
Disciplina: Estatística
Banca: CESPE / CEBRASPE
Orgão: Correios

Uma cadeia de Markov é denominada irredutível (ou ergódica) caso qualquer estado possa ser transformado em qualquer outro estado, não necessariamente em um único passo. Uma cadeia de Markov com matriz de transição P é regular caso exista um número inteiro positivo n tal que todos os elementos da matriz potência Pn sejam estritamente positivos.

Julgue o seguinte item a respeito desses conceitos.

Algum elemento da matriz de transição P de uma cadeia de Markov regular pode ser zero.

 

Provas

Questão presente nas seguintes provas
255436 Ano: 2011
Disciplina: Estatística
Banca: CESPE / CEBRASPE
Orgão: Correios
A distribuição de probabilidade de ocorrência de falhas em determinado equipamento obedece ao modelo exponencial de Poisson, Enunciado 255436-1 , em que x é o número de falhas, e é o número de Napier e Enunciado 255436-2 é o número médio de falhas em um período de tempo. A respeito do modelo acima, e considerando que Enunciado 255436-3 julgue os seguintes itens.
O espaço amostral é um conjunto não enumerável.
 

Provas

Questão presente nas seguintes provas